¿Te dan dolor de cabeza las matrices? Tranquilo, que no... Mostrar más
Inscríbete para ver los apuntes¡Es gratis!
Acceso a todos los documentos
Mejora tus notas
Únete a millones de estudiantes
Knowunity AI
Asignaturas
Triangle Congruence and Similarity Theorems
Triangle Properties and Classification
Linear Equations and Graphs
Geometric Angle Relationships
Trigonometric Functions and Identities
Equation Solving Techniques
Circle Geometry Fundamentals
Division Operations and Methods
Basic Differentiation Rules
Exponent and Logarithm Properties
Mostrar todos los temas
Human Organ Systems
Reproductive Cell Cycles
Biological Sciences Subdisciplines
Cellular Energy Metabolism
Autotrophic Energy Processes
Inheritance Patterns and Principles
Biomolecular Structure and Organization
Cell Cycle and Division Mechanics
Cellular Organization and Development
Biological Structural Organization
Mostrar todos los temas
Chemical Sciences and Applications
Atomic Structure and Composition
Molecular Electron Structure Representation
Atomic Electron Behavior
Matter Properties and Water
Mole Concept and Calculations
Gas Laws and Behavior
Periodic Table Organization
Chemical Thermodynamics Fundamentals
Chemical Bond Types and Properties
Mostrar todos los temas
European Renaissance and Enlightenment
European Cultural Movements 800-1920
American Revolution Era 1763-1797
American Civil War 1861-1865
Global Imperial Systems
Mongol and Chinese Dynasties
U.S. Presidents and World Leaders
Historical Sources and Documentation
World Wars Era and Impact
World Religious Systems
Mostrar todos los temas
Classic and Contemporary Novels
Literary Character Analysis
Rhetorical Theory and Practice
Classic Literary Narratives
Reading Analysis and Interpretation
Narrative Structure and Techniques
English Language Components
Influential English-Language Authors
Basic Sentence Structure
Narrative Voice and Perspective
Mostrar todos los temas
2,742
•
Actualizado Apr 20, 2026
•
Dami0_0
@damio_o_kjh
¿Te dan dolor de cabeza las matrices? Tranquilo, que no... Mostrar más








Las matrices son como tablas rectangulares de números organizados en filas (horizontales) y columnas (verticales). Su tamaño se define como m×n, donde m es el número de filas y n el de columnas.
Para sumar o restar matrices necesitas que tengan exactamente el mismo tamaño. Si no coinciden las dimensiones, simplemente no se puede hacer la operación. Es como intentar sumar manzanas con coches: no tiene sentido.
La multiplicación por un escalar (un número normal) es súper fácil: multiplicas ese número por todos los elementos de la matriz. Si tienes una matriz y la multiplicas por 3, cada elemento queda multiplicado por 3.
¡Ojo! El tamaño sí importa cuando trabajas con matrices. Es la primera cosa que debes comprobar antes de hacer cualquier operación.

La multiplicación de matrices tiene una regla especial: si A es m×n y B es l×k, solo puedes hacer A·B si n=l. El resultado será una matriz m×k. Y cuidado: A·B ≠ B·A (no es lo mismo multiplicar A por B que B por A).
Para multiplicar matrices, tomas cada fila de la primera y la combinas con cada columna de la segunda. Suena lioso, pero con práctica se vuelve automático.
Existen varios tipos especiales de matrices: la transpuesta (cambias filas por columnas), triangulares (solo tienen números por encima o por debajo de la diagonal), y diagonales (solo tienen números en la diagonal principal).
La matriz identidad es como el número 1 de las matrices: multiplicar cualquier matriz por ella te da la matriz original.

El determinante es un número especial que solo existe para matrices cuadradas. Si el determinante es diferente de cero, la matriz es "invertible" o "regular" (tiene superpoderes, básicamente).
Para matrices 2×2 es fácil: multiplicas en diagonal y restas. Para matrices 3×3 puedes usar la regla de Sarrus o el desarrollo por menores.
Cuando una matriz tiene determinante igual a cero significa que tiene algún problema: filas iguales, proporcionales, o alguna fila que es combinación de otras. Es como tener información repetida.
Recuerda: Solo las matrices cuadradas tienen determinante. Si no es cuadrada, ni lo intentes calcular.

