Los polinomios y fracciones algebraicasson conceptos fundamentales en el... Mostrar más
Inscríbete para ver los apuntes¡Es gratis!
Acceso a todos los documentos
Mejora tus notas
Únete a millones de estudiantes
Knowunity AI
Asignaturas
Triangle Congruence and Similarity Theorems
Triangle Properties and Classification
Linear Equations and Graphs
Geometric Angle Relationships
Trigonometric Functions and Identities
Equation Solving Techniques
Circle Geometry Fundamentals
Division Operations and Methods
Basic Differentiation Rules
Exponent and Logarithm Properties
Mostrar todos los temas
Human Organ Systems
Reproductive Cell Cycles
Biological Sciences Subdisciplines
Cellular Energy Metabolism
Autotrophic Energy Processes
Inheritance Patterns and Principles
Biomolecular Structure and Organization
Cell Cycle and Division Mechanics
Cellular Organization and Development
Biological Structural Organization
Mostrar todos los temas
Chemical Sciences and Applications
Atomic Structure and Composition
Molecular Electron Structure Representation
Atomic Electron Behavior
Matter Properties and Water
Mole Concept and Calculations
Gas Laws and Behavior
Periodic Table Organization
Chemical Thermodynamics Fundamentals
Chemical Bond Types and Properties
Mostrar todos los temas
European Renaissance and Enlightenment
European Cultural Movements 800-1920
American Revolution Era 1763-1797
American Civil War 1861-1865
Global Imperial Systems
Mongol and Chinese Dynasties
U.S. Presidents and World Leaders
Historical Sources and Documentation
World Wars Era and Impact
World Religious Systems
Mostrar todos los temas
Classic and Contemporary Novels
Literary Character Analysis
Rhetorical Theory and Practice
Classic Literary Narratives
Reading Analysis and Interpretation
Narrative Structure and Techniques
English Language Components
Influential English-Language Authors
Basic Sentence Structure
Narrative Voice and Perspective
Mostrar todos los temas
6,835
•
Actualizado Mar 26, 2026
•
Los polinomios y fracciones algebraicasson conceptos fundamentales en el... Mostrar más











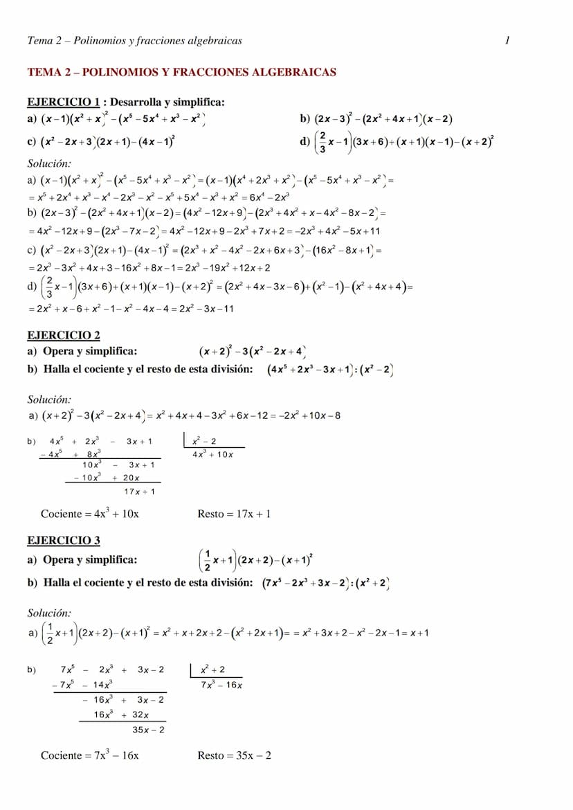
Los polinomios y fracciones algebraicas son fundamentales en el álgebra. Comenzaremos analizando ejercicios básicos de desarrollo y simplificación de expresiones algebraicas, progresando hacia operaciones más complejas.
Definición: Un polinomio es una expresión algebraica que consiste en variables y coeficientes, donde las variables están elevadas únicamente a exponentes enteros no negativos.
En los ejercicios resueltos de polinomios y fracciones algebraicas, es esencial dominar las operaciones básicas como la suma, resta, multiplicación y división. Por ejemplo, al desarrollar (x−1) - , debemos primero multiplicar los términos del primer paréntesis y luego restar la segunda expresión.
Ejemplo: (x−1) = x³ + 2x² + x² - x² - 2x - x Simplificando: 6x² - 2x³

