¿Te lían las inecuaciones y funciones? Tranqui, que en realidad... Mostrar más
Inscríbete para ver los apuntes¡Es gratis!
Acceso a todos los documentos
Mejora tus notas
Únete a millones de estudiantes
Knowunity AI
Asignaturas
Triangle Congruence and Similarity Theorems
Triangle Properties and Classification
Linear Equations and Graphs
Geometric Angle Relationships
Trigonometric Functions and Identities
Equation Solving Techniques
Circle Geometry Fundamentals
Division Operations and Methods
Basic Differentiation Rules
Exponent and Logarithm Properties
Mostrar todos los temas
Human Organ Systems
Reproductive Cell Cycles
Biological Sciences Subdisciplines
Cellular Energy Metabolism
Autotrophic Energy Processes
Inheritance Patterns and Principles
Biomolecular Structure and Organization
Cell Cycle and Division Mechanics
Cellular Organization and Development
Biological Structural Organization
Mostrar todos los temas
Chemical Sciences and Applications
Atomic Structure and Composition
Molecular Electron Structure Representation
Atomic Electron Behavior
Matter Properties and Water
Mole Concept and Calculations
Gas Laws and Behavior
Periodic Table Organization
Chemical Thermodynamics Fundamentals
Chemical Bond Types and Properties
Mostrar todos los temas
European Renaissance and Enlightenment
European Cultural Movements 800-1920
American Revolution Era 1763-1797
American Civil War 1861-1865
Global Imperial Systems
Mongol and Chinese Dynasties
U.S. Presidents and World Leaders
Historical Sources and Documentation
World Wars Era and Impact
World Religious Systems
Mostrar todos los temas
Classic and Contemporary Novels
Literary Character Analysis
Rhetorical Theory and Practice
Classic Literary Narratives
Reading Analysis and Interpretation
Narrative Structure and Techniques
English Language Components
Influential English-Language Authors
Basic Sentence Structure
Narrative Voice and Perspective
Mostrar todos los temas
726
•
Actualizado Mar 22, 2026
•
¿Te lían las inecuaciones y funciones? Tranqui, que en realidad... Mostrar más





Las inecuaciones de primer grado se resuelven exactamente igual que las ecuaciones normales, pero con una regla de oro: cuando multiplicas o divides por un número negativo, el signo de la desigualdad se da la vuelta. Es súper importante acordarte de esto.
Por ejemplo, si tienes 2 - 3x ≤ -4, al pasar el -3 dividiendo (que es negativo), el ≤ se convierte en ≥. El resultado no es un número exacto como en las ecuaciones, sino un intervalo de soluciones.
Para las inecuaciones de segundo grado y con fracciones, lo que tienes que hacer es estudiar el signo. Igualas a cero, encuentras las raíces y miras dónde la función es positiva o negativa.
Tip clave: En las inecuaciones con fracciones, nunca olvides que el denominador no puede ser cero. Esos puntos quedan excluidos de la solución.
Los sistemas de inecuaciones son pan comido: resuelves cada inecuación por separado y luego buscas la zona donde se cumplen todas a la vez. Es como encontrar la intersección de varios intervalos.

Cuando tienes que resolver sistemas de inecuaciones gráficamente, lo que haces es representar cada recta y sombrear las zonas que cumplen las condiciones. Es como colorear por zonas, pero con matemáticas.
El truco está en sustituir un punto (normalmente el (0,0)) en la desigualdad para ver de qué lado de la recta tienes que sombrear. Si la desigualdad se cumple, ese lado es tu zona ganadora.
La región factible es donde se solapan todas las zonas sombreadas. Ahí está tu solución final.
Consejo: Siempre dibuja las rectas con línea continua si la desigualdad incluye la igualdad (≤ o ≥) y con línea discontinua si no la incluye (< o >).

