Los determinantesson valores numéricos que se calculan solo en... Mostrar más
Inscríbete para ver los apuntes¡Es gratis!
Acceso a todos los documentos
Mejora tus notas
Únete a millones de estudiantes
Knowunity AI
Asignaturas
Triangle Congruence and Similarity Theorems
Triangle Properties and Classification
Linear Equations and Graphs
Geometric Angle Relationships
Trigonometric Functions and Identities
Equation Solving Techniques
Circle Geometry Fundamentals
Division Operations and Methods
Basic Differentiation Rules
Exponent and Logarithm Properties
Mostrar todos los temas
Human Organ Systems
Reproductive Cell Cycles
Biological Sciences Subdisciplines
Cellular Energy Metabolism
Autotrophic Energy Processes
Inheritance Patterns and Principles
Biomolecular Structure and Organization
Cell Cycle and Division Mechanics
Cellular Organization and Development
Biological Structural Organization
Mostrar todos los temas
Chemical Sciences and Applications
Atomic Structure and Composition
Molecular Electron Structure Representation
Atomic Electron Behavior
Matter Properties and Water
Mole Concept and Calculations
Gas Laws and Behavior
Periodic Table Organization
Chemical Thermodynamics Fundamentals
Chemical Bond Types and Properties
Mostrar todos los temas
European Renaissance and Enlightenment
European Cultural Movements 800-1920
American Revolution Era 1763-1797
American Civil War 1861-1865
Global Imperial Systems
Mongol and Chinese Dynasties
U.S. Presidents and World Leaders
Historical Sources and Documentation
World Wars Era and Impact
World Religious Systems
Mostrar todos los temas
Classic and Contemporary Novels
Literary Character Analysis
Rhetorical Theory and Practice
Classic Literary Narratives
Reading Analysis and Interpretation
Narrative Structure and Techniques
English Language Components
Influential English-Language Authors
Basic Sentence Structure
Narrative Voice and Perspective
Mostrar todos los temas
701
•
Actualizado Mar 21, 2026
•
Laura Perez Lopez
@lauraperezlopez_kkgy
Los determinantesson valores numéricos que se calculan solo en... Mostrar más







¿Sabías que el determinante de una matriz 2x2 se calcula de forma súper sencilla? Para una matriz con elementos a₁₁, a₁₂, a₂₁, a₂₂, el determinante es: a₁₁ × a₂₂ - a₁₂ × a₂₁. Es decir, multiplicas en diagonal y restas.
Por ejemplo, si tienes la matriz [1, -1; 2, 3], el determinante será: 1×3 - (-1)×2 = 3 + 2 = 5. ¡Así de fácil!
Para matrices 3x3, utilizamos la regla de Sarrus. Esta técnica visual te permite calcular determinantes de orden 3 de manera sistemática, expandiendo las columnas y calculando productos diagonales.
💡 Truco útil: En matrices diagonales o triangulares, el determinante es simplemente la multiplicación de todos los elementos de la diagonal principal.

Las propiedades de los determinantes te van a facilitar muchísimo los cálculos. La más útil es que |A| = |Aᵗ|, es decir, el determinante de una matriz es igual al de su transpuesta.
Si una fila o columna tiene un factor común k, puedes sacarlo fuera: |kF₁, F₂, F₃| = k|F₁, F₂, F₃|. Esto te ahorra tiempo en los cálculos porque trabajas con números más pequeños.
Otra propiedad clave: si intercambias dos filas o columnas, el determinante cambia de signo. Y si tienes dos filas iguales o proporcionales, el determinante vale 0 automáticamente.
⚡ Dato importante: La propiedad |AB| = |A||B| es fundamental para trabajar con productos de matrices.

Si una fila es combinación lineal de las demás, el determinante será 0. Esto ocurre cuando una fila se puede expresar como suma o resta de múltiplos de otras filas.
La propiedad más útil para simplificar cálculos es esta: puedes sumar a una fila otra fila multiplicada por cualquier número y el determinante no cambia. ¡Es genial para crear ceros estratégicamente!