Las divisiones de polinomios son operaciones fundamentales en los ejercicios de polinomios y fracciones algebraicas 4 ESO. El método tradicional y la regla de Ruffini son las principales herramientas para resolver estas operaciones.
Destacado: Para que una división sea exacta, el resto debe ser igual a cero.
Cuando trabajamos con polinomios y fracciones algebraicas 1 bachillerato, es crucial entender el Teorema del Resto, que nos permite encontrar el resto de una división sin necesidad de realizar la división completa. Este teorema establece que el resto de dividir un polinomio P(x) entre es igual a P(a).
La factorización de polinomios es otro aspecto fundamental que requiere el dominio de varios métodos, incluyendo la extracción de factor común y la identificación de productos notables.

Las operaciones con fracciones algebraicas ejercicios resueltos requieren un proceso sistemático. Primero, debemos simplificar las fracciones cuando sea posible, luego realizar las operaciones indicadas siguiendo las reglas de las fracciones.
Vocabulario: Una fracción algebraica es el cociente de dos expresiones algebraicas donde el denominador no es cero.
Para simplificar fracciones algebraicas ejercicios resueltos, seguimos estos pasos:

Los polinomios y fracciones algebraicas 4 ESO ejercicios resueltos tienen numerosas aplicaciones prácticas. Se utilizan en problemas de geometría, física y situaciones cotidianas que involucran áreas, volúmenes y tasas de cambio.
Ejemplo: Para calcular el área de un rectángulo con largo y ancho , multiplicamos: A = = x² + x - 2
Es importante practicar con diversos tipos de ejercicios para desarrollar la capacidad de identificar el método más adecuado en cada situación. Los ejercicios resueltos polinomios y fracciones algebraicas 4 ESO PDF proporcionan una excelente fuente de práctica.

Los polinomios y fracciones algebraicas constituyen una parte fundamental del álgebra. La factorización de polinomios permite simplificar expresiones complejas y resolver ecuaciones de manera más eficiente. Para dominar estos conceptos, es esencial comprender los métodos de factorización como el factor común, la regla de Ruffini y los productos notables.
Definición: La factorización es el proceso de expresar un polinomio como el producto de factores más simples. Por ejemplo, x² - 4 puede factorizarse como .
En el caso de las fracciones algebraicas, es crucial identificar el dominio de definición y simplificar las expresiones mediante la factorización tanto del numerador como del denominador. Por ejemplo, al trabajar con una fracción como /, podemos factorizar el numerador como y simplificar con el denominador, obteniendo .
Ejemplo: Para resolver /, primero factorizamos el numerador:
- 2x²+x-6 =
- Simplificando con el denominador:

Las operaciones con fracciones algebraicas requieren encontrar el mínimo común múltiplo (m.c.m.) de los denominadores cuando se realizan sumas o restas. Para multiplicar o dividir fracciones algebraicas, se opera directamente con numeradores y denominadores, simplificando el resultado final.
Destacado: Para sumar o restar fracciones algebraicas, siempre debemos:
- Hallar el m.c.m. de los denominadores
- Expresar cada fracción con el denominador común
- Operar numeradores
- Simplificar el resultado
Los ejercicios resueltos de polinomios y fracciones algebraicas muestran que la clave está en la factorización correcta y la identificación de patrones comunes como diferencia de cuadrados o trinomios cuadrados perfectos.

La regla de Ruffini es una herramienta esencial para factorizar polinomios de grado superior. Este método permite encontrar las raíces de un polinomio de manera sistemática y expresarlo como producto de factores lineales y cuadráticos.
Vocabulario: Los productos notables son expresiones algebraicas que siguen patrones específicos:
- ² = a² + 2ab + b²
- ² = a² - 2ab + b²
- = a² - b²
La aplicación correcta de estos conceptos es fundamental para resolver ejercicios de polinomios y fracciones algebraicas. Por ejemplo, al factorizar x⁴-1, podemos aplicar la diferencia de cuadrados dos veces: primero como y luego como .

Los problemas más avanzados de fracciones algebraicas requieren una combinación de técnicas de factorización y operaciones. Es importante seguir un proceso ordenado:
Ejemplo: Para resolver /, seguimos estos pasos:
- Factorizar numerador: x
- Factorizar denominador:
- Continuar la factorización del numerador si es posible
- Simplificar la expresión final
La práctica con ejercicios resueltos de polinomios y fracciones algebraicas ayuda a desarrollar la intuición matemática necesaria para abordar problemas más complejos.