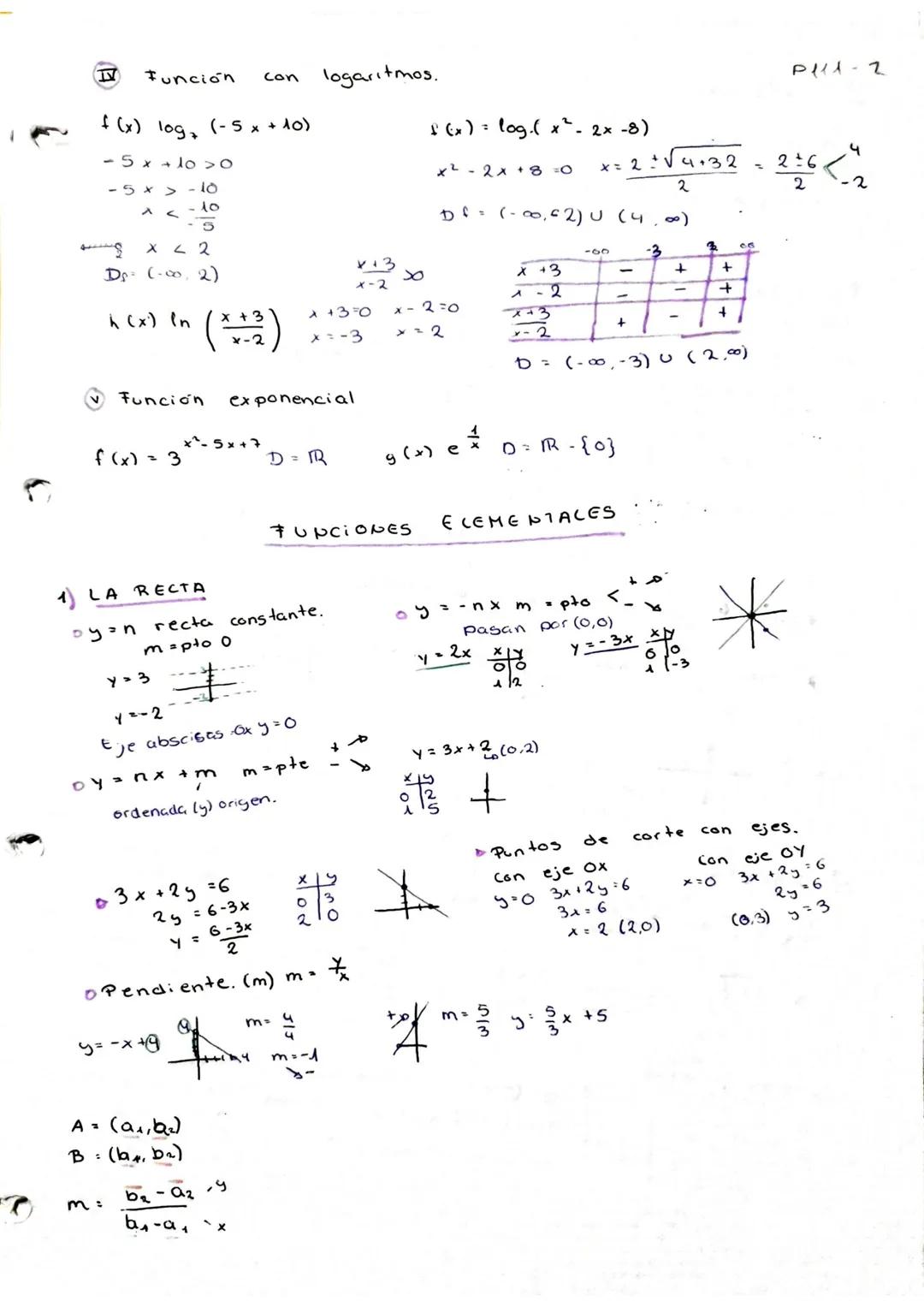
El dominio de una función son todos los valores de x para los que la función tiene sentido. Es como saber en qué terreno puede caminar cada función sin caerse por un precipicio.
Las funciones polinómicas son las más cómodas: su dominio es todos los números reales (ℝ). No tienen restricciones, van a su bola.
Las funciones con denominador son más delicadas: no pueden tener el denominador igual a cero. Si tienes f(x) = 1/, entonces x no puede ser 2, así que D = ℝ - {2}.
Regla de oro: Con raíces de índice par, lo que está dentro debe ser ≥ 0. Con logaritmos, lo que está dentro debe ser > 0.