También recuerda que si toda una fila o columna son ceros, el determinante vale 0 directamente. No hace falta ni calcularlo.
🎯 Estrategia pro: Usa las propiedades para crear el máximo número de ceros posible antes de calcular. Te ahorrará tiempo y errores.

El desarrollo por adjuntos te permite calcular determinantes de cualquier orden reduciéndolos a determinantes más pequeños. Eliges una fila o columna y desarrollas usando los menores complementarios.
Un menor complementario Mᵢⱼ es el determinante que obtienes al eliminar la fila i y columna j. El adjunto es ese menor con un signo que sigue el patrón de tablero de ajedrez: + - + / - + - / + - +.
El truco está en elegir la fila o columna con más ceros para hacer menos cálculos. Si no hay ceros, puedes crearlos usando las propiedades que vimos antes.
💪 Consejo de experto: Siempre desarrolla por la línea que tenga más ceros. Si no los hay, créalos usando operaciones elementales.

El rango de una matriz es el orden máximo de sus menores no nulos. Para calcularlo, vas probando determinantes de orden creciente hasta encontrar el mayor que no sea cero.
Empiezas comprobando si hay algún elemento ≠ 0 (rango ≥ 1), luego buscas determinantes 2×2 no nulos (rango ≥ 2), y así sucesivamente. Cuando todos los determinantes de un orden son cero, el rango es el orden anterior.
Cuando aparece un parámetro en la matriz, estudias para qué valores el determinante se anula. Estos valores críticos dividen el estudio en casos diferentes.
🔍 Método sistemático: Ve de menor a mayor orden. En cuanto todos los determinantes de un orden sean cero, ya tienes el rango.

Una matriz tiene inversa solo si su determinante es distinto de cero (matriz regular). Si |A| = 0, la matriz es singular y no tiene inversa.
Para calcular A⁻¹, usas la fórmula: A⁻¹ = × (adj A)ᵗ. Primero calculas el determinante, luego la matriz de adjuntos, la traspones y divides entre el determinante.
Los pasos son: 1) Calcular |A|, 2) Calcular la matriz adjunta, 3) Trasponerla, 4) Dividir cada elemento entre |A|. ¡Y ya tienes la inversa!
✅ Verificación: Siempre comprueba que A × A⁻¹ = I para confirmar que tu cálculo es correcto.
Nuestro compañero de IA está específicamente adaptado a las necesidades de los estudiantes. Basándonos en los millones de contenidos que tenemos en la plataforma, podemos dar a los estudiantes respuestas realmente significativas y relevantes. Pero no se trata solo de respuestas, el compañero también guía a los estudiantes a través de sus retos de aprendizaje diarios, con planes de aprendizaje personalizados, cuestionarios o contenidos en el chat y una personalización del 100% basada en las habilidades y el desarrollo de los estudiantes.
Puedes descargar la app en Google Play Store y Apple App Store.
Sí, tienes acceso gratuito a los contenidos de la aplicación y a nuestro compañero de IA. Para desbloquear determinadas funciones de la aplicación, puedes adquirir Knowunity Pro.
Sintexis de Lengua Castellana. Incluye las oraciones simples, los complementos y todas las oraciones compuestas
App Store
Google Play
La app es muy fácil de usar y está muy bien diseñada. Hasta ahora he encontrado todo lo que estaba buscando y he podido aprender mucho de las presentaciones. Definitivamente utilizaré la aplicación para un examen de clase. Y, por supuesto, también me sirve mucho de inspiración.
Pablo
usuario de iOS
Esta app es realmente genial. Hay tantos apuntes de clase y ayuda [...]. Tengo problemas con matemáticas, por ejemplo, y la aplicación tiene muchas opciones de ayuda. Gracias a Knowunity, he mejorado en mates. Se la recomiendo a todo el mundo.
