Este resumen abarca ejercicios matemáticos de nivel Bachillerato, enfocados en... Mostrar más
Inscríbete para ver los apuntes¡Es gratis!
Acceso a todos los documentos
Mejora tus notas
Únete a millones de estudiantes
Knowunity AI
Asignaturas
Triangle Congruence and Similarity Theorems
Triangle Properties and Classification
Linear Equations and Graphs
Geometric Angle Relationships
Trigonometric Functions and Identities
Equation Solving Techniques
Circle Geometry Fundamentals
Division Operations and Methods
Basic Differentiation Rules
Exponent and Logarithm Properties
Mostrar todos los temas
Human Organ Systems
Reproductive Cell Cycles
Biological Sciences Subdisciplines
Cellular Energy Metabolism
Autotrophic Energy Processes
Inheritance Patterns and Principles
Biomolecular Structure and Organization
Cell Cycle and Division Mechanics
Cellular Organization and Development
Biological Structural Organization
Mostrar todos los temas
Chemical Sciences and Applications
Atomic Structure and Composition
Molecular Electron Structure Representation
Atomic Electron Behavior
Matter Properties and Water
Mole Concept and Calculations
Gas Laws and Behavior
Periodic Table Organization
Chemical Thermodynamics Fundamentals
Chemical Bond Types and Properties
Mostrar todos los temas
European Renaissance and Enlightenment
European Cultural Movements 800-1920
American Revolution Era 1763-1797
American Civil War 1861-1865
Global Imperial Systems
Mongol and Chinese Dynasties
U.S. Presidents and World Leaders
Historical Sources and Documentation
World Wars Era and Impact
World Religious Systems
Mostrar todos los temas
Classic and Contemporary Novels
Literary Character Analysis
Rhetorical Theory and Practice
Classic Literary Narratives
Reading Analysis and Interpretation
Narrative Structure and Techniques
English Language Components
Influential English-Language Authors
Basic Sentence Structure
Narrative Voice and Perspective
Mostrar todos los temas
783
•
Actualizado Mar 22, 2026
•
Eyenga Yol Bompongo Abellà
@eyengayolbompongoabell_qfhj
Este resumen abarca ejercicios matemáticos de nivel Bachillerato, enfocados en... Mostrar más





Las fracciones son fundamentales en matemáticas y necesitas saber manipularlas correctamente. En esta sección trabajamos con operaciones combinadas y simplificación de expresiones.
Al operar con fracciones, recuerda seguir el orden correcto de operaciones: primero paréntesis, luego potencias, multiplicación y división, y finalmente suma y resta. Es importante convertir todas las fracciones al mismo denominador antes de sumarlas o restarlas.
Para simplificar expresiones con potencias, descompón cada número en sus factores primos y agrupa los términos con la misma base. Luego suma o resta los exponentes según la operación. Cuando trabajas con variables, aplica el mismo principio para los coeficientes y las letras.
💡 Consejo práctico: Cuando veas una fracción con potencias, descompón primero cada número en sus factores primos y luego aplica las propiedades de potencias. ¡Esto hará que la simplificación sea mucho más clara!

Las matemáticas no son solo números abstractos, sino herramientas para resolver problemas cotidianos. Aquí vemos aplicaciones prácticas y operaciones matriciales.
Las matrices requieren un enfoque ordenado: identifica primero las dimensiones y aplica las reglas de operaciones matriciales paso a paso. Recuerda que el orden es importante en la multiplicación de matrices.
Los porcentajes aparecen constantemente en situaciones reales. Para calcular el aumento de un precio, suma el porcentaje a 100% (por ejemplo, un aumento del 15% significa multiplicar por 1,15). Para un descuento, resta el porcentaje de 100% (un descuento del 14% significa multiplicar por 0,86).
En los problemas con fracciones, traduce las situaciones a ecuaciones, manteniendo claridad sobre qué representa cada parte. Por ejemplo, si una epidemia reduce un rebaño en ⅝, significa que sobrevive ⅜ del rebaño original.