Las funciones exponenciales son súper relajadas: su dominio siempre es ℝ, a menos que tengan algo raro en el exponente.

La función lineal es la más sencilla. La m es la pendiente (cuánto sube o baja) y la n es donde corta al eje Y. Para encontrar los puntos de corte, haces y = 0 para el eje X, y x = 0 para el eje Y.
Las parábolas tienen forma de U (si a > 0) o de U invertida (si a < 0). Su vértice está en x = -b/2a, y desde ahí puedes calcular todo lo demás.
La función de proporcionalidad inversa tiene esa forma de hipérbola que nunca toca los ejes. Su dominio e imagen son ℝ - {0}.
Dato importante: Las funciones raíz y logaritmo tienen dominios limitados, pero son crecientes en todo su dominio.
Las funciones raíz empiezan en el origen y crecen despacio, mientras que los logaritmos cortan al eje X en (1,0) y crecen muy lentamente.
Nuestro compañero de IA está específicamente adaptado a las necesidades de los estudiantes. Basándonos en los millones de contenidos que tenemos en la plataforma, podemos dar a los estudiantes respuestas realmente significativas y relevantes. Pero no se trata solo de respuestas, el compañero también guía a los estudiantes a través de sus retos de aprendizaje diarios, con planes de aprendizaje personalizados, cuestionarios o contenidos en el chat y una personalización del 100% basada en las habilidades y el desarrollo de los estudiantes.
Puedes descargar la app en Google Play Store y Apple App Store.
Sí, tienes acceso gratuito a los contenidos de la aplicación y a nuestro compañero de IA. Para desbloquear determinadas funciones de la aplicación, puedes adquirir Knowunity Pro.
Sintexis de Lengua Castellana. Incluye las oraciones simples, los complementos y todas las oraciones compuestas
App Store
Google Play
La app es muy fácil de usar y está muy bien diseñada. Hasta ahora he encontrado todo lo que estaba buscando y he podido aprender mucho de las presentaciones. Definitivamente utilizaré la aplicación para un examen de clase. Y, por supuesto, también me sirve mucho de inspiración.
Pablo
usuario de iOS
Esta app es realmente genial. Hay tantos apuntes de clase y ayuda [...]. Tengo problemas con matemáticas, por ejemplo, y la aplicación tiene muchas opciones de ayuda. Gracias a Knowunity, he mejorado en mates. Se la recomiendo a todo el mundo.
Elena
usuaria de Android
Vaya, estoy realmente sorprendida. Acabo de probar la app porque la he visto anunciada muchas veces y me he quedado absolutamente alucinada. Esta app es LA AYUDA que quieres para el insti y, sobre todo, ofrece muchísimas cosas, como ejercicios y hojas informativas, que a mí personalmente me han sido MUY útiles.
Ana
usuaria de iOS
Está app es muy buena, tiene apuntes que son de mucha ayuda y su IA es fantástica, te explica a la perfección y muy fácil de entender lo que necesites, te ayuda con los deberes, te hace esquemas... en definitiva es una muy buena opción!
Sophia
usuario de Android
Me encanta!!! Me resuelve todo con detalle y me da la explicación correcta. Tiene un montón de funciones, ami me ha ido genial!! Os la recomiendo!!!
Marta
usuaria de Android
La uso casi diariamente, sirve para todas las asignaturas. Yo, por ejemplo la utilizo más en inglés porque se me da bastante mal, ¡Todas las respuestas están correctas! Consta con personas reales que suben sus apuntes y IA para que puedas hacer los deberes muchísimo más fácil, la recomiendo.
Izan
usuario de iOS
¡La app es buenísima! Sólo tengo que introducir el tema en la barra de búsqueda y recibo la respuesta muy rápido. No tengo que ver 10 vídeos de YouTube para entender algo, así que me ahorro tiempo. ¡Muy recomendable!
Sara
usuaria de Android
En el instituto era muy malo en matemáticas, pero gracias a la app, ahora saco mejores notas. Os agradezco mucho que hayáis creado la aplicación.
Roberto
usuario de Android
Esto no es como Chatgpt, es MUCHISMO MEJOR, te hace unos resúmenes espectaculares y gracias a esta app pase de sacar 5-6 a sacar 8-9.