El desarrollo por menores funciona para cualquier matriz cuadrada. Eliges una fila o columna, y cada elemento lo multiplicas por su "matriz pequeña" (quitando su fila y columna). Los signos van alternando: +, -, +, -...
La matriz inversa es como el "número opuesto" de las matrices. Si multiplicas una matriz por su inversa, obtienes la matriz identidad. Solo existe si el determinante no es cero.
Para calcular la inversa necesitas la matriz adjunta: haces desarrollo por menores con cada elemento, cambias signos alternando, y luego la transpones. Es laborioso pero mecánico.
Si el determinante es cero, la matriz no tiene inversa. Es como intentar dividir por cero: matemáticamente imposible.

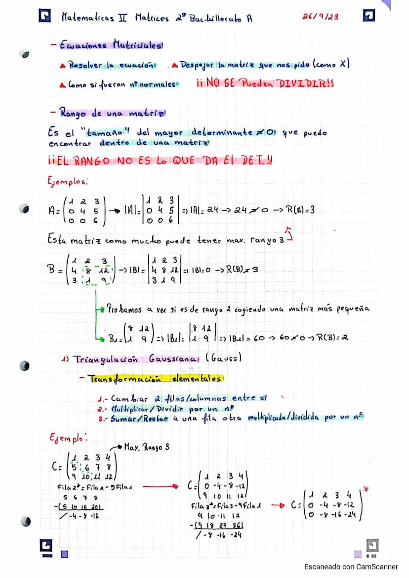
Las ecuaciones matriciales se resuelven como las normales, pero con una regla de oro: ¡no puedes dividir matrices! Solo puedes multiplicar por la inversa.
El rango de una matriz es el tamaño del mayor determinante no nulo que puedes encontrar dentro de ella. No es lo que da el determinante, sino el tamaño de la submatriz más grande con determinante ≠ 0.
La triangulación gaussiana es tu mejor amiga para calcular rangos. Usando operaciones elementales , conviertes la matriz en triangular.
Truco: Si una fila queda toda de ceros tras la triangulación, puedes ignorarla para calcular el rango.

El teorema de Rouché-Frobenius te dice si un sistema tiene solución: compara el rango de la matriz de coeficientes con el de la matriz ampliada (que incluye los términos independientes).
Si los rangos son iguales, el sistema es compatible (tiene solución). Si son diferentes, es incompatible (no tiene solución). Si el rango es menor que el número de incógnitas, hay infinitas soluciones.
Los sistemas matriciales se resuelven por reducción: tienes varias ecuaciones con matrices como incógnitas y las despejas como si fueran números normales.
La clave está en organizar bien las operaciones y no perder de vista qué matriz estás despejando.