💡 Truco para porcentajes: Para calcular rápidamente cuál era el precio original tras un descuento, divide el precio final entre . Por ejemplo: 4988 ÷ 0,86 = 5800€.

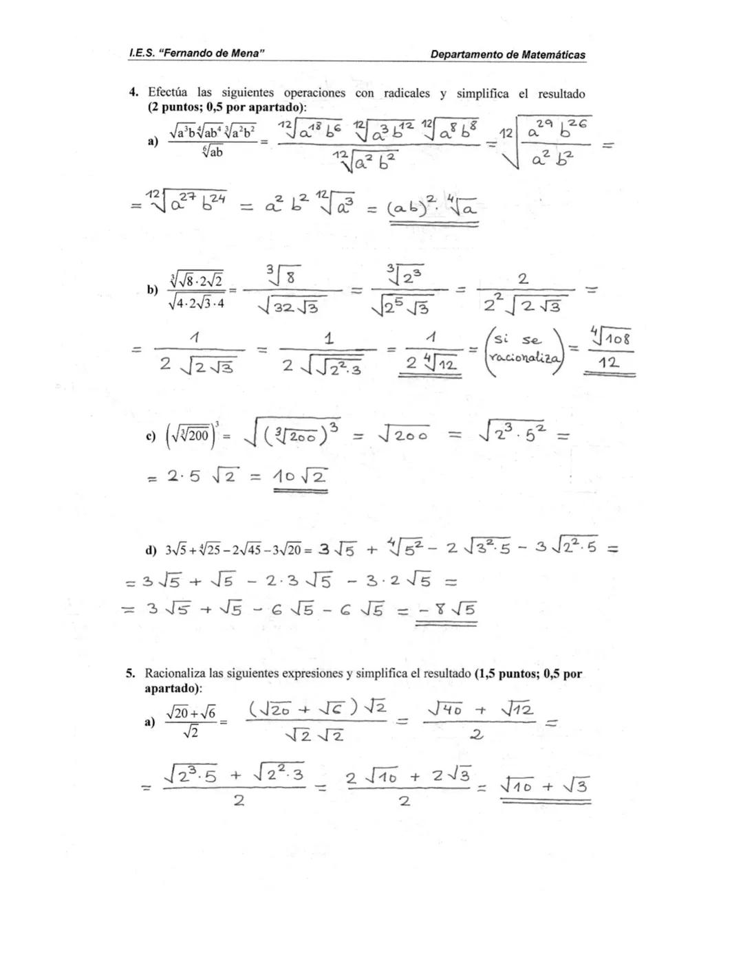
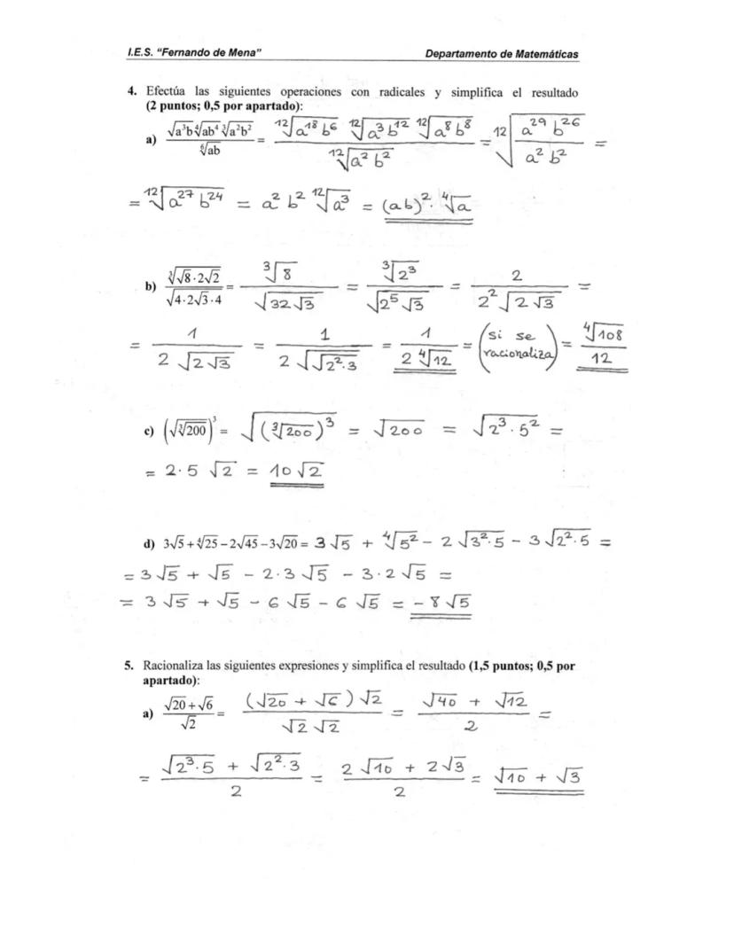
Los radicales pueden parecer intimidantes, pero siguiendo algunas reglas básicas puedes dominarlos con facilidad. Vamos a ver cómo operarlos y simplificarlos.