Elena
usuaria de Android
Vaya, estoy realmente sorprendida. Acabo de probar la app porque la he visto anunciada muchas veces y me he quedado absolutamente alucinada. Esta app es LA AYUDA que quieres para el insti y, sobre todo, ofrece muchísimas cosas, como ejercicios y hojas informativas, que a mí personalmente me han sido MUY útiles.
Ana
usuaria de iOS
Está app es muy buena, tiene apuntes que son de mucha ayuda y su IA es fantástica, te explica a la perfección y muy fácil de entender lo que necesites, te ayuda con los deberes, te hace esquemas... en definitiva es una muy buena opción!
Sophia
usuario de Android
Me encanta!!! Me resuelve todo con detalle y me da la explicación correcta. Tiene un montón de funciones, ami me ha ido genial!! Os la recomiendo!!!
Marta
usuaria de Android
La uso casi diariamente, sirve para todas las asignaturas. Yo, por ejemplo la utilizo más en inglés porque se me da bastante mal, ¡Todas las respuestas están correctas! Consta con personas reales que suben sus apuntes y IA para que puedas hacer los deberes muchísimo más fácil, la recomiendo.
Izan
usuario de iOS
¡La app es buenísima! Sólo tengo que introducir el tema en la barra de búsqueda y recibo la respuesta muy rápido. No tengo que ver 10 vídeos de YouTube para entender algo, así que me ahorro tiempo. ¡Muy recomendable!
Sara
usuaria de Android
En el instituto era muy malo en matemáticas, pero gracias a la app, ahora saco mejores notas. Os agradezco mucho que hayáis creado la aplicación.
Roberto
usuario de Android
Esto no es como Chatgpt, es MUCHISMO MEJOR, te hace unos resúmenes espectaculares y gracias a esta app pase de sacar 5-6 a sacar 8-9.
Julyana
usuaria de Android
Es la mejor aplicación del mundo, la uso para revisar los deberes a mi hijo.
Javier
usuario de Android
LOS QUIZ Y FLASHCARDS SON SÚPER ÚTILES Y ME ENCANTA Knowunity IA. ADEMÁS ES LITERALMENTE COMO CHATGPT PERO MÁS LISTO!! ME AYUDÓ TAMBIÉN CON MIS PROBLEMAS DE MÁSCARA!! Y CON MIS ASIGNATURAS DE VERDAD! OBVIO 😍😁😲🤑💗✨🎀😮
Erick
usuario de Android
Me me encanta esta app, todo lo que tiene es de calidad ya que antes de ser publicado es revisado por un equipo de profesionales. Me ha ido genial esta aplicación ya que gracias a ella puedo estudiar mucho mejor, sin tener que agobiarme porque mi profesor no ha hecho teoría o porque no entiendo su teoría. Le doy un 10 de 10!
Mar
usuaria de iOS
La app es muy fácil de usar y está muy bien diseñada. Hasta ahora he encontrado todo lo que estaba buscando y he podido aprender mucho de las presentaciones. Definitivamente utilizaré la aplicación para un examen de clase. Y, por supuesto, también me sirve mucho de inspiración.
Pablo
usuario de iOS
Esta app es realmente genial. Hay tantos apuntes de clase y ayuda [...]. Tengo problemas con matemáticas, por ejemplo, y la aplicación tiene muchas opciones de ayuda. Gracias a Knowunity, he mejorado en mates. Se la recomiendo a todo el mundo.
Elena
usuaria de Android
Vaya, estoy realmente sorprendida. Acabo de probar la app porque la he visto anunciada muchas veces y me he quedado absolutamente alucinada. Esta app es LA AYUDA que quieres para el insti y, sobre todo, ofrece muchísimas cosas, como ejercicios y hojas informativas, que a mí personalmente me han sido MUY útiles.
Ana
usuaria de iOS
Está app es muy buena, tiene apuntes que son de mucha ayuda y su IA es fantástica, te explica a la perfección y muy fácil de entender lo que necesites, te ayuda con los deberes, te hace esquemas... en definitiva es una muy buena opción!