Julyana
usuaria de Android
Es la mejor aplicación del mundo, la uso para revisar los deberes a mi hijo.
Javier
usuario de Android
LOS QUIZ Y FLASHCARDS SON SÚPER ÚTILES Y ME ENCANTA Knowunity IA. ADEMÁS ES LITERALMENTE COMO CHATGPT PERO MÁS LISTO!! ME AYUDÓ TAMBIÉN CON MIS PROBLEMAS DE MÁSCARA!! Y CON MIS ASIGNATURAS DE VERDAD! OBVIO 😍😁😲🤑💗✨🎀😮
Erick
usuario de Android
Me me encanta esta app, todo lo que tiene es de calidad ya que antes de ser publicado es revisado por un equipo de profesionales. Me ha ido genial esta aplicación ya que gracias a ella puedo estudiar mucho mejor, sin tener que agobiarme porque mi profesor no ha hecho teoría o porque no entiendo su teoría. Le doy un 10 de 10!
Mar
usuaria de iOS
La app es muy fácil de usar y está muy bien diseñada. Hasta ahora he encontrado todo lo que estaba buscando y he podido aprender mucho de las presentaciones. Definitivamente utilizaré la aplicación para un examen de clase. Y, por supuesto, también me sirve mucho de inspiración.
Pablo
usuario de iOS
Esta app es realmente genial. Hay tantos apuntes de clase y ayuda [...]. Tengo problemas con matemáticas, por ejemplo, y la aplicación tiene muchas opciones de ayuda. Gracias a Knowunity, he mejorado en mates. Se la recomiendo a todo el mundo.
Elena
usuaria de Android
Vaya, estoy realmente sorprendida. Acabo de probar la app porque la he visto anunciada muchas veces y me he quedado absolutamente alucinada. Esta app es LA AYUDA que quieres para el insti y, sobre todo, ofrece muchísimas cosas, como ejercicios y hojas informativas, que a mí personalmente me han sido MUY útiles.
Ana
usuaria de iOS
Está app es muy buena, tiene apuntes que son de mucha ayuda y su IA es fantástica, te explica a la perfección y muy fácil de entender lo que necesites, te ayuda con los deberes, te hace esquemas... en definitiva es una muy buena opción!
Sophia
usuario de Android
Me encanta!!! Me resuelve todo con detalle y me da la explicación correcta. Tiene un montón de funciones, ami me ha ido genial!! Os la recomiendo!!!
Marta
usuaria de Android
La uso casi diariamente, sirve para todas las asignaturas. Yo, por ejemplo la utilizo más en inglés porque se me da bastante mal, ¡Todas las respuestas están correctas! Consta con personas reales que suben sus apuntes y IA para que puedas hacer los deberes muchísimo más fácil, la recomiendo.
Izan
usuario de iOS
¡La app es buenísima! Sólo tengo que introducir el tema en la barra de búsqueda y recibo la respuesta muy rápido. No tengo que ver 10 vídeos de YouTube para entender algo, así que me ahorro tiempo. ¡Muy recomendable!
Sara
usuaria de Android
En el instituto era muy malo en matemáticas, pero gracias a la app, ahora saco mejores notas. Os agradezco mucho que hayáis creado la aplicación.
Roberto
usuario de Android
Esto no es como Chatgpt, es MUCHISMO MEJOR, te hace unos resúmenes espectaculares y gracias a esta app pase de sacar 5-6 a sacar 8-9.
Julyana
usuaria de Android
Es la mejor aplicación del mundo, la uso para revisar los deberes a mi hijo.
Javier
usuario de Android
LOS QUIZ Y FLASHCARDS SON SÚPER ÚTILES Y ME ENCANTA Knowunity IA. ADEMÁS ES LITERALMENTE COMO CHATGPT PERO MÁS LISTO!! ME AYUDÓ TAMBIÉN CON MIS PROBLEMAS DE MÁSCARA!! Y CON MIS ASIGNATURAS DE VERDAD! OBVIO 😍😁😲🤑💗✨🎀😮
Erick
usuario de Android
Me me encanta esta app, todo lo que tiene es de calidad ya que antes de ser publicado es revisado por un equipo de profesionales. Me ha ido genial esta aplicación ya que gracias a ella puedo estudiar mucho mejor, sin tener que agobiarme porque mi profesor no ha hecho teoría o porque no entiendo su teoría. Le doy un 10 de 10!