Los polinomios y fracciones algebraicas constituyen un pilar fundamental en el estudio del álgebra. En este tema, abordaremos la resolución detallada de ejercicios que involucran operaciones con fracciones algebraicas y factorización de polinomios, elementos esenciales para estudiantes de 4 ESO y 1 bachillerato.
La factorización de polinomios es el primer paso crucial para simplificar fracciones algebraicas. Por ejemplo, cuando tenemos una expresión como x²+3x+2=0, primero debemos factorizarla para encontrar sus raíces. Este proceso implica identificar factores comunes y utilizar técnicas como la regla de Ruffini o las identidades notables.
Definición: Una fracción algebraica es el cociente de dos polinomios P(x)/Q(x), donde Q(x)≠0. La simplificación de estas fracciones requiere encontrar el máximo común divisor (M.C.D.) de numerador y denominador.
Para operaciones más complejas, como en los ejercicios resueltos de polinomios y fracciones algebraicas, es fundamental seguir un proceso sistemático: primero factorizar completamente tanto numerador como denominador, luego identificar el M.C.D., y finalmente realizar la división correspondiente para obtener la expresión más simplificada posible.

En el contexto de los polinomios y fracciones algebraicas 4 ESO, las operaciones combinadas requieren especial atención. Para resolver expresiones como /, es necesario seguir estos pasos metódicamente:
Ejemplo: Para simplificar fracciones algebraicas complejas:
Las identidades notables juegan un papel crucial en la simplificación de expresiones algebraicas. Por ejemplo, la diferencia de cuadrados es una herramienta fundamental para factorizar ciertos tipos de polinomios.
Los ejercicios resueltos de fracciones algebraicas demuestran que la clave del éxito radica en la identificación correcta de patrones y en la aplicación sistemática de las técnicas de factorización. Es especialmente importante reconocer las formas especiales como cuadrados perfectos y diferencias de cuadrados.
Nuestro compañero de IA está específicamente adaptado a las necesidades de los estudiantes. Basándonos en los millones de contenidos que tenemos en la plataforma, podemos dar a los estudiantes respuestas realmente significativas y relevantes. Pero no se trata solo de respuestas, el compañero también guía a los estudiantes a través de sus retos de aprendizaje diarios, con planes de aprendizaje personalizados, cuestionarios o contenidos en el chat y una personalización del 100% basada en las habilidades y el desarrollo de los estudiantes.
Puedes descargar la app en Google Play Store y Apple App Store.
Sí, tienes acceso gratuito a los contenidos de la aplicación y a nuestro compañero de IA. Para desbloquear determinadas funciones de la aplicación, puedes adquirir Knowunity Pro.
App Store
Google Play
La app es muy fácil de usar y está muy bien diseñada. Hasta ahora he encontrado todo lo que estaba buscando y he podido aprender mucho de las presentaciones. Definitivamente utilizaré la aplicación para un examen de clase. Y, por supuesto, también me sirve mucho de inspiración.
Pablo
usuario de iOS
Esta app es realmente genial. Hay tantos apuntes de clase y ayuda [...]. Tengo problemas con matemáticas, por ejemplo, y la aplicación tiene muchas opciones de ayuda. Gracias a Knowunity, he mejorado en mates. Se la recomiendo a todo el mundo.
Elena
usuaria de Android
Vaya, estoy realmente sorprendida. Acabo de probar la app porque la he visto anunciada muchas veces y me he quedado absolutamente alucinada. Esta app es LA AYUDA que quieres para el insti y, sobre todo, ofrece muchísimas cosas, como ejercicios y hojas informativas, que a mí personalmente me han sido MUY útiles.
Ana
usuaria de iOS
Está app es muy buena, tiene apuntes que son de mucha ayuda y su IA es fantástica, te explica a la perfección y muy fácil de entender lo que necesites, te ayuda con los deberes, te hace esquemas... en definitiva es una muy buena opción!
Sophia
usuario de Android
Me encanta!!! Me resuelve todo con detalle y me da la explicación correcta. Tiene un montón de funciones, ami me ha ido genial!! Os la recomiendo!!!
Marta
usuaria de Android
La uso casi diariamente, sirve para todas las asignaturas. Yo, por ejemplo la utilizo más en inglés porque se me da bastante mal, ¡Todas las respuestas están correctas! Consta con personas reales que suben sus apuntes y IA para que puedas hacer los deberes muchísimo más fácil, la recomiendo.
Izan
usuario de iOS
