Los límites y la continuidad son herramientas matemáticas que te... Mostrar más
Inscríbete para ver los apuntes¡Es gratis!
Acceso a todos los documentos
Mejora tus notas
Únete a millones de estudiantes
Knowunity AI
Asignaturas
Triangle Congruence and Similarity Theorems
Triangle Properties and Classification
Linear Equations and Graphs
Geometric Angle Relationships
Trigonometric Functions and Identities
Equation Solving Techniques
Circle Geometry Fundamentals
Division Operations and Methods
Basic Differentiation Rules
Exponent and Logarithm Properties
Mostrar todos los temas
Human Organ Systems
Reproductive Cell Cycles
Biological Sciences Subdisciplines
Cellular Energy Metabolism
Autotrophic Energy Processes
Inheritance Patterns and Principles
Biomolecular Structure and Organization
Cell Cycle and Division Mechanics
Cellular Organization and Development
Biological Structural Organization
Mostrar todos los temas
Chemical Sciences and Applications
Atomic Structure and Composition
Molecular Electron Structure Representation
Atomic Electron Behavior
Matter Properties and Water
Mole Concept and Calculations
Gas Laws and Behavior
Periodic Table Organization
Chemical Thermodynamics Fundamentals
Chemical Bond Types and Properties
Mostrar todos los temas
European Renaissance and Enlightenment
European Cultural Movements 800-1920
American Revolution Era 1763-1797
American Civil War 1861-1865
Global Imperial Systems
Mongol and Chinese Dynasties
U.S. Presidents and World Leaders
Historical Sources and Documentation
World Wars Era and Impact
World Religious Systems
Mostrar todos los temas
Classic and Contemporary Novels
Literary Character Analysis
Rhetorical Theory and Practice
Classic Literary Narratives
Reading Analysis and Interpretation
Narrative Structure and Techniques
English Language Components
Influential English-Language Authors
Basic Sentence Structure
Narrative Voice and Perspective
Mostrar todos los temas
366
•
Actualizado Mar 20, 2026
•
Hamid Hayyat
@hamidhayyat_iyvv
Los límites y la continuidad son herramientas matemáticas que te... Mostrar más











Cuando estudias funciones, hay momentos en los que necesitas saber qué sucede cuando x se acerca mucho a un valor, pero sin llegar exactamente ahí. Aquí es donde entran los límites.
El límite de una función es el valor al que tiende f(x) cuando x se aproxima a un punto determinado (o al infinito). Es como preguntarte: "¿hacia dónde va esta función cuando me acerco mucho a este punto?"
Los límites te sirven para analizar el comportamiento de las funciones, especialmente en puntos problemáticos donde la función podría no estar definida. También te permiten estudiar la continuidad de una función, que es fundamental para entender su comportamiento global.
💡 Recuerda: Los límites no siempre coinciden con el valor de la función en ese punto. A veces la función ni siquiera existe en ese punto, pero el límite sí.

Imagina que tienes una función g(x) y quieres estudiar qué pasa cuando x se acerca a 2. Puedes aproximarte desde la izquierda o desde la derecha, y no siempre obtienes el mismo resultado.
En el primer ejemplo: si te aproximas a x = 2 por la izquierda, , pero si te aproximas por la derecha, . El valor de la función en x = 2 es g(2) = -1.
Para los límites en el infinito, observas qué sucede cuando x crece muchísimo. Por ejemplo, con h(x): cuando x → +∞, la función tiende a 5, pero cuando x → -∞, se va hacia -∞.
💡 Truco visual: Los gráficos te dan la respuesta instantáneamente. Usa GeoGebra para visualizar cualquier función que no entiendas.
Los límites te permiten entender estos comportamientos de manera analítica, sin depender solo de los gráficos.

Vamos a trabajar con la función usando GeoGebra. Esta función tiene puntos problemáticos donde el denominador se hace cero.
Al observar la gráfica, puedes determinar varios límites laterales:
Para los límites en el infinito: y .
Si tienes dudas sobre un límite, puedes verificar numéricamente. Por ejemplo, para x → -3⁻, evalúa f(-3.001) = 1001.25, un número muy grande que confirma que el límite es +∞.
💡 Consejo práctico: Siempre usa valores muy cercanos al punto problemático para intuir hacia dónde va el límite.