Mar
usuaria de iOS
¿Te lían las inecuaciones y funciones? Tranqui, que en realidad son más fáciles de lo que parecen. Aquí tienes todo lo que necesitas saber para dominar estos temas y aprobar sin sudores.

Acceso a todos los documentos
Mejora tus notas
Únete a millones de estudiantes
Las inecuaciones de primer grado se resuelven exactamente igual que las ecuaciones normales, pero con una regla de oro: cuando multiplicas o divides por un número negativo, el signo de la desigualdad se da la vuelta. Es súper importante acordarte de esto.
Por ejemplo, si tienes 2 - 3x ≤ -4, al pasar el -3 dividiendo (que es negativo), el ≤ se convierte en ≥. El resultado no es un número exacto como en las ecuaciones, sino un intervalo de soluciones.
Para las inecuaciones de segundo grado y con fracciones, lo que tienes que hacer es estudiar el signo. Igualas a cero, encuentras las raíces y miras dónde la función es positiva o negativa.
Tip clave: En las inecuaciones con fracciones, nunca olvides que el denominador no puede ser cero. Esos puntos quedan excluidos de la solución.
Los sistemas de inecuaciones son pan comido: resuelves cada inecuación por separado y luego buscas la zona donde se cumplen todas a la vez. Es como encontrar la intersección de varios intervalos.

Acceso a todos los documentos
Mejora tus notas
Únete a millones de estudiantes
Cuando tienes que resolver sistemas de inecuaciones gráficamente, lo que haces es representar cada recta y sombrear las zonas que cumplen las condiciones. Es como colorear por zonas, pero con matemáticas.
El truco está en sustituir un punto (normalmente el (0,0)) en la desigualdad para ver de qué lado de la recta tienes que sombrear. Si la desigualdad se cumple, ese lado es tu zona ganadora.
La región factible es donde se solapan todas las zonas sombreadas. Ahí está tu solución final.
Consejo: Siempre dibuja las rectas con línea continua si la desigualdad incluye la igualdad (≤ o ≥) y con línea discontinua si no la incluye (< o >).

Acceso a todos los documentos
Mejora tus notas
Únete a millones de estudiantes
El dominio de una función son todos los valores de x para los que la función tiene sentido. Es como saber en qué terreno puede caminar cada función sin caerse por un precipicio.
Las funciones polinómicas son las más cómodas: su dominio es todos los números reales (ℝ). No tienen restricciones, van a su bola.
Las funciones con denominador son más delicadas: no pueden tener el denominador igual a cero. Si tienes f(x) = 1/, entonces x no puede ser 2, así que D = ℝ - {2}.
Regla de oro: Con raíces de índice par, lo que está dentro debe ser ≥ 0. Con logaritmos, lo que está dentro debe ser > 0.
Las funciones exponenciales son súper relajadas: su dominio siempre es ℝ, a menos que tengan algo raro en el exponente.

Acceso a todos los documentos
Mejora tus notas
Únete a millones de estudiantes
La función lineal es la más sencilla. La m es la pendiente (cuánto sube o baja) y la n es donde corta al eje Y. Para encontrar los puntos de corte, haces y = 0 para el eje X, y x = 0 para el eje Y.
Las parábolas tienen forma de U (si a > 0) o de U invertida (si a < 0). Su vértice está en x = -b/2a, y desde ahí puedes calcular todo lo demás.
La función de proporcionalidad inversa tiene esa forma de hipérbola que nunca toca los ejes. Su dominio e imagen son ℝ - {0}.
Dato importante: Las funciones raíz y logaritmo tienen dominios limitados, pero son crecientes en todo su dominio.
Las funciones raíz empiezan en el origen y crecen despacio, mientras que los logaritmos cortan al eje X en (1,0) y crecen muy lentamente.