Sophia
usuario de Android
Me encanta!!! Me resuelve todo con detalle y me da la explicación correcta. Tiene un montón de funciones, ami me ha ido genial!! Os la recomiendo!!!
Marta
usuaria de Android
La uso casi diariamente, sirve para todas las asignaturas. Yo, por ejemplo la utilizo más en inglés porque se me da bastante mal, ¡Todas las respuestas están correctas! Consta con personas reales que suben sus apuntes y IA para que puedas hacer los deberes muchísimo más fácil, la recomiendo.
Izan
usuario de iOS
¡La app es buenísima! Sólo tengo que introducir el tema en la barra de búsqueda y recibo la respuesta muy rápido. No tengo que ver 10 vídeos de YouTube para entender algo, así que me ahorro tiempo. ¡Muy recomendable!
Sara
usuaria de Android
En el instituto era muy malo en matemáticas, pero gracias a la app, ahora saco mejores notas. Os agradezco mucho que hayáis creado la aplicación.
Roberto
usuario de Android
Esto no es como Chatgpt, es MUCHISMO MEJOR, te hace unos resúmenes espectaculares y gracias a esta app pase de sacar 5-6 a sacar 8-9.
Julyana
usuaria de Android
Es la mejor aplicación del mundo, la uso para revisar los deberes a mi hijo.
Javier
usuario de Android
LOS QUIZ Y FLASHCARDS SON SÚPER ÚTILES Y ME ENCANTA Knowunity IA. ADEMÁS ES LITERALMENTE COMO CHATGPT PERO MÁS LISTO!! ME AYUDÓ TAMBIÉN CON MIS PROBLEMAS DE MÁSCARA!! Y CON MIS ASIGNATURAS DE VERDAD! OBVIO 😍😁😲🤑💗✨🎀😮
Erick
usuario de Android
Me me encanta esta app, todo lo que tiene es de calidad ya que antes de ser publicado es revisado por un equipo de profesionales. Me ha ido genial esta aplicación ya que gracias a ella puedo estudiar mucho mejor, sin tener que agobiarme porque mi profesor no ha hecho teoría o porque no entiendo su teoría. Le doy un 10 de 10!
Mar
usuaria de iOS
Laura Perez Lopez
@lauraperezlopez_kkgy
Los determinantes son valores numéricos que se calculan solo en matrices cuadradas y nos dan información crucial sobre sus propiedades. Son fundamentales para resolver sistemas de ecuaciones, calcular matrices inversas y determinar el rango de una matriz.

Acceso a todos los documentos
Mejora tus notas
Únete a millones de estudiantes
¿Sabías que el determinante de una matriz 2x2 se calcula de forma súper sencilla? Para una matriz con elementos a₁₁, a₁₂, a₂₁, a₂₂, el determinante es: a₁₁ × a₂₂ - a₁₂ × a₂₁. Es decir, multiplicas en diagonal y restas.
Por ejemplo, si tienes la matriz [1, -1; 2, 3], el determinante será: 1×3 - (-1)×2 = 3 + 2 = 5. ¡Así de fácil!
Para matrices 3x3, utilizamos la regla de Sarrus. Esta técnica visual te permite calcular determinantes de orden 3 de manera sistemática, expandiendo las columnas y calculando productos diagonales.
💡 Truco útil: En matrices diagonales o triangulares, el determinante es simplemente la multiplicación de todos los elementos de la diagonal principal.