En los problemas de aplicación, lo primero es definir claramente qué representa cada incógnita. Luego traduces el enunciado a ecuaciones matemáticas y las pones en forma canónica (incógnitas a un lado, números al otro).
La resolución por triangulación es sistemática: eliminas variables hasta que quede una ecuación con una sola incógnita, la resuelves, y vas sustituyendo hacia atrás.
No olvides redactar la solución de forma clara, explicando qué significa cada resultado en el contexto del problema. Los números sin explicación no sirven de nada.
Consejo: Siempre comprueba tu resultado sustituyendo en las ecuaciones originales. Si no cuadra, revisa los cálculos.
Nuestro compañero de IA está específicamente adaptado a las necesidades de los estudiantes. Basándonos en los millones de contenidos que tenemos en la plataforma, podemos dar a los estudiantes respuestas realmente significativas y relevantes. Pero no se trata solo de respuestas, el compañero también guía a los estudiantes a través de sus retos de aprendizaje diarios, con planes de aprendizaje personalizados, cuestionarios o contenidos en el chat y una personalización del 100% basada en las habilidades y el desarrollo de los estudiantes.
Puedes descargar la app en Google Play Store y Apple App Store.
Sí, tienes acceso gratuito a los contenidos de la aplicación y a nuestro compañero de IA. Para desbloquear determinadas funciones de la aplicación, puedes adquirir Knowunity Pro.
Tema de matrices 2⁰ Bachillerato de ciencias.
App Store
Google Play
La app es muy fácil de usar y está muy bien diseñada. Hasta ahora he encontrado todo lo que estaba buscando y he podido aprender mucho de las presentaciones. Definitivamente utilizaré la aplicación para un examen de clase. Y, por supuesto, también me sirve mucho de inspiración.
Pablo
usuario de iOS
Esta app es realmente genial. Hay tantos apuntes de clase y ayuda [...]. Tengo problemas con matemáticas, por ejemplo, y la aplicación tiene muchas opciones de ayuda. Gracias a Knowunity, he mejorado en mates. Se la recomiendo a todo el mundo.
Elena
usuaria de Android
Vaya, estoy realmente sorprendida. Acabo de probar la app porque la he visto anunciada muchas veces y me he quedado absolutamente alucinada. Esta app es LA AYUDA que quieres para el insti y, sobre todo, ofrece muchísimas cosas, como ejercicios y hojas informativas, que a mí personalmente me han sido MUY útiles.
Ana
usuaria de iOS
Está app es muy buena, tiene apuntes que son de mucha ayuda y su IA es fantástica, te explica a la perfección y muy fácil de entender lo que necesites, te ayuda con los deberes, te hace esquemas... en definitiva es una muy buena opción!
Sophia
usuario de Android
Me encanta!!! Me resuelve todo con detalle y me da la explicación correcta. Tiene un montón de funciones, ami me ha ido genial!! Os la recomiendo!!!
Marta
usuaria de Android
La uso casi diariamente, sirve para todas las asignaturas. Yo, por ejemplo la utilizo más en inglés porque se me da bastante mal, ¡Todas las respuestas están correctas! Consta con personas reales que suben sus apuntes y IA para que puedas hacer los deberes muchísimo más fácil, la recomiendo.
Izan
usuario de iOS
¡La app es buenísima! Sólo tengo que introducir el tema en la barra de búsqueda y recibo la respuesta muy rápido. No tengo que ver 10 vídeos de YouTube para entender algo, así que me ahorro tiempo. ¡Muy recomendable!
Sara
usuaria de Android
En el instituto era muy malo en matemáticas, pero gracias a la app, ahora saco mejores notas. Os agradezco mucho que hayáis creado la aplicación.
Roberto
usuario de Android
Esto no es como Chatgpt, es MUCHISMO MEJOR, te hace unos resúmenes espectaculares y gracias a esta app pase de sacar 5-6 a sacar 8-9.
Julyana
usuaria de Android
Es la mejor aplicación del mundo, la uso para revisar los deberes a mi hijo.