Cuando calculas límites donde x → ∞, puedes sustituir directamente en muchos casos simples. Por ejemplo: .
Para fracciones como , recuerda que cualquier número dividido por infinito da cero.
Reglas importantes que debes memorizar:
Estas reglas básicas te permiten resolver rápidamente muchos límites sin complicarte. La clave está en identificar cuál aplicar en cada situación.
💡 Método eficaz: Practica estas reglas hasta que las apliques automáticamente. Son la base de todos los límites en el infinito.

Para polinomios, hay un truco súper útil: cuando x → ∞, solo importa el término de mayor grado. Por ejemplo, en , el término x³ crece mucho más rápido que x², así que el resultado es .
En fracciones racionales como , aplicas la misma lógica al numerador y denominador por separado: .
Regla práctica para fracciones de polinomios:
💡 Truco de examen: Identifica rápidamente los grados y aplica la regla. Te ahorrará mucho tiempo en cálculos innecesarios.

Los radicales complican las cosas, pero hay una técnica genial para eliminarlos. Cuando tienes diferencias como , multiplicas y divides por el conjugado.
Usas la identidad: multiplicando por .
Para :
💡 Técnica clave: El conjugado es tu mejor amigo con radicales. Practica esta técnica porque aparece constantemente en exámenes.

Las indeterminaciones del tipo ∞ - ∞ requieren técnicas especiales. En límites como , usas el conjugado para transformar la expresión.
Al aplicar la técnica del conjugado obtienes:
Para casos como , el proceso es similar pero más laborioso. La clave está en identificar el término dominante después de racionalizar.
Observación importante: Cuando tienes fracciones de polinomios P(x)/Q(x):
💡 Estrategia: Memoriza estos tres casos. Te permitirán resolver límites de fracciones racionales sin hacer cálculos complicados.

Cuando calculas el límite de una función en un punto, primero intentas sustituir directamente. Si el punto está en el dominio, como , simplemente evalúas: .
Las cosas se complican cuando obtienes formas como o la indeterminación . En el segundo caso, necesitas factorizar y simplificar.
Para , factorizas:
💡 Regla de oro: Si obtienes 0/0, siempre factoriza. Si obtienes a/0 (donde a ≠ 0), el límite es ±∞.
El límite existe aunque f(2) no exista. Esto es clave para entender la continuidad.

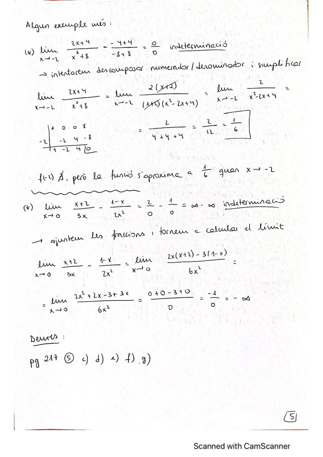
Cuando te enfrentas a indeterminaciones como ∞ - ∞, necesitas transformar la expresión. Para , juntas las fracciones con denominador común.
La técnica es:
Al sustituir x = 0: .
Para límites con factorización compleja, como , reconoces que x³ + 8 = usando la suma de cubos.
Tipos de indeterminaciones más comunes:
💡 Consejo: Las indeterminaciones no son errores, son señales de que necesitas usar una técnica especial. ¡No te asustes cuando las veas!