Acceso a todos los documentos
Mejora tus notas
Únete a millones de estudiantes
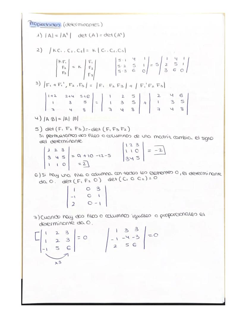
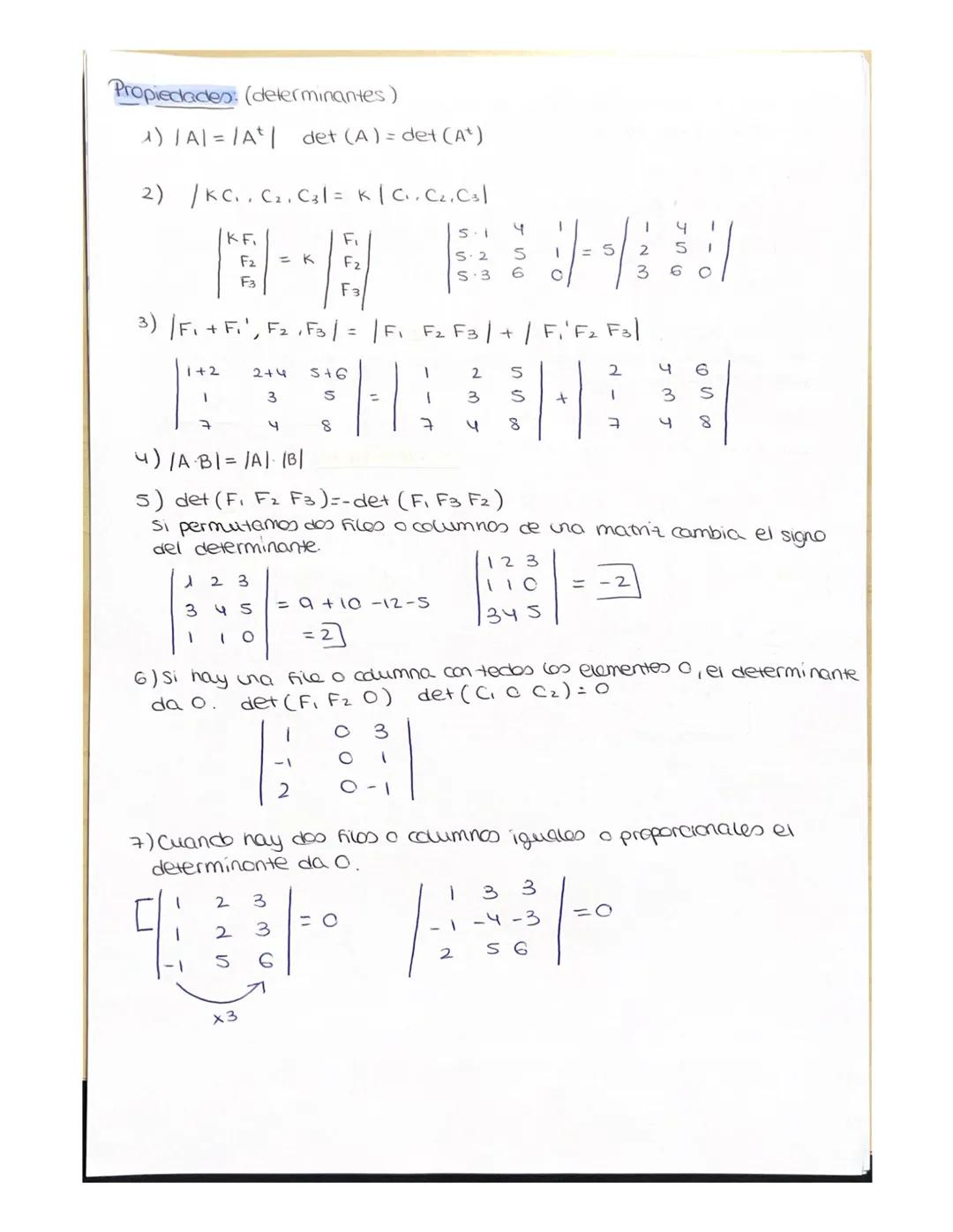
Las propiedades de los determinantes te van a facilitar muchísimo los cálculos. La más útil es que |A| = |Aᵗ|, es decir, el determinante de una matriz es igual al de su transpuesta.
Si una fila o columna tiene un factor común k, puedes sacarlo fuera: |kF₁, F₂, F₃| = k|F₁, F₂, F₃|. Esto te ahorra tiempo en los cálculos porque trabajas con números más pequeños.