Nuestro compañero de IA está específicamente adaptado a las necesidades de los estudiantes. Basándonos en los millones de contenidos que tenemos en la plataforma, podemos dar a los estudiantes respuestas realmente significativas y relevantes. Pero no se trata solo de respuestas, el compañero también guía a los estudiantes a través de sus retos de aprendizaje diarios, con planes de aprendizaje personalizados, cuestionarios o contenidos en el chat y una personalización del 100% basada en las habilidades y el desarrollo de los estudiantes.
Puedes descargar la app en Google Play Store y Apple App Store.
Sí, tienes acceso gratuito a los contenidos de la aplicación y a nuestro compañero de IA. Para desbloquear determinadas funciones de la aplicación, puedes adquirir Knowunity Pro.
12
Herramientas Inteligentes NUEVO
Transforma estos apuntes en: ✓ 50+ Preguntas de Práctica ✓ Flashcards Interactivas ✓ Examen Completo de Práctica ✓ Esquemas de Ensayo
2. Números Reales 3. Números Complejos 4. Topología en R 5. Series y sucesiones
Los teoremas como : Bolzano, Rolle; están en el perfil.
Teoría
Derivadas, monotonía, crecimiento y decrecimiento, etc
6 apartados básicos de la derivabilidad.
Matemáticas del científic Apunts amb explicacions de les aplicacions a la derivada. Índex: -creixement i decreixement -màxims i mínims -problemes d'optimització -teorema de Bolzano -teorema de Rolle -teorema de l'Hopital
Sintexis de Lengua Castellana. Incluye las oraciones simples, los complementos y todas las oraciones compuestas
App Store
Google Play
La app es muy fácil de usar y está muy bien diseñada. Hasta ahora he encontrado todo lo que estaba buscando y he podido aprender mucho de las presentaciones. Definitivamente utilizaré la aplicación para un examen de clase. Y, por supuesto, también me sirve mucho de inspiración.
Pablo
usuario de iOS
Esta app es realmente genial. Hay tantos apuntes de clase y ayuda [...]. Tengo problemas con matemáticas, por ejemplo, y la aplicación tiene muchas opciones de ayuda. Gracias a Knowunity, he mejorado en mates. Se la recomiendo a todo el mundo.
Elena
usuaria de Android
Vaya, estoy realmente sorprendida. Acabo de probar la app porque la he visto anunciada muchas veces y me he quedado absolutamente alucinada. Esta app es LA AYUDA que quieres para el insti y, sobre todo, ofrece muchísimas cosas, como ejercicios y hojas informativas, que a mí personalmente me han sido MUY útiles.
Ana
usuaria de iOS
Está app es muy buena, tiene apuntes que son de mucha ayuda y su IA es fantástica, te explica a la perfección y muy fácil de entender lo que necesites, te ayuda con los deberes, te hace esquemas... en definitiva es una muy buena opción!
Sophia
usuario de Android
Me encanta!!! Me resuelve todo con detalle y me da la explicación correcta. Tiene un montón de funciones, ami me ha ido genial!! Os la recomiendo!!!
Marta
usuaria de Android
La uso casi diariamente, sirve para todas las asignaturas. Yo, por ejemplo la utilizo más en inglés porque se me da bastante mal, ¡Todas las respuestas están correctas! Consta con personas reales que suben sus apuntes y IA para que puedas hacer los deberes muchísimo más fácil, la recomiendo.
Izan
usuario de iOS
¡La app es buenísima! Sólo tengo que introducir el tema en la barra de búsqueda y recibo la respuesta muy rápido. No tengo que ver 10 vídeos de YouTube para entender algo, así que me ahorro tiempo. ¡Muy recomendable!
Sara
usuaria de Android
En el instituto era muy malo en matemáticas, pero gracias a la app, ahora saco mejores notas. Os agradezco mucho que hayáis creado la aplicación.
Roberto
usuario de Android
Esto no es como Chatgpt, es MUCHISMO MEJOR, te hace unos resúmenes espectaculares y gracias a esta app pase de sacar 5-6 a sacar 8-9.
Julyana
usuaria de Android
Es la mejor aplicación del mundo, la uso para revisar los deberes a mi hijo.