¡La app es buenísima! Sólo tengo que introducir el tema en la barra de búsqueda y recibo la respuesta muy rápido. No tengo que ver 10 vídeos de YouTube para entender algo, así que me ahorro tiempo. ¡Muy recomendable!
Sara
usuaria de Android
En el instituto era muy malo en matemáticas, pero gracias a la app, ahora saco mejores notas. Os agradezco mucho que hayáis creado la aplicación.
Roberto
usuario de Android
Esto no es como Chatgpt, es MUCHISMO MEJOR, te hace unos resúmenes espectaculares y gracias a esta app pase de sacar 5-6 a sacar 8-9.
Julyana
usuaria de Android
Es la mejor aplicación del mundo, la uso para revisar los deberes a mi hijo.
Javier
usuario de Android
LOS QUIZ Y FLASHCARDS SON SÚPER ÚTILES Y ME ENCANTA Knowunity IA. ADEMÁS ES LITERALMENTE COMO CHATGPT PERO MÁS LISTO!! ME AYUDÓ TAMBIÉN CON MIS PROBLEMAS DE MÁSCARA!! Y CON MIS ASIGNATURAS DE VERDAD! OBVIO 😍😁😲🤑💗✨🎀😮
Erick
usuario de Android
Me me encanta esta app, todo lo que tiene es de calidad ya que antes de ser publicado es revisado por un equipo de profesionales. Me ha ido genial esta aplicación ya que gracias a ella puedo estudiar mucho mejor, sin tener que agobiarme porque mi profesor no ha hecho teoría o porque no entiendo su teoría. Le doy un 10 de 10!
Mar
usuaria de iOS
La app es muy fácil de usar y está muy bien diseñada. Hasta ahora he encontrado todo lo que estaba buscando y he podido aprender mucho de las presentaciones. Definitivamente utilizaré la aplicación para un examen de clase. Y, por supuesto, también me sirve mucho de inspiración.
Pablo
usuario de iOS
Esta app es realmente genial. Hay tantos apuntes de clase y ayuda [...]. Tengo problemas con matemáticas, por ejemplo, y la aplicación tiene muchas opciones de ayuda. Gracias a Knowunity, he mejorado en mates. Se la recomiendo a todo el mundo.
Elena
usuaria de Android
Vaya, estoy realmente sorprendida. Acabo de probar la app porque la he visto anunciada muchas veces y me he quedado absolutamente alucinada. Esta app es LA AYUDA que quieres para el insti y, sobre todo, ofrece muchísimas cosas, como ejercicios y hojas informativas, que a mí personalmente me han sido MUY útiles.
Ana
usuaria de iOS
Está app es muy buena, tiene apuntes que son de mucha ayuda y su IA es fantástica, te explica a la perfección y muy fácil de entender lo que necesites, te ayuda con los deberes, te hace esquemas... en definitiva es una muy buena opción!
Sophia
usuario de Android
Me encanta!!! Me resuelve todo con detalle y me da la explicación correcta. Tiene un montón de funciones, ami me ha ido genial!! Os la recomiendo!!!
Marta
usuaria de Android
La uso casi diariamente, sirve para todas las asignaturas. Yo, por ejemplo la utilizo más en inglés porque se me da bastante mal, ¡Todas las respuestas están correctas! Consta con personas reales que suben sus apuntes y IA para que puedas hacer los deberes muchísimo más fácil, la recomiendo.
Izan
usuario de iOS
¡La app es buenísima! Sólo tengo que introducir el tema en la barra de búsqueda y recibo la respuesta muy rápido. No tengo que ver 10 vídeos de YouTube para entender algo, así que me ahorro tiempo. ¡Muy recomendable!
Sara
usuaria de Android
En el instituto era muy malo en matemáticas, pero gracias a la app, ahora saco mejores notas. Os agradezco mucho que hayáis creado la aplicación.
Roberto
usuario de Android
Esto no es como Chatgpt, es MUCHISMO MEJOR, te hace unos resúmenes espectaculares y gracias a esta app pase de sacar 5-6 a sacar 8-9.
Julyana
usuaria de Android
Es la mejor aplicación del mundo, la uso para revisar los deberes a mi hijo.
Javier
usuario de Android
LOS QUIZ Y FLASHCARDS SON SÚPER ÚTILES Y ME ENCANTA Knowunity IA. ADEMÁS ES LITERALMENTE COMO CHATGPT PERO MÁS LISTO!! ME AYUDÓ TAMBIÉN CON MIS PROBLEMAS DE MÁSCARA!! Y CON MIS ASIGNATURAS DE VERDAD! OBVIO 😍😁😲🤑💗✨🎀😮
Erick
usuario de Android
Me me encanta esta app, todo lo que tiene es de calidad ya que antes de ser publicado es revisado por un equipo de profesionales. Me ha ido genial esta aplicación ya que gracias a ella puedo estudiar mucho mejor, sin tener que agobiarme porque mi profesor no ha hecho teoría o porque no entiendo su teoría. Le doy un 10 de 10!
Mar
usuaria de iOS
Los polinomios y fracciones algebraicas son conceptos fundamentales en el álgebra que permiten resolver problemas matemáticos complejos de manera sistemática.
Las operaciones con polinomios y fracciones algebraicasrequieren un dominio sólido de las reglas básicas de factorización, simplificación y operaciones... Mostrar más