Otra propiedad clave: si intercambias dos filas o columnas, el determinante cambia de signo. Y si tienes dos filas iguales o proporcionales, el determinante vale 0 automáticamente.
⚡ Dato importante: La propiedad |AB| = |A||B| es fundamental para trabajar con productos de matrices.

Acceso a todos los documentos
Mejora tus notas
Únete a millones de estudiantes
Si una fila es combinación lineal de las demás, el determinante será 0. Esto ocurre cuando una fila se puede expresar como suma o resta de múltiplos de otras filas.
La propiedad más útil para simplificar cálculos es esta: puedes sumar a una fila otra fila multiplicada por cualquier número y el determinante no cambia. ¡Es genial para crear ceros estratégicamente!
También recuerda que si toda una fila o columna son ceros, el determinante vale 0 directamente. No hace falta ni calcularlo.
🎯 Estrategia pro: Usa las propiedades para crear el máximo número de ceros posible antes de calcular. Te ahorrará tiempo y errores.

Acceso a todos los documentos
Mejora tus notas
Únete a millones de estudiantes
El desarrollo por adjuntos te permite calcular determinantes de cualquier orden reduciéndolos a determinantes más pequeños. Eliges una fila o columna y desarrollas usando los menores complementarios.
Un menor complementario Mᵢⱼ es el determinante que obtienes al eliminar la fila i y columna j. El adjunto es ese menor con un signo que sigue el patrón de tablero de ajedrez: + - + / - + - / + - +.
El truco está en elegir la fila o columna con más ceros para hacer menos cálculos. Si no hay ceros, puedes crearlos usando las propiedades que vimos antes.
💪 Consejo de experto: Siempre desarrolla por la línea que tenga más ceros. Si no los hay, créalos usando operaciones elementales.

Acceso a todos los documentos
Mejora tus notas
Únete a millones de estudiantes
El rango de una matriz es el orden máximo de sus menores no nulos. Para calcularlo, vas probando determinantes de orden creciente hasta encontrar el mayor que no sea cero.
Empiezas comprobando si hay algún elemento ≠ 0 (rango ≥ 1), luego buscas determinantes 2×2 no nulos (rango ≥ 2), y así sucesivamente. Cuando todos los determinantes de un orden son cero, el rango es el orden anterior.
Cuando aparece un parámetro en la matriz, estudias para qué valores el determinante se anula. Estos valores críticos dividen el estudio en casos diferentes.
🔍 Método sistemático: Ve de menor a mayor orden. En cuanto todos los determinantes de un orden sean cero, ya tienes el rango.

Acceso a todos los documentos
Mejora tus notas
Únete a millones de estudiantes
Una matriz tiene inversa solo si su determinante es distinto de cero (matriz regular). Si |A| = 0, la matriz es singular y no tiene inversa.
Para calcular A⁻¹, usas la fórmula: A⁻¹ = × (adj A)ᵗ. Primero calculas el determinante, luego la matriz de adjuntos, la traspones y divides entre el determinante.
Los pasos son: 1) Calcular |A|, 2) Calcular la matriz adjunta, 3) Trasponerla, 4) Dividir cada elemento entre |A|. ¡Y ya tienes la inversa!
✅ Verificación: Siempre comprueba que A × A⁻¹ = I para confirmar que tu cálculo es correcto.
Nuestro compañero de IA está específicamente adaptado a las necesidades de los estudiantes. Basándonos en los millones de contenidos que tenemos en la plataforma, podemos dar a los estudiantes respuestas realmente significativas y relevantes. Pero no se trata solo de respuestas, el compañero también guía a los estudiantes a través de sus retos de aprendizaje diarios, con planes de aprendizaje personalizados, cuestionarios o contenidos en el chat y una personalización del 100% basada en las habilidades y el desarrollo de los estudiantes.
Puedes descargar la app en Google Play Store y Apple App Store.