Al multiplicar radicales, puedes multiplicar directamente lo que hay dentro de cada raíz si tienen el mismo índice. Por ejemplo: √a · √b = √(ab). Para dividirlos, aplica una lógica similar: √a ÷ √b = √.
Para simplificar radicales, busca factores perfectos dentro de la raíz. Por ejemplo, √8 = √(4·2) = 2√2. Cuando tienes raíces dentro de raíces, aplica las propiedades de potencias, recordando que √√a = a^(1/4).
Al sumar o restar radicales, asegúrate de que tengan la misma parte irracional. Por ejemplo, 3√5 + 5√5 = 8√5, pero 3√5 + 2√3 no se puede simplificar más.
💡 Consejo útil: Para simplificar radicales complejos, primero descompón en factores primos los números dentro de la raíz. Por ejemplo, √200 = √(2³·5²) = 2·5·√2 = 10√2. Esto hace mucho más sencillo todo el proceso.

El álgebra avanzada combina varias técnicas que te permiten manipular expresiones complejas. Estas habilidades son esenciales para cálculo y otras matemáticas superiores.
La racionalización consiste en eliminar raíces del denominador multiplicando numerador y denominador por la misma expresión. Si el denominador es √a, multiplica por √a. Si es , multiplica por para aprovechar la diferencia de cuadrados.
Para factorizar polinomios puedes usar la división sintética o Ruffini. Primero identifica una posible raíz, divide el polinomio por , y continúa el proceso con el cociente resultante hasta llegar a un factor cuadrático o lineal.
Las fracciones algebraicas se operan similar a las fracciones numéricas. Para sumarlas, encuentra un denominador común, convierte cada fracción, y luego suma los numeradores. Al final, simplifica el resultado factorizando numerador y denominador.
💡 Atajo de factorización: Si al aplicar Ruffini obtienes un resto de cero, has encontrado una raíz. El polinomio es divisible por y puedes seguir factorizando el cociente resultante.
Nuestro compañero de IA está específicamente adaptado a las necesidades de los estudiantes. Basándonos en los millones de contenidos que tenemos en la plataforma, podemos dar a los estudiantes respuestas realmente significativas y relevantes. Pero no se trata solo de respuestas, el compañero también guía a los estudiantes a través de sus retos de aprendizaje diarios, con planes de aprendizaje personalizados, cuestionarios o contenidos en el chat y una personalización del 100% basada en las habilidades y el desarrollo de los estudiantes.
Puedes descargar la app en Google Play Store y Apple App Store.
Sí, tienes acceso gratuito a los contenidos de la aplicación y a nuestro compañero de IA. Para desbloquear determinadas funciones de la aplicación, puedes adquirir Knowunity Pro.
Sintexis de Lengua Castellana. Incluye las oraciones simples, los complementos y todas las oraciones compuestas
App Store
Google Play
La app es muy fácil de usar y está muy bien diseñada. Hasta ahora he encontrado todo lo que estaba buscando y he podido aprender mucho de las presentaciones. Definitivamente utilizaré la aplicación para un examen de clase. Y, por supuesto, también me sirve mucho de inspiración.