Javier
usuario de Android
LOS QUIZ Y FLASHCARDS SON SÚPER ÚTILES Y ME ENCANTA Knowunity IA. ADEMÁS ES LITERALMENTE COMO CHATGPT PERO MÁS LISTO!! ME AYUDÓ TAMBIÉN CON MIS PROBLEMAS DE MÁSCARA!! Y CON MIS ASIGNATURAS DE VERDAD! OBVIO 😍😁😲🤑💗✨🎀😮
Erick
usuario de Android
Me me encanta esta app, todo lo que tiene es de calidad ya que antes de ser publicado es revisado por un equipo de profesionales. Me ha ido genial esta aplicación ya que gracias a ella puedo estudiar mucho mejor, sin tener que agobiarme porque mi profesor no ha hecho teoría o porque no entiendo su teoría. Le doy un 10 de 10!
Mar
usuaria de iOS
La app es muy fácil de usar y está muy bien diseñada. Hasta ahora he encontrado todo lo que estaba buscando y he podido aprender mucho de las presentaciones. Definitivamente utilizaré la aplicación para un examen de clase. Y, por supuesto, también me sirve mucho de inspiración.
Pablo
usuario de iOS
Esta app es realmente genial. Hay tantos apuntes de clase y ayuda [...]. Tengo problemas con matemáticas, por ejemplo, y la aplicación tiene muchas opciones de ayuda. Gracias a Knowunity, he mejorado en mates. Se la recomiendo a todo el mundo.
Elena
usuaria de Android
Vaya, estoy realmente sorprendida. Acabo de probar la app porque la he visto anunciada muchas veces y me he quedado absolutamente alucinada. Esta app es LA AYUDA que quieres para el insti y, sobre todo, ofrece muchísimas cosas, como ejercicios y hojas informativas, que a mí personalmente me han sido MUY útiles.
Ana
usuaria de iOS
Está app es muy buena, tiene apuntes que son de mucha ayuda y su IA es fantástica, te explica a la perfección y muy fácil de entender lo que necesites, te ayuda con los deberes, te hace esquemas... en definitiva es una muy buena opción!
Sophia
usuario de Android
Me encanta!!! Me resuelve todo con detalle y me da la explicación correcta. Tiene un montón de funciones, ami me ha ido genial!! Os la recomiendo!!!
Marta
usuaria de Android
La uso casi diariamente, sirve para todas las asignaturas. Yo, por ejemplo la utilizo más en inglés porque se me da bastante mal, ¡Todas las respuestas están correctas! Consta con personas reales que suben sus apuntes y IA para que puedas hacer los deberes muchísimo más fácil, la recomiendo.
Izan
usuario de iOS
¡La app es buenísima! Sólo tengo que introducir el tema en la barra de búsqueda y recibo la respuesta muy rápido. No tengo que ver 10 vídeos de YouTube para entender algo, así que me ahorro tiempo. ¡Muy recomendable!
Sara
usuaria de Android
En el instituto era muy malo en matemáticas, pero gracias a la app, ahora saco mejores notas. Os agradezco mucho que hayáis creado la aplicación.
Roberto
usuario de Android
Esto no es como Chatgpt, es MUCHISMO MEJOR, te hace unos resúmenes espectaculares y gracias a esta app pase de sacar 5-6 a sacar 8-9.
Julyana
usuaria de Android
Es la mejor aplicación del mundo, la uso para revisar los deberes a mi hijo.
Javier
usuario de Android
LOS QUIZ Y FLASHCARDS SON SÚPER ÚTILES Y ME ENCANTA Knowunity IA. ADEMÁS ES LITERALMENTE COMO CHATGPT PERO MÁS LISTO!! ME AYUDÓ TAMBIÉN CON MIS PROBLEMAS DE MÁSCARA!! Y CON MIS ASIGNATURAS DE VERDAD! OBVIO 😍😁😲🤑💗✨🎀😮
Erick
usuario de Android
Me me encanta esta app, todo lo que tiene es de calidad ya que antes de ser publicado es revisado por un equipo de profesionales. Me ha ido genial esta aplicación ya que gracias a ella puedo estudiar mucho mejor, sin tener que agobiarme porque mi profesor no ha hecho teoría o porque no entiendo su teoría. Le doy un 10 de 10!
Mar
usuaria de iOS
Dami0_0
@damio_o_kjh
¿Te dan dolor de cabeza las matrices? Tranquilo, que no son tan complicadas como parecen. Son simplemente tablas de números organizados en filas y columnas que nos ayudan a resolver problemas matemáticos de forma ordenada.