Acceso a todos los documentos
Mejora tus notas
Únete a millones de estudiantes
Los polinomios y fracciones algebraicas son fundamentales en el álgebra. Comenzaremos analizando ejercicios básicos de desarrollo y simplificación de expresiones algebraicas, progresando hacia operaciones más complejas.
Definición: Un polinomio es una expresión algebraica que consiste en variables y coeficientes, donde las variables están elevadas únicamente a exponentes enteros no negativos.
En los ejercicios resueltos de polinomios y fracciones algebraicas, es esencial dominar las operaciones básicas como la suma, resta, multiplicación y división. Por ejemplo, al desarrollar (x−1) - , debemos primero multiplicar los términos del primer paréntesis y luego restar la segunda expresión.
Ejemplo: (x−1) = x³ + 2x² + x² - x² - 2x - x Simplificando: 6x² - 2x³

Acceso a todos los documentos
Mejora tus notas
Únete a millones de estudiantes
Las divisiones de polinomios son operaciones fundamentales en los ejercicios de polinomios y fracciones algebraicas 4 ESO. El método tradicional y la regla de Ruffini son las principales herramientas para resolver estas operaciones.
Destacado: Para que una división sea exacta, el resto debe ser igual a cero.
Cuando trabajamos con polinomios y fracciones algebraicas 1 bachillerato, es crucial entender el Teorema del Resto, que nos permite encontrar el resto de una división sin necesidad de realizar la división completa. Este teorema establece que el resto de dividir un polinomio P(x) entre es igual a P(a).
La factorización de polinomios es otro aspecto fundamental que requiere el dominio de varios métodos, incluyendo la extracción de factor común y la identificación de productos notables.

Acceso a todos los documentos
Mejora tus notas
Únete a millones de estudiantes
Las operaciones con fracciones algebraicas ejercicios resueltos requieren un proceso sistemático. Primero, debemos simplificar las fracciones cuando sea posible, luego realizar las operaciones indicadas siguiendo las reglas de las fracciones.
Vocabulario: Una fracción algebraica es el cociente de dos expresiones algebraicas donde el denominador no es cero.
Para simplificar fracciones algebraicas ejercicios resueltos, seguimos estos pasos:

Acceso a todos los documentos
Mejora tus notas
Únete a millones de estudiantes
Los polinomios y fracciones algebraicas 4 ESO ejercicios resueltos tienen numerosas aplicaciones prácticas. Se utilizan en problemas de geometría, física y situaciones cotidianas que involucran áreas, volúmenes y tasas de cambio.
Ejemplo: Para calcular el área de un rectángulo con largo y ancho , multiplicamos: A = = x² + x - 2
Es importante practicar con diversos tipos de ejercicios para desarrollar la capacidad de identificar el método más adecuado en cada situación. Los ejercicios resueltos polinomios y fracciones algebraicas 4 ESO PDF proporcionan una excelente fuente de práctica.