Pablo
usuario de iOS
Esta app es realmente genial. Hay tantos apuntes de clase y ayuda [...]. Tengo problemas con matemáticas, por ejemplo, y la aplicación tiene muchas opciones de ayuda. Gracias a Knowunity, he mejorado en mates. Se la recomiendo a todo el mundo.
Elena
usuaria de Android
Vaya, estoy realmente sorprendida. Acabo de probar la app porque la he visto anunciada muchas veces y me he quedado absolutamente alucinada. Esta app es LA AYUDA que quieres para el insti y, sobre todo, ofrece muchísimas cosas, como ejercicios y hojas informativas, que a mí personalmente me han sido MUY útiles.
Ana
usuaria de iOS
Está app es muy buena, tiene apuntes que son de mucha ayuda y su IA es fantástica, te explica a la perfección y muy fácil de entender lo que necesites, te ayuda con los deberes, te hace esquemas... en definitiva es una muy buena opción!
Sophia
usuario de Android
Me encanta!!! Me resuelve todo con detalle y me da la explicación correcta. Tiene un montón de funciones, ami me ha ido genial!! Os la recomiendo!!!
Marta
usuaria de Android
La uso casi diariamente, sirve para todas las asignaturas. Yo, por ejemplo la utilizo más en inglés porque se me da bastante mal, ¡Todas las respuestas están correctas! Consta con personas reales que suben sus apuntes y IA para que puedas hacer los deberes muchísimo más fácil, la recomiendo.
Izan
usuario de iOS
¡La app es buenísima! Sólo tengo que introducir el tema en la barra de búsqueda y recibo la respuesta muy rápido. No tengo que ver 10 vídeos de YouTube para entender algo, así que me ahorro tiempo. ¡Muy recomendable!
Sara
usuaria de Android
En el instituto era muy malo en matemáticas, pero gracias a la app, ahora saco mejores notas. Os agradezco mucho que hayáis creado la aplicación.
Roberto
usuario de Android
Esto no es como Chatgpt, es MUCHISMO MEJOR, te hace unos resúmenes espectaculares y gracias a esta app pase de sacar 5-6 a sacar 8-9.
Julyana
usuaria de Android
Es la mejor aplicación del mundo, la uso para revisar los deberes a mi hijo.
Javier
usuario de Android
LOS QUIZ Y FLASHCARDS SON SÚPER ÚTILES Y ME ENCANTA Knowunity IA. ADEMÁS ES LITERALMENTE COMO CHATGPT PERO MÁS LISTO!! ME AYUDÓ TAMBIÉN CON MIS PROBLEMAS DE MÁSCARA!! Y CON MIS ASIGNATURAS DE VERDAD! OBVIO 😍😁😲🤑💗✨🎀😮
Erick
usuario de Android
Me me encanta esta app, todo lo que tiene es de calidad ya que antes de ser publicado es revisado por un equipo de profesionales. Me ha ido genial esta aplicación ya que gracias a ella puedo estudiar mucho mejor, sin tener que agobiarme porque mi profesor no ha hecho teoría o porque no entiendo su teoría. Le doy un 10 de 10!
Mar
usuaria de iOS
La app es muy fácil de usar y está muy bien diseñada. Hasta ahora he encontrado todo lo que estaba buscando y he podido aprender mucho de las presentaciones. Definitivamente utilizaré la aplicación para un examen de clase. Y, por supuesto, también me sirve mucho de inspiración.
Pablo
usuario de iOS
Esta app es realmente genial. Hay tantos apuntes de clase y ayuda [...]. Tengo problemas con matemáticas, por ejemplo, y la aplicación tiene muchas opciones de ayuda. Gracias a Knowunity, he mejorado en mates. Se la recomiendo a todo el mundo.