Acceso a todos los documentos
Mejora tus notas
Únete a millones de estudiantes
Las matrices son como tablas rectangulares de números organizados en filas (horizontales) y columnas (verticales). Su tamaño se define como m×n, donde m es el número de filas y n el de columnas.
Para sumar o restar matrices necesitas que tengan exactamente el mismo tamaño. Si no coinciden las dimensiones, simplemente no se puede hacer la operación. Es como intentar sumar manzanas con coches: no tiene sentido.
La multiplicación por un escalar (un número normal) es súper fácil: multiplicas ese número por todos los elementos de la matriz. Si tienes una matriz y la multiplicas por 3, cada elemento queda multiplicado por 3.
¡Ojo! El tamaño sí importa cuando trabajas con matrices. Es la primera cosa que debes comprobar antes de hacer cualquier operación.

Acceso a todos los documentos
Mejora tus notas
Únete a millones de estudiantes
La multiplicación de matrices tiene una regla especial: si A es m×n y B es l×k, solo puedes hacer A·B si n=l. El resultado será una matriz m×k. Y cuidado: A·B ≠ B·A (no es lo mismo multiplicar A por B que B por A).
Para multiplicar matrices, tomas cada fila de la primera y la combinas con cada columna de la segunda. Suena lioso, pero con práctica se vuelve automático.
Existen varios tipos especiales de matrices: la transpuesta (cambias filas por columnas), triangulares (solo tienen números por encima o por debajo de la diagonal), y diagonales (solo tienen números en la diagonal principal).
La matriz identidad es como el número 1 de las matrices: multiplicar cualquier matriz por ella te da la matriz original.

Acceso a todos los documentos
Mejora tus notas
Únete a millones de estudiantes
El determinante es un número especial que solo existe para matrices cuadradas. Si el determinante es diferente de cero, la matriz es "invertible" o "regular" (tiene superpoderes, básicamente).
Para matrices 2×2 es fácil: multiplicas en diagonal y restas. Para matrices 3×3 puedes usar la regla de Sarrus o el desarrollo por menores.
Cuando una matriz tiene determinante igual a cero significa que tiene algún problema: filas iguales, proporcionales, o alguna fila que es combinación de otras. Es como tener información repetida.
Recuerda: Solo las matrices cuadradas tienen determinante. Si no es cuadrada, ni lo intentes calcular.

Acceso a todos los documentos
Mejora tus notas
Únete a millones de estudiantes
El desarrollo por menores funciona para cualquier matriz cuadrada. Eliges una fila o columna, y cada elemento lo multiplicas por su "matriz pequeña" (quitando su fila y columna). Los signos van alternando: +, -, +, -...
La matriz inversa es como el "número opuesto" de las matrices. Si multiplicas una matriz por su inversa, obtienes la matriz identidad. Solo existe si el determinante no es cero.
Para calcular la inversa necesitas la matriz adjunta: haces desarrollo por menores con cada elemento, cambias signos alternando, y luego la transpones. Es laborioso pero mecánico.
Si el determinante es cero, la matriz no tiene inversa. Es como intentar dividir por cero: matemáticamente imposible.

Acceso a todos los documentos
Mejora tus notas
Únete a millones de estudiantes
Las ecuaciones matriciales se resuelven como las normales, pero con una regla de oro: ¡no puedes dividir matrices! Solo puedes multiplicar por la inversa.
El rango de una matriz es el tamaño del mayor determinante no nulo que puedes encontrar dentro de ella. No es lo que da el determinante, sino el tamaño de la submatriz más grande con determinante ≠ 0.
La triangulación gaussiana es tu mejor amiga para calcular rangos. Usando operaciones elementales , conviertes la matriz en triangular.
Truco: Si una fila queda toda de ceros tras la triangulación, puedes ignorarla para calcular el rango.

Acceso a todos los documentos
Mejora tus notas
Únete a millones de estudiantes
El teorema de Rouché-Frobenius te dice si un sistema tiene solución: compara el rango de la matriz de coeficientes con el de la matriz ampliada (que incluye los términos independientes).
Si los rangos son iguales, el sistema es compatible (tiene solución). Si son diferentes, es incompatible (no tiene solución). Si el rango es menor que el número de incógnitas, hay infinitas soluciones.
Los sistemas matriciales se resuelven por reducción: tienes varias ecuaciones con matrices como incógnitas y las despejas como si fueran números normales.
La clave está en organizar bien las operaciones y no perder de vista qué matriz estás despejando.