Acceso a todos los documentos
Mejora tus notas
Únete a millones de estudiantes
Los polinomios y fracciones algebraicas constituyen una parte fundamental del álgebra. La factorización de polinomios permite simplificar expresiones complejas y resolver ecuaciones de manera más eficiente. Para dominar estos conceptos, es esencial comprender los métodos de factorización como el factor común, la regla de Ruffini y los productos notables.
Definición: La factorización es el proceso de expresar un polinomio como el producto de factores más simples. Por ejemplo, x² - 4 puede factorizarse como .
En el caso de las fracciones algebraicas, es crucial identificar el dominio de definición y simplificar las expresiones mediante la factorización tanto del numerador como del denominador. Por ejemplo, al trabajar con una fracción como /, podemos factorizar el numerador como y simplificar con el denominador, obteniendo .
Ejemplo: Para resolver /, primero factorizamos el numerador:
- 2x²+x-6 =
- Simplificando con el denominador:

Acceso a todos los documentos
Mejora tus notas
Únete a millones de estudiantes
Las operaciones con fracciones algebraicas requieren encontrar el mínimo común múltiplo (m.c.m.) de los denominadores cuando se realizan sumas o restas. Para multiplicar o dividir fracciones algebraicas, se opera directamente con numeradores y denominadores, simplificando el resultado final.
Destacado: Para sumar o restar fracciones algebraicas, siempre debemos:
- Hallar el m.c.m. de los denominadores
- Expresar cada fracción con el denominador común
- Operar numeradores
- Simplificar el resultado
Los ejercicios resueltos de polinomios y fracciones algebraicas muestran que la clave está en la factorización correcta y la identificación de patrones comunes como diferencia de cuadrados o trinomios cuadrados perfectos.

Acceso a todos los documentos
Mejora tus notas
Únete a millones de estudiantes
La regla de Ruffini es una herramienta esencial para factorizar polinomios de grado superior. Este método permite encontrar las raíces de un polinomio de manera sistemática y expresarlo como producto de factores lineales y cuadráticos.
Vocabulario: Los productos notables son expresiones algebraicas que siguen patrones específicos:
- ² = a² + 2ab + b²
- ² = a² - 2ab + b²
- = a² - b²
La aplicación correcta de estos conceptos es fundamental para resolver ejercicios de polinomios y fracciones algebraicas. Por ejemplo, al factorizar x⁴-1, podemos aplicar la diferencia de cuadrados dos veces: primero como y luego como .

Acceso a todos los documentos
Mejora tus notas
Únete a millones de estudiantes
Los problemas más avanzados de fracciones algebraicas requieren una combinación de técnicas de factorización y operaciones. Es importante seguir un proceso ordenado:
Ejemplo: Para resolver /, seguimos estos pasos:
- Factorizar numerador: x
- Factorizar denominador:
- Continuar la factorización del numerador si es posible
- Simplificar la expresión final
La práctica con ejercicios resueltos de polinomios y fracciones algebraicas ayuda a desarrollar la intuición matemática necesaria para abordar problemas más complejos.

Acceso a todos los documentos
Mejora tus notas
Únete a millones de estudiantes
Los polinomios y fracciones algebraicas constituyen un pilar fundamental en el estudio del álgebra. En este tema, abordaremos la resolución detallada de ejercicios que involucran operaciones con fracciones algebraicas y factorización de polinomios, elementos esenciales para estudiantes de 4 ESO y 1 bachillerato.
La factorización de polinomios es el primer paso crucial para simplificar fracciones algebraicas. Por ejemplo, cuando tenemos una expresión como x²+3x+2=0, primero debemos factorizarla para encontrar sus raíces. Este proceso implica identificar factores comunes y utilizar técnicas como la regla de Ruffini o las identidades notables.
Definición: Una fracción algebraica es el cociente de dos polinomios P(x)/Q(x), donde Q(x)≠0. La simplificación de estas fracciones requiere encontrar el máximo común divisor (M.C.D.) de numerador y denominador.
Para operaciones más complejas, como en los ejercicios resueltos de polinomios y fracciones algebraicas, es fundamental seguir un proceso sistemático: primero factorizar completamente tanto numerador como denominador, luego identificar el M.C.D., y finalmente realizar la división correspondiente para obtener la expresión más simplificada posible.