Elena
usuaria de Android
Vaya, estoy realmente sorprendida. Acabo de probar la app porque la he visto anunciada muchas veces y me he quedado absolutamente alucinada. Esta app es LA AYUDA que quieres para el insti y, sobre todo, ofrece muchísimas cosas, como ejercicios y hojas informativas, que a mí personalmente me han sido MUY útiles.
Ana
usuaria de iOS
Está app es muy buena, tiene apuntes que son de mucha ayuda y su IA es fantástica, te explica a la perfección y muy fácil de entender lo que necesites, te ayuda con los deberes, te hace esquemas... en definitiva es una muy buena opción!
Sophia
usuario de Android
Me encanta!!! Me resuelve todo con detalle y me da la explicación correcta. Tiene un montón de funciones, ami me ha ido genial!! Os la recomiendo!!!
Marta
usuaria de Android
La uso casi diariamente, sirve para todas las asignaturas. Yo, por ejemplo la utilizo más en inglés porque se me da bastante mal, ¡Todas las respuestas están correctas! Consta con personas reales que suben sus apuntes y IA para que puedas hacer los deberes muchísimo más fácil, la recomiendo.
Izan
usuario de iOS
¡La app es buenísima! Sólo tengo que introducir el tema en la barra de búsqueda y recibo la respuesta muy rápido. No tengo que ver 10 vídeos de YouTube para entender algo, así que me ahorro tiempo. ¡Muy recomendable!
Sara
usuaria de Android
En el instituto era muy malo en matemáticas, pero gracias a la app, ahora saco mejores notas. Os agradezco mucho que hayáis creado la aplicación.
Roberto
usuario de Android
Esto no es como Chatgpt, es MUCHISMO MEJOR, te hace unos resúmenes espectaculares y gracias a esta app pase de sacar 5-6 a sacar 8-9.
Julyana
usuaria de Android
Es la mejor aplicación del mundo, la uso para revisar los deberes a mi hijo.
Javier
usuario de Android
LOS QUIZ Y FLASHCARDS SON SÚPER ÚTILES Y ME ENCANTA Knowunity IA. ADEMÁS ES LITERALMENTE COMO CHATGPT PERO MÁS LISTO!! ME AYUDÓ TAMBIÉN CON MIS PROBLEMAS DE MÁSCARA!! Y CON MIS ASIGNATURAS DE VERDAD! OBVIO 😍😁😲🤑💗✨🎀😮
Erick
usuario de Android
Me me encanta esta app, todo lo que tiene es de calidad ya que antes de ser publicado es revisado por un equipo de profesionales. Me ha ido genial esta aplicación ya que gracias a ella puedo estudiar mucho mejor, sin tener que agobiarme porque mi profesor no ha hecho teoría o porque no entiendo su teoría. Le doy un 10 de 10!
Mar
usuaria de iOS
Eyenga Yol Bompongo Abellà
@eyengayolbompongoabell_qfhj
Este resumen abarca ejercicios matemáticos de nivel Bachillerato, enfocados en operaciones con fracciones, radicales, polinomios y simplificación algebraica. Te ayudará a dominar estos conceptos clave para tus exámenes de matemáticas.

Acceso a todos los documentos
Mejora tus notas
Únete a millones de estudiantes
Las fracciones son fundamentales en matemáticas y necesitas saber manipularlas correctamente. En esta sección trabajamos con operaciones combinadas y simplificación de expresiones.
Al operar con fracciones, recuerda seguir el orden correcto de operaciones: primero paréntesis, luego potencias, multiplicación y división, y finalmente suma y resta. Es importante convertir todas las fracciones al mismo denominador antes de sumarlas o restarlas.
Para simplificar expresiones con potencias, descompón cada número en sus factores primos y agrupa los términos con la misma base. Luego suma o resta los exponentes según la operación. Cuando trabajas con variables, aplica el mismo principio para los coeficientes y las letras.
💡 Consejo práctico: Cuando veas una fracción con potencias, descompón primero cada número en sus factores primos y luego aplica las propiedades de potencias. ¡Esto hará que la simplificación sea mucho más clara!