Sí, tienes acceso gratuito a los contenidos de la aplicación y a nuestro compañero de IA. Para desbloquear determinadas funciones de la aplicación, puedes adquirir Knowunity Pro.
21
Herramientas Inteligentes NUEVO
Transforma estos apuntes en: ✓ 50+ Preguntas de Práctica ✓ Flashcards Interactivas ✓ Examen Completo de Práctica ✓ Esquemas de Ensayo
Apuntes de 2° de bachillerato del Bloque I de Matemáticas. Suma, restay multiplicación de matrices, determinantes, matriz inversa, matriz identidad, sistemas de ecuaciones y problemas.
Resumen de tipos, operaciones matriciales (suma, resta, multiplicación, potencia) y propiedades. Transposicion, rango (GAUS), inversa (propiedades), ecuaciones y inversa a partir de una condición. Explicación detallada con ejemplos y soluciones.
Actividades resueltas y explicadas de matrices
Explicación de cómo aplicar las propiedades de los determinantes
Teoría y ejercicios de matrices
Maneras de estudiar el rango de una matriz
Sintexis de Lengua Castellana. Incluye las oraciones simples, los complementos y todas las oraciones compuestas
App Store
Google Play
La app es muy fácil de usar y está muy bien diseñada. Hasta ahora he encontrado todo lo que estaba buscando y he podido aprender mucho de las presentaciones. Definitivamente utilizaré la aplicación para un examen de clase. Y, por supuesto, también me sirve mucho de inspiración.
Pablo
usuario de iOS
Esta app es realmente genial. Hay tantos apuntes de clase y ayuda [...]. Tengo problemas con matemáticas, por ejemplo, y la aplicación tiene muchas opciones de ayuda. Gracias a Knowunity, he mejorado en mates. Se la recomiendo a todo el mundo.
Elena
usuaria de Android
Vaya, estoy realmente sorprendida. Acabo de probar la app porque la he visto anunciada muchas veces y me he quedado absolutamente alucinada. Esta app es LA AYUDA que quieres para el insti y, sobre todo, ofrece muchísimas cosas, como ejercicios y hojas informativas, que a mí personalmente me han sido MUY útiles.
Ana
usuaria de iOS
Está app es muy buena, tiene apuntes que son de mucha ayuda y su IA es fantástica, te explica a la perfección y muy fácil de entender lo que necesites, te ayuda con los deberes, te hace esquemas... en definitiva es una muy buena opción!
Sophia
usuario de Android
Me encanta!!! Me resuelve todo con detalle y me da la explicación correcta. Tiene un montón de funciones, ami me ha ido genial!! Os la recomiendo!!!
Marta
usuaria de Android
La uso casi diariamente, sirve para todas las asignaturas. Yo, por ejemplo la utilizo más en inglés porque se me da bastante mal, ¡Todas las respuestas están correctas! Consta con personas reales que suben sus apuntes y IA para que puedas hacer los deberes muchísimo más fácil, la recomiendo.
Izan
usuario de iOS
¡La app es buenísima! Sólo tengo que introducir el tema en la barra de búsqueda y recibo la respuesta muy rápido. No tengo que ver 10 vídeos de YouTube para entender algo, así que me ahorro tiempo. ¡Muy recomendable!
Sara
usuaria de Android
En el instituto era muy malo en matemáticas, pero gracias a la app, ahora saco mejores notas. Os agradezco mucho que hayáis creado la aplicación.
Roberto
usuario de Android
Esto no es como Chatgpt, es MUCHISMO MEJOR, te hace unos resúmenes espectaculares y gracias a esta app pase de sacar 5-6 a sacar 8-9.
Julyana
usuaria de Android
Es la mejor aplicación del mundo, la uso para revisar los deberes a mi hijo.