Acceso a todos los documentos
Mejora tus notas
Únete a millones de estudiantes
En el contexto de los polinomios y fracciones algebraicas 4 ESO, las operaciones combinadas requieren especial atención. Para resolver expresiones como /, es necesario seguir estos pasos metódicamente:
Ejemplo: Para simplificar fracciones algebraicas complejas:
Las identidades notables juegan un papel crucial en la simplificación de expresiones algebraicas. Por ejemplo, la diferencia de cuadrados es una herramienta fundamental para factorizar ciertos tipos de polinomios.
Los ejercicios resueltos de fracciones algebraicas demuestran que la clave del éxito radica en la identificación correcta de patrones y en la aplicación sistemática de las técnicas de factorización. Es especialmente importante reconocer las formas especiales como cuadrados perfectos y diferencias de cuadrados.
Nuestro compañero de IA está específicamente adaptado a las necesidades de los estudiantes. Basándonos en los millones de contenidos que tenemos en la plataforma, podemos dar a los estudiantes respuestas realmente significativas y relevantes. Pero no se trata solo de respuestas, el compañero también guía a los estudiantes a través de sus retos de aprendizaje diarios, con planes de aprendizaje personalizados, cuestionarios o contenidos en el chat y una personalización del 100% basada en las habilidades y el desarrollo de los estudiantes.
Puedes descargar la app en Google Play Store y Apple App Store.
Sí, tienes acceso gratuito a los contenidos de la aplicación y a nuestro compañero de IA. Para desbloquear determinadas funciones de la aplicación, puedes adquirir Knowunity Pro.
624
Herramientas Inteligentes NUEVO
Transforma estos apuntes en: ✓ 50+ Preguntas de Práctica ✓ Flashcards Interactivas ✓ Examen Completo de Práctica ✓ Esquemas de Ensayo
Fracciones algebraicas
Ruffini, ecuaciones Polinomicas, ecuaciones racionales, ecuaciones con radicales, ecuaciones logarítmicas, ecuaciones exponenciales, sistema de ecuaciones lineales, sistema de ecuaciones no lineales
Hay un ejemplo
Ejercicios y procedimientos de proporcionalidad, tanto directa como inversa, incluyendo la compuesta.
Apuntes de la segunda evaluación de 4 de eso
Conjunto de ejercicios y apuntes de todos los tipos de ecuaciones que se ven en la ESO, incluyendo los sistemas.
App Store
Google Play
La app es muy fácil de usar y está muy bien diseñada. Hasta ahora he encontrado todo lo que estaba buscando y he podido aprender mucho de las presentaciones. Definitivamente utilizaré la aplicación para un examen de clase. Y, por supuesto, también me sirve mucho de inspiración.
Pablo
usuario de iOS
Esta app es realmente genial. Hay tantos apuntes de clase y ayuda [...]. Tengo problemas con matemáticas, por ejemplo, y la aplicación tiene muchas opciones de ayuda. Gracias a Knowunity, he mejorado en mates. Se la recomiendo a todo el mundo.
Elena
usuaria de Android
Vaya, estoy realmente sorprendida. Acabo de probar la app porque la he visto anunciada muchas veces y me he quedado absolutamente alucinada. Esta app es LA AYUDA que quieres para el insti y, sobre todo, ofrece muchísimas cosas, como ejercicios y hojas informativas, que a mí personalmente me han sido MUY útiles.
Ana
usuaria de iOS
Está app es muy buena, tiene apuntes que son de mucha ayuda y su IA es fantástica, te explica a la perfección y muy fácil de entender lo que necesites, te ayuda con los deberes, te hace esquemas... en definitiva es una muy buena opción!
Sophia
usuario de Android
Me encanta!!! Me resuelve todo con detalle y me da la explicación correcta. Tiene un montón de funciones, ami me ha ido genial!! Os la recomiendo!!!
Marta
usuaria de Android
La uso casi diariamente, sirve para todas las asignaturas. Yo, por ejemplo la utilizo más en inglés porque se me da bastante mal, ¡Todas las respuestas están correctas! Consta con personas reales que suben sus apuntes y IA para que puedas hacer los deberes muchísimo más fácil, la recomiendo.
Izan
usuario de iOS