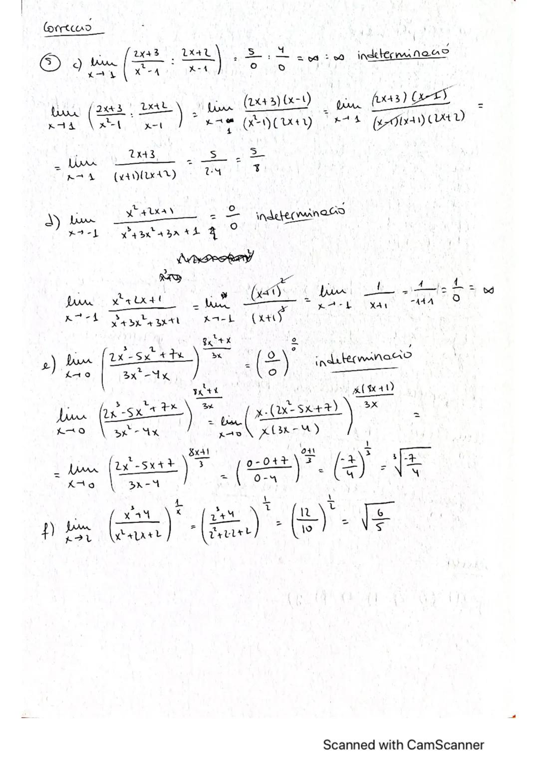
Vamos a resolver algunos ejercicios típicos que aparecen en exámenes. Para , que inicialmente da ∞ : ∞, transformas la división en multiplicación.
La clave está en escribir:
Después de simplificar :
Para potencias con indeterminaciones, como , simplifica primero la base factorizando x:
Al evaluar:
💡 Estrategia de examen: Siempre factoriza términos comunes antes de aplicar límites. Te simplificará enormemente los cálculos.
Nuestro compañero de IA está específicamente adaptado a las necesidades de los estudiantes. Basándonos en los millones de contenidos que tenemos en la plataforma, podemos dar a los estudiantes respuestas realmente significativas y relevantes. Pero no se trata solo de respuestas, el compañero también guía a los estudiantes a través de sus retos de aprendizaje diarios, con planes de aprendizaje personalizados, cuestionarios o contenidos en el chat y una personalización del 100% basada en las habilidades y el desarrollo de los estudiantes.
Puedes descargar la app en Google Play Store y Apple App Store.
Sí, tienes acceso gratuito a los contenidos de la aplicación y a nuestro compañero de IA. Para desbloquear determinadas funciones de la aplicación, puedes adquirir Knowunity Pro.
App Store
Google Play
La app es muy fácil de usar y está muy bien diseñada. Hasta ahora he encontrado todo lo que estaba buscando y he podido aprender mucho de las presentaciones. Definitivamente utilizaré la aplicación para un examen de clase. Y, por supuesto, también me sirve mucho de inspiración.
Pablo
usuario de iOS
Esta app es realmente genial. Hay tantos apuntes de clase y ayuda [...]. Tengo problemas con matemáticas, por ejemplo, y la aplicación tiene muchas opciones de ayuda. Gracias a Knowunity, he mejorado en mates. Se la recomiendo a todo el mundo.
Elena
usuaria de Android
Vaya, estoy realmente sorprendida. Acabo de probar la app porque la he visto anunciada muchas veces y me he quedado absolutamente alucinada. Esta app es LA AYUDA que quieres para el insti y, sobre todo, ofrece muchísimas cosas, como ejercicios y hojas informativas, que a mí personalmente me han sido MUY útiles.
Ana
usuaria de iOS
Está app es muy buena, tiene apuntes que son de mucha ayuda y su IA es fantástica, te explica a la perfección y muy fácil de entender lo que necesites, te ayuda con los deberes, te hace esquemas... en definitiva es una muy buena opción!
Sophia
usuario de Android
Me encanta!!! Me resuelve todo con detalle y me da la explicación correcta. Tiene un montón de funciones, ami me ha ido genial!! Os la recomiendo!!!
Marta
usuaria de Android
La uso casi diariamente, sirve para todas las asignaturas. Yo, por ejemplo la utilizo más en inglés porque se me da bastante mal, ¡Todas las respuestas están correctas! Consta con personas reales que suben sus apuntes y IA para que puedas hacer los deberes muchísimo más fácil, la recomiendo.
Izan
usuario de iOS
¡La app es buenísima! Sólo tengo que introducir el tema en la barra de búsqueda y recibo la respuesta muy rápido. No tengo que ver 10 vídeos de YouTube para entender algo, así que me ahorro tiempo. ¡Muy recomendable!
Sara
usuaria de Android
En el instituto era muy malo en matemáticas, pero gracias a la app, ahora saco mejores notas. Os agradezco mucho que hayáis creado la aplicación.
Roberto
usuario de Android
Esto no es como Chatgpt, es MUCHISMO MEJOR, te hace unos resúmenes espectaculares y gracias a esta app pase de sacar 5-6 a sacar 8-9.
Julyana
usuaria de Android
Es la mejor aplicación del mundo, la uso para revisar los deberes a mi hijo.
Javier
usuario de Android