Javier
usuario de Android
LOS QUIZ Y FLASHCARDS SON SÚPER ÚTILES Y ME ENCANTA Knowunity IA. ADEMÁS ES LITERALMENTE COMO CHATGPT PERO MÁS LISTO!! ME AYUDÓ TAMBIÉN CON MIS PROBLEMAS DE MÁSCARA!! Y CON MIS ASIGNATURAS DE VERDAD! OBVIO 😍😁😲🤑💗✨🎀😮
Erick
usuario de Android
Me me encanta esta app, todo lo que tiene es de calidad ya que antes de ser publicado es revisado por un equipo de profesionales. Me ha ido genial esta aplicación ya que gracias a ella puedo estudiar mucho mejor, sin tener que agobiarme porque mi profesor no ha hecho teoría o porque no entiendo su teoría. Le doy un 10 de 10!
Mar
usuaria de iOS
La app es muy fácil de usar y está muy bien diseñada. Hasta ahora he encontrado todo lo que estaba buscando y he podido aprender mucho de las presentaciones. Definitivamente utilizaré la aplicación para un examen de clase. Y, por supuesto, también me sirve mucho de inspiración.
Pablo
usuario de iOS
Esta app es realmente genial. Hay tantos apuntes de clase y ayuda [...]. Tengo problemas con matemáticas, por ejemplo, y la aplicación tiene muchas opciones de ayuda. Gracias a Knowunity, he mejorado en mates. Se la recomiendo a todo el mundo.
Elena
usuaria de Android
Vaya, estoy realmente sorprendida. Acabo de probar la app porque la he visto anunciada muchas veces y me he quedado absolutamente alucinada. Esta app es LA AYUDA que quieres para el insti y, sobre todo, ofrece muchísimas cosas, como ejercicios y hojas informativas, que a mí personalmente me han sido MUY útiles.
Ana
usuaria de iOS
Está app es muy buena, tiene apuntes que son de mucha ayuda y su IA es fantástica, te explica a la perfección y muy fácil de entender lo que necesites, te ayuda con los deberes, te hace esquemas... en definitiva es una muy buena opción!
Sophia
usuario de Android
Me encanta!!! Me resuelve todo con detalle y me da la explicación correcta. Tiene un montón de funciones, ami me ha ido genial!! Os la recomiendo!!!
Marta
usuaria de Android
La uso casi diariamente, sirve para todas las asignaturas. Yo, por ejemplo la utilizo más en inglés porque se me da bastante mal, ¡Todas las respuestas están correctas! Consta con personas reales que suben sus apuntes y IA para que puedas hacer los deberes muchísimo más fácil, la recomiendo.
Izan
usuario de iOS
¡La app es buenísima! Sólo tengo que introducir el tema en la barra de búsqueda y recibo la respuesta muy rápido. No tengo que ver 10 vídeos de YouTube para entender algo, así que me ahorro tiempo. ¡Muy recomendable!
Sara
usuaria de Android
En el instituto era muy malo en matemáticas, pero gracias a la app, ahora saco mejores notas. Os agradezco mucho que hayáis creado la aplicación.
Roberto
usuario de Android
Esto no es como Chatgpt, es MUCHISMO MEJOR, te hace unos resúmenes espectaculares y gracias a esta app pase de sacar 5-6 a sacar 8-9.
Julyana
usuaria de Android
Es la mejor aplicación del mundo, la uso para revisar los deberes a mi hijo.
Javier
usuario de Android
LOS QUIZ Y FLASHCARDS SON SÚPER ÚTILES Y ME ENCANTA Knowunity IA. ADEMÁS ES LITERALMENTE COMO CHATGPT PERO MÁS LISTO!! ME AYUDÓ TAMBIÉN CON MIS PROBLEMAS DE MÁSCARA!! Y CON MIS ASIGNATURAS DE VERDAD! OBVIO 😍😁😲🤑💗✨🎀😮
Erick
usuario de Android
Me me encanta esta app, todo lo que tiene es de calidad ya que antes de ser publicado es revisado por un equipo de profesionales. Me ha ido genial esta aplicación ya que gracias a ella puedo estudiar mucho mejor, sin tener que agobiarme porque mi profesor no ha hecho teoría o porque no entiendo su teoría. Le doy un 10 de 10!
Mar
usuaria de iOS