Acceso a todos los documentos
Mejora tus notas
Únete a millones de estudiantes
Las matemáticas no son solo números abstractos, sino herramientas para resolver problemas cotidianos. Aquí vemos aplicaciones prácticas y operaciones matriciales.
Las matrices requieren un enfoque ordenado: identifica primero las dimensiones y aplica las reglas de operaciones matriciales paso a paso. Recuerda que el orden es importante en la multiplicación de matrices.
Los porcentajes aparecen constantemente en situaciones reales. Para calcular el aumento de un precio, suma el porcentaje a 100% (por ejemplo, un aumento del 15% significa multiplicar por 1,15). Para un descuento, resta el porcentaje de 100% (un descuento del 14% significa multiplicar por 0,86).
En los problemas con fracciones, traduce las situaciones a ecuaciones, manteniendo claridad sobre qué representa cada parte. Por ejemplo, si una epidemia reduce un rebaño en ⅝, significa que sobrevive ⅜ del rebaño original.
💡 Truco para porcentajes: Para calcular rápidamente cuál era el precio original tras un descuento, divide el precio final entre . Por ejemplo: 4988 ÷ 0,86 = 5800€.

Acceso a todos los documentos
Mejora tus notas
Únete a millones de estudiantes
Los radicales pueden parecer intimidantes, pero siguiendo algunas reglas básicas puedes dominarlos con facilidad. Vamos a ver cómo operarlos y simplificarlos.
Al multiplicar radicales, puedes multiplicar directamente lo que hay dentro de cada raíz si tienen el mismo índice. Por ejemplo: √a · √b = √(ab). Para dividirlos, aplica una lógica similar: √a ÷ √b = √.
Para simplificar radicales, busca factores perfectos dentro de la raíz. Por ejemplo, √8 = √(4·2) = 2√2. Cuando tienes raíces dentro de raíces, aplica las propiedades de potencias, recordando que √√a = a^(1/4).
Al sumar o restar radicales, asegúrate de que tengan la misma parte irracional. Por ejemplo, 3√5 + 5√5 = 8√5, pero 3√5 + 2√3 no se puede simplificar más.
💡 Consejo útil: Para simplificar radicales complejos, primero descompón en factores primos los números dentro de la raíz. Por ejemplo, √200 = √(2³·5²) = 2·5·√2 = 10√2. Esto hace mucho más sencillo todo el proceso.

Acceso a todos los documentos
Mejora tus notas
Únete a millones de estudiantes
El álgebra avanzada combina varias técnicas que te permiten manipular expresiones complejas. Estas habilidades son esenciales para cálculo y otras matemáticas superiores.
La racionalización consiste en eliminar raíces del denominador multiplicando numerador y denominador por la misma expresión. Si el denominador es √a, multiplica por √a. Si es , multiplica por para aprovechar la diferencia de cuadrados.
Para factorizar polinomios puedes usar la división sintética o Ruffini. Primero identifica una posible raíz, divide el polinomio por , y continúa el proceso con el cociente resultante hasta llegar a un factor cuadrático o lineal.
Las fracciones algebraicas se operan similar a las fracciones numéricas. Para sumarlas, encuentra un denominador común, convierte cada fracción, y luego suma los numeradores. Al final, simplifica el resultado factorizando numerador y denominador.
💡 Atajo de factorización: Si al aplicar Ruffini obtienes un resto de cero, has encontrado una raíz. El polinomio es divisible por y puedes seguir factorizando el cociente resultante.
Nuestro compañero de IA está específicamente adaptado a las necesidades de los estudiantes. Basándonos en los millones de contenidos que tenemos en la plataforma, podemos dar a los estudiantes respuestas realmente significativas y relevantes. Pero no se trata solo de respuestas, el compañero también guía a los estudiantes a través de sus retos de aprendizaje diarios, con planes de aprendizaje personalizados, cuestionarios o contenidos en el chat y una personalización del 100% basada en las habilidades y el desarrollo de los estudiantes.
Puedes descargar la app en Google Play Store y Apple App Store.