LOS QUIZ Y FLASHCARDS SON SÚPER ÚTILES Y ME ENCANTA Knowunity IA. ADEMÁS ES LITERALMENTE COMO CHATGPT PERO MÁS LISTO!! ME AYUDÓ TAMBIÉN CON MIS PROBLEMAS DE MÁSCARA!! Y CON MIS ASIGNATURAS DE VERDAD! OBVIO 😍😁😲🤑💗✨🎀😮
Erick
usuario de Android
Me me encanta esta app, todo lo que tiene es de calidad ya que antes de ser publicado es revisado por un equipo de profesionales. Me ha ido genial esta aplicación ya que gracias a ella puedo estudiar mucho mejor, sin tener que agobiarme porque mi profesor no ha hecho teoría o porque no entiendo su teoría. Le doy un 10 de 10!
Mar
usuaria de iOS
La app es muy fácil de usar y está muy bien diseñada. Hasta ahora he encontrado todo lo que estaba buscando y he podido aprender mucho de las presentaciones. Definitivamente utilizaré la aplicación para un examen de clase. Y, por supuesto, también me sirve mucho de inspiración.
Pablo
usuario de iOS
Esta app es realmente genial. Hay tantos apuntes de clase y ayuda [...]. Tengo problemas con matemáticas, por ejemplo, y la aplicación tiene muchas opciones de ayuda. Gracias a Knowunity, he mejorado en mates. Se la recomiendo a todo el mundo.
Elena
usuaria de Android
Vaya, estoy realmente sorprendida. Acabo de probar la app porque la he visto anunciada muchas veces y me he quedado absolutamente alucinada. Esta app es LA AYUDA que quieres para el insti y, sobre todo, ofrece muchísimas cosas, como ejercicios y hojas informativas, que a mí personalmente me han sido MUY útiles.
Ana
usuaria de iOS
Está app es muy buena, tiene apuntes que son de mucha ayuda y su IA es fantástica, te explica a la perfección y muy fácil de entender lo que necesites, te ayuda con los deberes, te hace esquemas... en definitiva es una muy buena opción!
Sophia
usuario de Android
Me encanta!!! Me resuelve todo con detalle y me da la explicación correcta. Tiene un montón de funciones, ami me ha ido genial!! Os la recomiendo!!!
Marta
usuaria de Android
La uso casi diariamente, sirve para todas las asignaturas. Yo, por ejemplo la utilizo más en inglés porque se me da bastante mal, ¡Todas las respuestas están correctas! Consta con personas reales que suben sus apuntes y IA para que puedas hacer los deberes muchísimo más fácil, la recomiendo.
Izan
usuario de iOS
¡La app es buenísima! Sólo tengo que introducir el tema en la barra de búsqueda y recibo la respuesta muy rápido. No tengo que ver 10 vídeos de YouTube para entender algo, así que me ahorro tiempo. ¡Muy recomendable!
Sara
usuaria de Android
En el instituto era muy malo en matemáticas, pero gracias a la app, ahora saco mejores notas. Os agradezco mucho que hayáis creado la aplicación.
Roberto
usuario de Android
Esto no es como Chatgpt, es MUCHISMO MEJOR, te hace unos resúmenes espectaculares y gracias a esta app pase de sacar 5-6 a sacar 8-9.
Julyana
usuaria de Android
Es la mejor aplicación del mundo, la uso para revisar los deberes a mi hijo.
Javier
usuario de Android
LOS QUIZ Y FLASHCARDS SON SÚPER ÚTILES Y ME ENCANTA Knowunity IA. ADEMÁS ES LITERALMENTE COMO CHATGPT PERO MÁS LISTO!! ME AYUDÓ TAMBIÉN CON MIS PROBLEMAS DE MÁSCARA!! Y CON MIS ASIGNATURAS DE VERDAD! OBVIO 😍😁😲🤑💗✨🎀😮
Erick
usuario de Android
Me me encanta esta app, todo lo que tiene es de calidad ya que antes de ser publicado es revisado por un equipo de profesionales. Me ha ido genial esta aplicación ya que gracias a ella puedo estudiar mucho mejor, sin tener que agobiarme porque mi profesor no ha hecho teoría o porque no entiendo su teoría. Le doy un 10 de 10!
Mar
usuaria de iOS
Hamid Hayyat
@hamidhayyat_iyvv
Los límites y la continuidad son herramientas matemáticas que te permiten entender cómo se comportan las funciones cuando la variable x se acerca a un valor específico o al infinito. Piénsalo como una manera de predecir qué está "a punto... Mostrar más