Javier
usuario de Android
LOS QUIZ Y FLASHCARDS SON SÚPER ÚTILES Y ME ENCANTA Knowunity IA. ADEMÁS ES LITERALMENTE COMO CHATGPT PERO MÁS LISTO!! ME AYUDÓ TAMBIÉN CON MIS PROBLEMAS DE MÁSCARA!! Y CON MIS ASIGNATURAS DE VERDAD! OBVIO 😍😁😲🤑💗✨🎀😮
Erick
usuario de Android
Me me encanta esta app, todo lo que tiene es de calidad ya que antes de ser publicado es revisado por un equipo de profesionales. Me ha ido genial esta aplicación ya que gracias a ella puedo estudiar mucho mejor, sin tener que agobiarme porque mi profesor no ha hecho teoría o porque no entiendo su teoría. Le doy un 10 de 10!
Mar
usuaria de iOS
La app es muy fácil de usar y está muy bien diseñada. Hasta ahora he encontrado todo lo que estaba buscando y he podido aprender mucho de las presentaciones. Definitivamente utilizaré la aplicación para un examen de clase. Y, por supuesto, también me sirve mucho de inspiración.
Pablo
usuario de iOS
Esta app es realmente genial. Hay tantos apuntes de clase y ayuda [...]. Tengo problemas con matemáticas, por ejemplo, y la aplicación tiene muchas opciones de ayuda. Gracias a Knowunity, he mejorado en mates. Se la recomiendo a todo el mundo.
Elena
usuaria de Android
Vaya, estoy realmente sorprendida. Acabo de probar la app porque la he visto anunciada muchas veces y me he quedado absolutamente alucinada. Esta app es LA AYUDA que quieres para el insti y, sobre todo, ofrece muchísimas cosas, como ejercicios y hojas informativas, que a mí personalmente me han sido MUY útiles.
Ana
usuaria de iOS
Está app es muy buena, tiene apuntes que son de mucha ayuda y su IA es fantástica, te explica a la perfección y muy fácil de entender lo que necesites, te ayuda con los deberes, te hace esquemas... en definitiva es una muy buena opción!
Sophia
usuario de Android
Me encanta!!! Me resuelve todo con detalle y me da la explicación correcta. Tiene un montón de funciones, ami me ha ido genial!! Os la recomiendo!!!
Marta
usuaria de Android
La uso casi diariamente, sirve para todas las asignaturas. Yo, por ejemplo la utilizo más en inglés porque se me da bastante mal, ¡Todas las respuestas están correctas! Consta con personas reales que suben sus apuntes y IA para que puedas hacer los deberes muchísimo más fácil, la recomiendo.
Izan
usuario de iOS
¡La app es buenísima! Sólo tengo que introducir el tema en la barra de búsqueda y recibo la respuesta muy rápido. No tengo que ver 10 vídeos de YouTube para entender algo, así que me ahorro tiempo. ¡Muy recomendable!
Sara
usuaria de Android
En el instituto era muy malo en matemáticas, pero gracias a la app, ahora saco mejores notas. Os agradezco mucho que hayáis creado la aplicación.
Roberto
usuario de Android
Esto no es como Chatgpt, es MUCHISMO MEJOR, te hace unos resúmenes espectaculares y gracias a esta app pase de sacar 5-6 a sacar 8-9.
Julyana
usuaria de Android
Es la mejor aplicación del mundo, la uso para revisar los deberes a mi hijo.
Javier
usuario de Android
LOS QUIZ Y FLASHCARDS SON SÚPER ÚTILES Y ME ENCANTA Knowunity IA. ADEMÁS ES LITERALMENTE COMO CHATGPT PERO MÁS LISTO!! ME AYUDÓ TAMBIÉN CON MIS PROBLEMAS DE MÁSCARA!! Y CON MIS ASIGNATURAS DE VERDAD! OBVIO 😍😁😲🤑💗✨🎀😮
Erick
usuario de Android
Me me encanta esta app, todo lo que tiene es de calidad ya que antes de ser publicado es revisado por un equipo de profesionales. Me ha ido genial esta aplicación ya que gracias a ella puedo estudiar mucho mejor, sin tener que agobiarme porque mi profesor no ha hecho teoría o porque no entiendo su teoría. Le doy un 10 de 10!
Mar
usuaria de iOS