Sí, tienes acceso gratuito a los contenidos de la aplicación y a nuestro compañero de IA. Para desbloquear determinadas funciones de la aplicación, puedes adquirir Knowunity Pro.
10
Herramientas Inteligentes NUEVO
Transforma estos apuntes en: ✓ 50+ Preguntas de Práctica ✓ Flashcards Interactivas ✓ Examen Completo de Práctica ✓ Esquemas de Ensayo
Trimestral( ecuaciones, inecuaciones, logaritmos…)
Análisis matemáticas 2º de Bachillerato selectividad EBAU EVAU matematicas
Ecuaciones , sistemas e inecuaciones
Resolución de ejercicios de intervalos y representación gráfica de conjuntos de números reales.
Examen resuelto del tema Ecuaciones. Inecuaciones. Sistemas. Problemas 2 de Matemáticas de 1o y 2o de Bachillerato, para preparar bien la selectividad. La primera pagina es el examen, las siguientes la corrección
Números y álgebra matemáticas 2º de Bachillerato selectividad EBAU EVAU matematicas
Sintexis de Lengua Castellana. Incluye las oraciones simples, los complementos y todas las oraciones compuestas
App Store
Google Play
La app es muy fácil de usar y está muy bien diseñada. Hasta ahora he encontrado todo lo que estaba buscando y he podido aprender mucho de las presentaciones. Definitivamente utilizaré la aplicación para un examen de clase. Y, por supuesto, también me sirve mucho de inspiración.
Pablo
usuario de iOS
Esta app es realmente genial. Hay tantos apuntes de clase y ayuda [...]. Tengo problemas con matemáticas, por ejemplo, y la aplicación tiene muchas opciones de ayuda. Gracias a Knowunity, he mejorado en mates. Se la recomiendo a todo el mundo.
Elena
usuaria de Android
Vaya, estoy realmente sorprendida. Acabo de probar la app porque la he visto anunciada muchas veces y me he quedado absolutamente alucinada. Esta app es LA AYUDA que quieres para el insti y, sobre todo, ofrece muchísimas cosas, como ejercicios y hojas informativas, que a mí personalmente me han sido MUY útiles.
Ana
usuaria de iOS
Está app es muy buena, tiene apuntes que son de mucha ayuda y su IA es fantástica, te explica a la perfección y muy fácil de entender lo que necesites, te ayuda con los deberes, te hace esquemas... en definitiva es una muy buena opción!
Sophia
usuario de Android
Me encanta!!! Me resuelve todo con detalle y me da la explicación correcta. Tiene un montón de funciones, ami me ha ido genial!! Os la recomiendo!!!
Marta
usuaria de Android
La uso casi diariamente, sirve para todas las asignaturas. Yo, por ejemplo la utilizo más en inglés porque se me da bastante mal, ¡Todas las respuestas están correctas! Consta con personas reales que suben sus apuntes y IA para que puedas hacer los deberes muchísimo más fácil, la recomiendo.
Izan
usuario de iOS
¡La app es buenísima! Sólo tengo que introducir el tema en la barra de búsqueda y recibo la respuesta muy rápido. No tengo que ver 10 vídeos de YouTube para entender algo, así que me ahorro tiempo. ¡Muy recomendable!
Sara
usuaria de Android
En el instituto era muy malo en matemáticas, pero gracias a la app, ahora saco mejores notas. Os agradezco mucho que hayáis creado la aplicación.
Roberto
usuario de Android
Esto no es como Chatgpt, es MUCHISMO MEJOR, te hace unos resúmenes espectaculares y gracias a esta app pase de sacar 5-6 a sacar 8-9.
Julyana
usuaria de Android
Es la mejor aplicación del mundo, la uso para revisar los deberes a mi hijo.