Acceso a todos los documentos
Mejora tus notas
Únete a millones de estudiantes
Cuando estudias funciones, hay momentos en los que necesitas saber qué sucede cuando x se acerca mucho a un valor, pero sin llegar exactamente ahí. Aquí es donde entran los límites.
El límite de una función es el valor al que tiende f(x) cuando x se aproxima a un punto determinado (o al infinito). Es como preguntarte: "¿hacia dónde va esta función cuando me acerco mucho a este punto?"
Los límites te sirven para analizar el comportamiento de las funciones, especialmente en puntos problemáticos donde la función podría no estar definida. También te permiten estudiar la continuidad de una función, que es fundamental para entender su comportamiento global.
💡 Recuerda: Los límites no siempre coinciden con el valor de la función en ese punto. A veces la función ni siquiera existe en ese punto, pero el límite sí.

Acceso a todos los documentos
Mejora tus notas
Únete a millones de estudiantes
Imagina que tienes una función g(x) y quieres estudiar qué pasa cuando x se acerca a 2. Puedes aproximarte desde la izquierda o desde la derecha, y no siempre obtienes el mismo resultado.
En el primer ejemplo: si te aproximas a x = 2 por la izquierda, , pero si te aproximas por la derecha, . El valor de la función en x = 2 es g(2) = -1.
Para los límites en el infinito, observas qué sucede cuando x crece muchísimo. Por ejemplo, con h(x): cuando x → +∞, la función tiende a 5, pero cuando x → -∞, se va hacia -∞.
💡 Truco visual: Los gráficos te dan la respuesta instantáneamente. Usa GeoGebra para visualizar cualquier función que no entiendas.
Los límites te permiten entender estos comportamientos de manera analítica, sin depender solo de los gráficos.

Acceso a todos los documentos
Mejora tus notas
Únete a millones de estudiantes
Vamos a trabajar con la función usando GeoGebra. Esta función tiene puntos problemáticos donde el denominador se hace cero.
Al observar la gráfica, puedes determinar varios límites laterales:
Para los límites en el infinito: y .
Si tienes dudas sobre un límite, puedes verificar numéricamente. Por ejemplo, para x → -3⁻, evalúa f(-3.001) = 1001.25, un número muy grande que confirma que el límite es +∞.
💡 Consejo práctico: Siempre usa valores muy cercanos al punto problemático para intuir hacia dónde va el límite.

Acceso a todos los documentos
Mejora tus notas
Únete a millones de estudiantes
Cuando calculas límites donde x → ∞, puedes sustituir directamente en muchos casos simples. Por ejemplo: .
Para fracciones como , recuerda que cualquier número dividido por infinito da cero.
Reglas importantes que debes memorizar:
Estas reglas básicas te permiten resolver rápidamente muchos límites sin complicarte. La clave está en identificar cuál aplicar en cada situación.
💡 Método eficaz: Practica estas reglas hasta que las apliques automáticamente. Son la base de todos los límites en el infinito.