Acceso a todos los documentos
Mejora tus notas
Únete a millones de estudiantes
En los problemas de aplicación, lo primero es definir claramente qué representa cada incógnita. Luego traduces el enunciado a ecuaciones matemáticas y las pones en forma canónica (incógnitas a un lado, números al otro).
La resolución por triangulación es sistemática: eliminas variables hasta que quede una ecuación con una sola incógnita, la resuelves, y vas sustituyendo hacia atrás.
No olvides redactar la solución de forma clara, explicando qué significa cada resultado en el contexto del problema. Los números sin explicación no sirven de nada.
Consejo: Siempre comprueba tu resultado sustituyendo en las ecuaciones originales. Si no cuadra, revisa los cálculos.
Nuestro compañero de IA está específicamente adaptado a las necesidades de los estudiantes. Basándonos en los millones de contenidos que tenemos en la plataforma, podemos dar a los estudiantes respuestas realmente significativas y relevantes. Pero no se trata solo de respuestas, el compañero también guía a los estudiantes a través de sus retos de aprendizaje diarios, con planes de aprendizaje personalizados, cuestionarios o contenidos en el chat y una personalización del 100% basada en las habilidades y el desarrollo de los estudiantes.
Puedes descargar la app en Google Play Store y Apple App Store.
Sí, tienes acceso gratuito a los contenidos de la aplicación y a nuestro compañero de IA. Para desbloquear determinadas funciones de la aplicación, puedes adquirir Knowunity Pro.
57
Herramientas Inteligentes NUEVO
Transforma estos apuntes en: ✓ 50+ Preguntas de Práctica ✓ Flashcards Interactivas ✓ Examen Completo de Práctica ✓ Esquemas de Ensayo
determinantes con propiedades métodos y ejemplos
Resumen de tipos, operaciones matriciales (suma, resta, multiplicación, potencia) y propiedades. Transposicion, rango (GAUS), inversa (propiedades), ecuaciones y inversa a partir de una condición. Explicación detallada con ejemplos y soluciones.
Actividades resueltas y explicadas de matrices
- Classificació de matrius - Tipus de matrius - Suma de matrius - Multiplicació amb matrius - Matriu inversa - Gauss - Gauss Jordan - Equacions matricials - Sistemes de matrius
Maneras de estudiar el rango de una matriz
Explicación de cómo aplicar las propiedades de los determinantes
Tema de matrices 2⁰ Bachillerato de ciencias.
App Store
Google Play
La app es muy fácil de usar y está muy bien diseñada. Hasta ahora he encontrado todo lo que estaba buscando y he podido aprender mucho de las presentaciones. Definitivamente utilizaré la aplicación para un examen de clase. Y, por supuesto, también me sirve mucho de inspiración.
Pablo
usuario de iOS
Esta app es realmente genial. Hay tantos apuntes de clase y ayuda [...]. Tengo problemas con matemáticas, por ejemplo, y la aplicación tiene muchas opciones de ayuda. Gracias a Knowunity, he mejorado en mates. Se la recomiendo a todo el mundo.
Elena
usuaria de Android
Vaya, estoy realmente sorprendida. Acabo de probar la app porque la he visto anunciada muchas veces y me he quedado absolutamente alucinada. Esta app es LA AYUDA que quieres para el insti y, sobre todo, ofrece muchísimas cosas, como ejercicios y hojas informativas, que a mí personalmente me han sido MUY útiles.
Ana
usuaria de iOS
Está app es muy buena, tiene apuntes que son de mucha ayuda y su IA es fantástica, te explica a la perfección y muy fácil de entender lo que necesites, te ayuda con los deberes, te hace esquemas... en definitiva es una muy buena opción!
Sophia
usuario de Android
Me encanta!!! Me resuelve todo con detalle y me da la explicación correcta. Tiene un montón de funciones, ami me ha ido genial!! Os la recomiendo!!!
Marta
usuaria de Android
La uso casi diariamente, sirve para todas las asignaturas. Yo, por ejemplo la utilizo más en inglés porque se me da bastante mal, ¡Todas las respuestas están correctas! Consta con personas reales que suben sus apuntes y IA para que puedas hacer los deberes muchísimo más fácil, la recomiendo.
Izan
usuario de iOS