Javier
usuario de Android
LOS QUIZ Y FLASHCARDS SON SÚPER ÚTILES Y ME ENCANTA Knowunity IA. ADEMÁS ES LITERALMENTE COMO CHATGPT PERO MÁS LISTO!! ME AYUDÓ TAMBIÉN CON MIS PROBLEMAS DE MÁSCARA!! Y CON MIS ASIGNATURAS DE VERDAD! OBVIO 😍😁😲🤑💗✨🎀😮
Erick
usuario de Android
Me me encanta esta app, todo lo que tiene es de calidad ya que antes de ser publicado es revisado por un equipo de profesionales. Me ha ido genial esta aplicación ya que gracias a ella puedo estudiar mucho mejor, sin tener que agobiarme porque mi profesor no ha hecho teoría o porque no entiendo su teoría. Le doy un 10 de 10!
Mar
usuaria de iOS
La app es muy fácil de usar y está muy bien diseñada. Hasta ahora he encontrado todo lo que estaba buscando y he podido aprender mucho de las presentaciones. Definitivamente utilizaré la aplicación para un examen de clase. Y, por supuesto, también me sirve mucho de inspiración.
Pablo
usuario de iOS
Esta app es realmente genial. Hay tantos apuntes de clase y ayuda [...]. Tengo problemas con matemáticas, por ejemplo, y la aplicación tiene muchas opciones de ayuda. Gracias a Knowunity, he mejorado en mates. Se la recomiendo a todo el mundo.
Elena
usuaria de Android
Vaya, estoy realmente sorprendida. Acabo de probar la app porque la he visto anunciada muchas veces y me he quedado absolutamente alucinada. Esta app es LA AYUDA que quieres para el insti y, sobre todo, ofrece muchísimas cosas, como ejercicios y hojas informativas, que a mí personalmente me han sido MUY útiles.
Ana
usuaria de iOS
Está app es muy buena, tiene apuntes que son de mucha ayuda y su IA es fantástica, te explica a la perfección y muy fácil de entender lo que necesites, te ayuda con los deberes, te hace esquemas... en definitiva es una muy buena opción!
Sophia
usuario de Android
Me encanta!!! Me resuelve todo con detalle y me da la explicación correcta. Tiene un montón de funciones, ami me ha ido genial!! Os la recomiendo!!!
Marta
usuaria de Android
La uso casi diariamente, sirve para todas las asignaturas. Yo, por ejemplo la utilizo más en inglés porque se me da bastante mal, ¡Todas las respuestas están correctas! Consta con personas reales que suben sus apuntes y IA para que puedas hacer los deberes muchísimo más fácil, la recomiendo.
Izan
usuario de iOS
¡La app es buenísima! Sólo tengo que introducir el tema en la barra de búsqueda y recibo la respuesta muy rápido. No tengo que ver 10 vídeos de YouTube para entender algo, así que me ahorro tiempo. ¡Muy recomendable!
Sara
usuaria de Android
En el instituto era muy malo en matemáticas, pero gracias a la app, ahora saco mejores notas. Os agradezco mucho que hayáis creado la aplicación.
Roberto
usuario de Android
Esto no es como Chatgpt, es MUCHISMO MEJOR, te hace unos resúmenes espectaculares y gracias a esta app pase de sacar 5-6 a sacar 8-9.
Julyana
usuaria de Android
Es la mejor aplicación del mundo, la uso para revisar los deberes a mi hijo.
Javier
usuario de Android
LOS QUIZ Y FLASHCARDS SON SÚPER ÚTILES Y ME ENCANTA Knowunity IA. ADEMÁS ES LITERALMENTE COMO CHATGPT PERO MÁS LISTO!! ME AYUDÓ TAMBIÉN CON MIS PROBLEMAS DE MÁSCARA!! Y CON MIS ASIGNATURAS DE VERDAD! OBVIO 😍😁😲🤑💗✨🎀😮
Erick
usuario de Android
Me me encanta esta app, todo lo que tiene es de calidad ya que antes de ser publicado es revisado por un equipo de profesionales. Me ha ido genial esta aplicación ya que gracias a ella puedo estudiar mucho mejor, sin tener que agobiarme porque mi profesor no ha hecho teoría o porque no entiendo su teoría. Le doy un 10 de 10!
Mar
usuaria de iOS