Acceso a todos los documentos
Mejora tus notas
Únete a millones de estudiantes
Para polinomios, hay un truco súper útil: cuando x → ∞, solo importa el término de mayor grado. Por ejemplo, en , el término x³ crece mucho más rápido que x², así que el resultado es .
En fracciones racionales como , aplicas la misma lógica al numerador y denominador por separado: .
Regla práctica para fracciones de polinomios:
💡 Truco de examen: Identifica rápidamente los grados y aplica la regla. Te ahorrará mucho tiempo en cálculos innecesarios.

Acceso a todos los documentos
Mejora tus notas
Únete a millones de estudiantes
Los radicales complican las cosas, pero hay una técnica genial para eliminarlos. Cuando tienes diferencias como , multiplicas y divides por el conjugado.
Usas la identidad: multiplicando por .
Para :
💡 Técnica clave: El conjugado es tu mejor amigo con radicales. Practica esta técnica porque aparece constantemente en exámenes.

Acceso a todos los documentos
Mejora tus notas
Únete a millones de estudiantes
Las indeterminaciones del tipo ∞ - ∞ requieren técnicas especiales. En límites como , usas el conjugado para transformar la expresión.
Al aplicar la técnica del conjugado obtienes:
Para casos como , el proceso es similar pero más laborioso. La clave está en identificar el término dominante después de racionalizar.
Observación importante: Cuando tienes fracciones de polinomios P(x)/Q(x):
💡 Estrategia: Memoriza estos tres casos. Te permitirán resolver límites de fracciones racionales sin hacer cálculos complicados.

Acceso a todos los documentos
Mejora tus notas
Únete a millones de estudiantes
Cuando calculas el límite de una función en un punto, primero intentas sustituir directamente. Si el punto está en el dominio, como , simplemente evalúas: .
Las cosas se complican cuando obtienes formas como o la indeterminación . En el segundo caso, necesitas factorizar y simplificar.
Para , factorizas:
💡 Regla de oro: Si obtienes 0/0, siempre factoriza. Si obtienes a/0 (donde a ≠ 0), el límite es ±∞.
El límite existe aunque f(2) no exista. Esto es clave para entender la continuidad.

Acceso a todos los documentos
Mejora tus notas
Únete a millones de estudiantes
Cuando te enfrentas a indeterminaciones como ∞ - ∞, necesitas transformar la expresión. Para , juntas las fracciones con denominador común.
La técnica es:
Al sustituir x = 0: .
Para límites con factorización compleja, como , reconoces que x³ + 8 = usando la suma de cubos.
Tipos de indeterminaciones más comunes:
💡 Consejo: Las indeterminaciones no son errores, son señales de que necesitas usar una técnica especial. ¡No te asustes cuando las veas!