¡La app es buenísima! Sólo tengo que introducir el tema en la barra de búsqueda y recibo la respuesta muy rápido. No tengo que ver 10 vídeos de YouTube para entender algo, así que me ahorro tiempo. ¡Muy recomendable!
Sara
usuaria de Android
En el instituto era muy malo en matemáticas, pero gracias a la app, ahora saco mejores notas. Os agradezco mucho que hayáis creado la aplicación.
Roberto
usuario de Android
Esto no es como Chatgpt, es MUCHISMO MEJOR, te hace unos resúmenes espectaculares y gracias a esta app pase de sacar 5-6 a sacar 8-9.
Julyana
usuaria de Android
Es la mejor aplicación del mundo, la uso para revisar los deberes a mi hijo.
Javier
usuario de Android
LOS QUIZ Y FLASHCARDS SON SÚPER ÚTILES Y ME ENCANTA Knowunity IA. ADEMÁS ES LITERALMENTE COMO CHATGPT PERO MÁS LISTO!! ME AYUDÓ TAMBIÉN CON MIS PROBLEMAS DE MÁSCARA!! Y CON MIS ASIGNATURAS DE VERDAD! OBVIO 😍😁😲🤑💗✨🎀😮
Erick
usuario de Android
Me me encanta esta app, todo lo que tiene es de calidad ya que antes de ser publicado es revisado por un equipo de profesionales. Me ha ido genial esta aplicación ya que gracias a ella puedo estudiar mucho mejor, sin tener que agobiarme porque mi profesor no ha hecho teoría o porque no entiendo su teoría. Le doy un 10 de 10!
Mar
usuaria de iOS
La app es muy fácil de usar y está muy bien diseñada. Hasta ahora he encontrado todo lo que estaba buscando y he podido aprender mucho de las presentaciones. Definitivamente utilizaré la aplicación para un examen de clase. Y, por supuesto, también me sirve mucho de inspiración.
Pablo
usuario de iOS
Esta app es realmente genial. Hay tantos apuntes de clase y ayuda [...]. Tengo problemas con matemáticas, por ejemplo, y la aplicación tiene muchas opciones de ayuda. Gracias a Knowunity, he mejorado en mates. Se la recomiendo a todo el mundo.
Elena
usuaria de Android
Vaya, estoy realmente sorprendida. Acabo de probar la app porque la he visto anunciada muchas veces y me he quedado absolutamente alucinada. Esta app es LA AYUDA que quieres para el insti y, sobre todo, ofrece muchísimas cosas, como ejercicios y hojas informativas, que a mí personalmente me han sido MUY útiles.
Ana
usuaria de iOS
Está app es muy buena, tiene apuntes que son de mucha ayuda y su IA es fantástica, te explica a la perfección y muy fácil de entender lo que necesites, te ayuda con los deberes, te hace esquemas... en definitiva es una muy buena opción!
Sophia
usuario de Android
Me encanta!!! Me resuelve todo con detalle y me da la explicación correcta. Tiene un montón de funciones, ami me ha ido genial!! Os la recomiendo!!!
Marta
usuaria de Android
La uso casi diariamente, sirve para todas las asignaturas. Yo, por ejemplo la utilizo más en inglés porque se me da bastante mal, ¡Todas las respuestas están correctas! Consta con personas reales que suben sus apuntes y IA para que puedas hacer los deberes muchísimo más fácil, la recomiendo.
Izan
usuario de iOS
¡La app es buenísima! Sólo tengo que introducir el tema en la barra de búsqueda y recibo la respuesta muy rápido. No tengo que ver 10 vídeos de YouTube para entender algo, así que me ahorro tiempo. ¡Muy recomendable!
Sara
usuaria de Android
En el instituto era muy malo en matemáticas, pero gracias a la app, ahora saco mejores notas. Os agradezco mucho que hayáis creado la aplicación.
Roberto
usuario de Android
Esto no es como Chatgpt, es MUCHISMO MEJOR, te hace unos resúmenes espectaculares y gracias a esta app pase de sacar 5-6 a sacar 8-9.
Julyana
usuaria de Android
Es la mejor aplicación del mundo, la uso para revisar los deberes a mi hijo.
Javier
usuario de Android
LOS QUIZ Y FLASHCARDS SON SÚPER ÚTILES Y ME ENCANTA Knowunity IA. ADEMÁS ES LITERALMENTE COMO CHATGPT PERO MÁS LISTO!! ME AYUDÓ TAMBIÉN CON MIS PROBLEMAS DE MÁSCARA!! Y CON MIS ASIGNATURAS DE VERDAD! OBVIO 😍😁😲🤑💗✨🎀😮
Erick
usuario de Android
Me me encanta esta app, todo lo que tiene es de calidad ya que antes de ser publicado es revisado por un equipo de profesionales. Me ha ido genial esta aplicación ya que gracias a ella puedo estudiar mucho mejor, sin tener que agobiarme porque mi profesor no ha hecho teoría o porque no entiendo su teoría. Le doy un 10 de 10!
Mar
usuaria de iOS