¡La app es buenísima! Sólo tengo que introducir el tema en la barra de búsqueda y recibo la respuesta muy rápido. No tengo que ver 10 vídeos de YouTube para entender algo, así que me ahorro tiempo. ¡Muy recomendable!
Sara
usuaria de Android
En el instituto era muy malo en matemáticas, pero gracias a la app, ahora saco mejores notas. Os agradezco mucho que hayáis creado la aplicación.
Roberto
usuario de Android
Esto no es como Chatgpt, es MUCHISMO MEJOR, te hace unos resúmenes espectaculares y gracias a esta app pase de sacar 5-6 a sacar 8-9.
Julyana
usuaria de Android
Es la mejor aplicación del mundo, la uso para revisar los deberes a mi hijo.
Javier
usuario de Android
LOS QUIZ Y FLASHCARDS SON SÚPER ÚTILES Y ME ENCANTA Knowunity IA. ADEMÁS ES LITERALMENTE COMO CHATGPT PERO MÁS LISTO!! ME AYUDÓ TAMBIÉN CON MIS PROBLEMAS DE MÁSCARA!! Y CON MIS ASIGNATURAS DE VERDAD! OBVIO 😍😁😲🤑💗✨🎀😮
Erick
usuario de Android
Me me encanta esta app, todo lo que tiene es de calidad ya que antes de ser publicado es revisado por un equipo de profesionales. Me ha ido genial esta aplicación ya que gracias a ella puedo estudiar mucho mejor, sin tener que agobiarme porque mi profesor no ha hecho teoría o porque no entiendo su teoría. Le doy un 10 de 10!
Mar
usuaria de iOS
La app es muy fácil de usar y está muy bien diseñada. Hasta ahora he encontrado todo lo que estaba buscando y he podido aprender mucho de las presentaciones. Definitivamente utilizaré la aplicación para un examen de clase. Y, por supuesto, también me sirve mucho de inspiración.
Pablo
usuario de iOS
Esta app es realmente genial. Hay tantos apuntes de clase y ayuda [...]. Tengo problemas con matemáticas, por ejemplo, y la aplicación tiene muchas opciones de ayuda. Gracias a Knowunity, he mejorado en mates. Se la recomiendo a todo el mundo.
Elena
usuaria de Android
Vaya, estoy realmente sorprendida. Acabo de probar la app porque la he visto anunciada muchas veces y me he quedado absolutamente alucinada. Esta app es LA AYUDA que quieres para el insti y, sobre todo, ofrece muchísimas cosas, como ejercicios y hojas informativas, que a mí personalmente me han sido MUY útiles.
Ana
usuaria de iOS
Está app es muy buena, tiene apuntes que son de mucha ayuda y su IA es fantástica, te explica a la perfección y muy fácil de entender lo que necesites, te ayuda con los deberes, te hace esquemas... en definitiva es una muy buena opción!
Sophia
usuario de Android
Me encanta!!! Me resuelve todo con detalle y me da la explicación correcta. Tiene un montón de funciones, ami me ha ido genial!! Os la recomiendo!!!
Marta
usuaria de Android
La uso casi diariamente, sirve para todas las asignaturas. Yo, por ejemplo la utilizo más en inglés porque se me da bastante mal, ¡Todas las respuestas están correctas! Consta con personas reales que suben sus apuntes y IA para que puedas hacer los deberes muchísimo más fácil, la recomiendo.
Izan
usuario de iOS
¡La app es buenísima! Sólo tengo que introducir el tema en la barra de búsqueda y recibo la respuesta muy rápido. No tengo que ver 10 vídeos de YouTube para entender algo, así que me ahorro tiempo. ¡Muy recomendable!
Sara
usuaria de Android
En el instituto era muy malo en matemáticas, pero gracias a la app, ahora saco mejores notas. Os agradezco mucho que hayáis creado la aplicación.
Roberto
usuario de Android
Esto no es como Chatgpt, es MUCHISMO MEJOR, te hace unos resúmenes espectaculares y gracias a esta app pase de sacar 5-6 a sacar 8-9.
Julyana
usuaria de Android
Es la mejor aplicación del mundo, la uso para revisar los deberes a mi hijo.
Javier
usuario de Android
LOS QUIZ Y FLASHCARDS SON SÚPER ÚTILES Y ME ENCANTA Knowunity IA. ADEMÁS ES LITERALMENTE COMO CHATGPT PERO MÁS LISTO!! ME AYUDÓ TAMBIÉN CON MIS PROBLEMAS DE MÁSCARA!! Y CON MIS ASIGNATURAS DE VERDAD! OBVIO 😍😁😲🤑💗✨🎀😮
Erick
usuario de Android
Me me encanta esta app, todo lo que tiene es de calidad ya que antes de ser publicado es revisado por un equipo de profesionales. Me ha ido genial esta aplicación ya que gracias a ella puedo estudiar mucho mejor, sin tener que agobiarme porque mi profesor no ha hecho teoría o porque no entiendo su teoría. Le doy un 10 de 10!
Mar
usuaria de iOS