Acceso a todos los documentos
Mejora tus notas
Únete a millones de estudiantes
Vamos a resolver algunos ejercicios típicos que aparecen en exámenes. Para , que inicialmente da ∞ : ∞, transformas la división en multiplicación.
La clave está en escribir:
Después de simplificar :
Para potencias con indeterminaciones, como , simplifica primero la base factorizando x:
Al evaluar:
💡 Estrategia de examen: Siempre factoriza términos comunes antes de aplicar límites. Te simplificará enormemente los cálculos.
Nuestro compañero de IA está específicamente adaptado a las necesidades de los estudiantes. Basándonos en los millones de contenidos que tenemos en la plataforma, podemos dar a los estudiantes respuestas realmente significativas y relevantes. Pero no se trata solo de respuestas, el compañero también guía a los estudiantes a través de sus retos de aprendizaje diarios, con planes de aprendizaje personalizados, cuestionarios o contenidos en el chat y una personalización del 100% basada en las habilidades y el desarrollo de los estudiantes.
Puedes descargar la app en Google Play Store y Apple App Store.
Sí, tienes acceso gratuito a los contenidos de la aplicación y a nuestro compañero de IA. Para desbloquear determinadas funciones de la aplicación, puedes adquirir Knowunity Pro.
17
Herramientas Inteligentes NUEVO
Transforma estos apuntes en: ✓ 50+ Preguntas de Práctica ✓ Flashcards Interactivas ✓ Examen Completo de Práctica ✓ Esquemas de Ensayo
Dominio, continuidad, asíntotas, puntos de corte, estudio del signo, extremos relativos y absolutos, estudio de la monotonía, puntos de inflexión, estudio de concavidad y convexidad... teoremas de funcines contínuas y derivables
TEOREMA DE BOLZANO, TEOREMA DE RÔLLE y TEOREMA DEL VALOR MEDIO.
Se habla sobre cómo resolver todas las indeterminaciones con ejemplos, cuándo una función es continua con ejemplos, los tipos de discontinuidades que hay, qué es el Teorema de Bolzano con ejercicios y cómo calcular los tres tipos de asíntotas
Apuntes con ejemplos
Apuntes y ejercicios del dominio, límites (continuidad), derivadas y derivabilidad de una función
resumen límites y derivadas
App Store
Google Play
La app es muy fácil de usar y está muy bien diseñada. Hasta ahora he encontrado todo lo que estaba buscando y he podido aprender mucho de las presentaciones. Definitivamente utilizaré la aplicación para un examen de clase. Y, por supuesto, también me sirve mucho de inspiración.
Pablo
usuario de iOS
Esta app es realmente genial. Hay tantos apuntes de clase y ayuda [...]. Tengo problemas con matemáticas, por ejemplo, y la aplicación tiene muchas opciones de ayuda. Gracias a Knowunity, he mejorado en mates. Se la recomiendo a todo el mundo.
Elena
usuaria de Android
Vaya, estoy realmente sorprendida. Acabo de probar la app porque la he visto anunciada muchas veces y me he quedado absolutamente alucinada. Esta app es LA AYUDA que quieres para el insti y, sobre todo, ofrece muchísimas cosas, como ejercicios y hojas informativas, que a mí personalmente me han sido MUY útiles.
Ana
usuaria de iOS
Está app es muy buena, tiene apuntes que son de mucha ayuda y su IA es fantástica, te explica a la perfección y muy fácil de entender lo que necesites, te ayuda con los deberes, te hace esquemas... en definitiva es una muy buena opción!
Sophia
usuario de Android
Me encanta!!! Me resuelve todo con detalle y me da la explicación correcta. Tiene un montón de funciones, ami me ha ido genial!! Os la recomiendo!!!
Marta
usuaria de Android
La uso casi diariamente, sirve para todas las asignaturas. Yo, por ejemplo la utilizo más en inglés porque se me da bastante mal, ¡Todas las respuestas están correctas! Consta con personas reales que suben sus apuntes y IA para que puedas hacer los deberes muchísimo más fácil, la recomiendo.
Izan
usuario de iOS
¡La app es buenísima! Sólo tengo que introducir el tema en la barra de búsqueda y recibo la respuesta muy rápido. No tengo que ver 10 vídeos de YouTube para entender algo, así que me ahorro tiempo. ¡Muy recomendable!
Sara
usuaria de Android
En el instituto era muy malo en matemáticas, pero gracias a la app, ahora saco mejores notas. Os agradezco mucho que hayáis creado la aplicación.
Roberto
usuario de Android
Esto no es como Chatgpt, es MUCHISMO MEJOR, te hace unos resúmenes espectaculares y gracias a esta app pase de sacar 5-6 a sacar 8-9.
Julyana
usuaria de Android
Es la mejor aplicación del mundo, la uso para revisar los deberes a mi hijo.
Javier
usuario de Android
LOS QUIZ Y FLASHCARDS SON SÚPER ÚTILES Y ME ENCANTA Knowunity IA. ADEMÁS ES LITERALMENTE COMO CHATGPT PERO MÁS LISTO!! ME AYUDÓ TAMBIÉN CON MIS PROBLEMAS DE MÁSCARA!! Y CON MIS ASIGNATURAS DE VERDAD! OBVIO 😍😁😲🤑💗✨🎀😮
Erick
usuario de Android
Me me encanta esta app, todo lo que tiene es de calidad ya que antes de ser publicado es revisado por un equipo de profesionales. Me ha ido genial esta aplicación ya que gracias a ella puedo estudiar mucho mejor, sin tener que agobiarme porque mi profesor no ha hecho teoría o porque no entiendo su teoría. Le doy un 10 de 10!
Mar
usuaria de iOS
La app es muy fácil de usar y está muy bien diseñada. Hasta ahora he encontrado todo lo que estaba buscando y he podido aprender mucho de las presentaciones. Definitivamente utilizaré la aplicación para un examen de clase. Y, por supuesto, también me sirve mucho de inspiración.
Pablo
usuario de iOS
Esta app es realmente genial. Hay tantos apuntes de clase y ayuda [...]. Tengo problemas con matemáticas, por ejemplo, y la aplicación tiene muchas opciones de ayuda. Gracias a Knowunity, he mejorado en mates. Se la recomiendo a todo el mundo.
Elena
usuaria de Android
Vaya, estoy realmente sorprendida. Acabo de probar la app porque la he visto anunciada muchas veces y me he quedado absolutamente alucinada. Esta app es LA AYUDA que quieres para el insti y, sobre todo, ofrece muchísimas cosas, como ejercicios y hojas informativas, que a mí personalmente me han sido MUY útiles.
Ana
usuaria de iOS
Está app es muy buena, tiene apuntes que son de mucha ayuda y su IA es fantástica, te explica a la perfección y muy fácil de entender lo que necesites, te ayuda con los deberes, te hace esquemas... en definitiva es una muy buena opción!
Sophia
usuario de Android
Me encanta!!! Me resuelve todo con detalle y me da la explicación correcta. Tiene un montón de funciones, ami me ha ido genial!! Os la recomiendo!!!
Marta
usuaria de Android
La uso casi diariamente, sirve para todas las asignaturas. Yo, por ejemplo la utilizo más en inglés porque se me da bastante mal, ¡Todas las respuestas están correctas! Consta con personas reales que suben sus apuntes y IA para que puedas hacer los deberes muchísimo más fácil, la recomiendo.
Izan
usuario de iOS
¡La app es buenísima! Sólo tengo que introducir el tema en la barra de búsqueda y recibo la respuesta muy rápido. No tengo que ver 10 vídeos de YouTube para entender algo, así que me ahorro tiempo. ¡Muy recomendable!
Sara
usuaria de Android
En el instituto era muy malo en matemáticas, pero gracias a la app, ahora saco mejores notas. Os agradezco mucho que hayáis creado la aplicación.
Roberto
usuario de Android
Esto no es como Chatgpt, es MUCHISMO MEJOR, te hace unos resúmenes espectaculares y gracias a esta app pase de sacar 5-6 a sacar 8-9.
Julyana
usuaria de Android
Es la mejor aplicación del mundo, la uso para revisar los deberes a mi hijo.
Javier
usuario de Android
LOS QUIZ Y FLASHCARDS SON SÚPER ÚTILES Y ME ENCANTA Knowunity IA. ADEMÁS ES LITERALMENTE COMO CHATGPT PERO MÁS LISTO!! ME AYUDÓ TAMBIÉN CON MIS PROBLEMAS DE MÁSCARA!! Y CON MIS ASIGNATURAS DE VERDAD! OBVIO 😍😁😲🤑💗✨🎀😮
Erick
usuario de Android
Me me encanta esta app, todo lo que tiene es de calidad ya que antes de ser publicado es revisado por un equipo de profesionales. Me ha ido genial esta aplicación ya que gracias a ella puedo estudiar mucho mejor, sin tener que agobiarme porque mi profesor no ha hecho teoría o porque no entiendo su teoría. Le doy un 10 de 10!
Mar
usuaria de iOS