La estadística te permite analizar datos del mundo real y... Mostrar más
Inscríbete para ver los apuntes¡Es gratis!
Acceso a todos los documentos
Mejora tus notas
Únete a millones de estudiantes
Knowunity AI
Asignaturas
Triangle Congruence and Similarity Theorems
Triangle Properties and Classification
Linear Equations and Graphs
Geometric Angle Relationships
Trigonometric Functions and Identities
Equation Solving Techniques
Circle Geometry Fundamentals
Division Operations and Methods
Basic Differentiation Rules
Exponent and Logarithm Properties
Mostrar todos los temas
Human Organ Systems
Reproductive Cell Cycles
Biological Sciences Subdisciplines
Cellular Energy Metabolism
Autotrophic Energy Processes
Inheritance Patterns and Principles
Biomolecular Structure and Organization
Cell Cycle and Division Mechanics
Cellular Organization and Development
Biological Structural Organization
Mostrar todos los temas
Chemical Sciences and Applications
Atomic Structure and Composition
Molecular Electron Structure Representation
Atomic Electron Behavior
Matter Properties and Water
Mole Concept and Calculations
Gas Laws and Behavior
Periodic Table Organization
Chemical Thermodynamics Fundamentals
Chemical Bond Types and Properties
Mostrar todos los temas
European Renaissance and Enlightenment
European Cultural Movements 800-1920
American Revolution Era 1763-1797
American Civil War 1861-1865
Global Imperial Systems
Mongol and Chinese Dynasties
U.S. Presidents and World Leaders
Historical Sources and Documentation
World Wars Era and Impact
World Religious Systems
Mostrar todos los temas
Classic and Contemporary Novels
Literary Character Analysis
Rhetorical Theory and Practice
Classic Literary Narratives
Reading Analysis and Interpretation
Narrative Structure and Techniques
English Language Components
Influential English-Language Authors
Basic Sentence Structure
Narrative Voice and Perspective
Mostrar todos los temas
1,116
•
Actualizado May 11, 2026
•
Paula López Aguilar
@paula__.15
La estadística te permite analizar datos del mundo real y... Mostrar más





¿Alguna vez te has preguntado cómo funcionan las encuestas o cómo Netflix sabe qué serie recomendarte? Todo empieza con entender la diferencia entre población y muestra.
La población incluye todos los individuos que quieres estudiar, mientras que la muestra es solo el grupo seleccionado para el análisis. Es como si quisieras conocer la opinión de todos los estudiantes de España - sería imposible preguntarles a todos, así que eliges una muestra representativa.
Las variables pueden ser cuantitativas (números, como la altura) o cualitativas (categorías, como el color favorito). También pueden ser discretas (valores finitos, como el número de hermanos) o continuas (infinitos valores posibles, como el peso).
💡 Tip clave: El tipo de muestreo determina qué tan fiables son tus resultados. El muestreo aleatorio es el más objetivo, mientras que el estratificado te permite dividir tu población según características específicas.

Los números por sí solos no dicen mucho - necesitas calcular parámetros que te den información útil. La esperanza o media (μ) te dice el valor promedio esperado, mientras que la varianza (σ²) mide qué tan dispersos están los datos.
Para variables discretas, calculas la esperanza sumando cada valor multiplicado por su probabilidad: E(x) = Σ xi · P(xi). La desviación típica (σ) es la raíz cuadrada de la varianza y te da una medida más interpretable de la dispersión.
La distribución normal es tu mejor aliada - muchos fenómenos naturales la siguen. Se representa como N(μ, σ) y tiene esa característica forma de campana. La distribución normal estándar tiene media 0 y desviación típica 1.
💡 Recuerda: En la distribución normal, aproximadamente el 68% de los datos están dentro de una desviación típica de la media, y el 95% dentro de dos desviaciones típicas.

La tipificación te permite comparar datos de diferentes escalas transformándolos a la distribución normal estándar. La fórmula mágica es Z = /σ, que convierte cualquier valor en su equivalente estandarizado.
Cuando trabajas con medias muestrales, la distribución sigue siendo normal pero con menor variabilidad: X̄ ~ N. Esto significa que cuanto mayor sea tu muestra, más precisa será tu estimación.
Para proporciones muestrales, usas p̂ ~ N. Por ejemplo, si el 70% de estudiantes aprueban matemáticas y tomas una muestra de 25 alumnos, puedes calcular la probabilidad de que más del 75% apruebe.
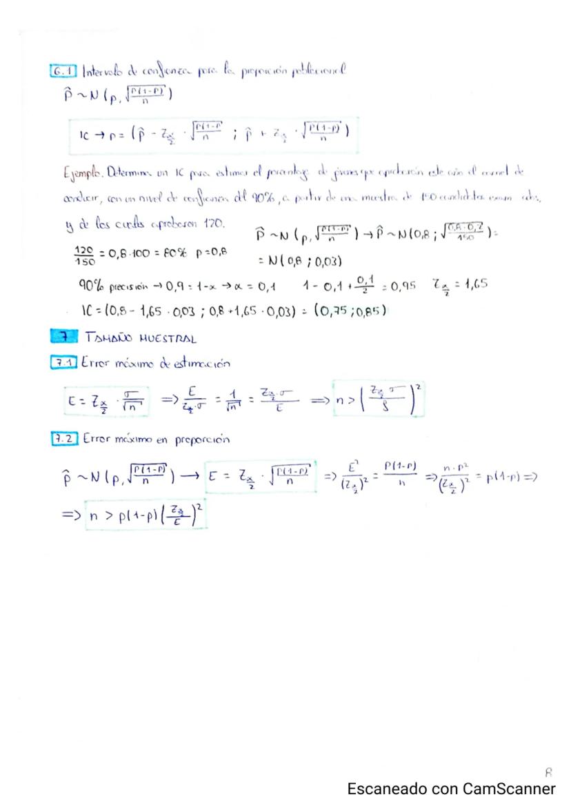
Los intervalos de confianza te dan un rango donde probablemente esté el verdadero valor poblacional. La fórmula es: .
💡 Dato útil: Para un 95% de confianza, z_{α/2} = 1,96. Para 90% de confianza, usa 1,65. Estos valores aparecen constantemente en los exámenes.

Los intervalos de confianza para proporciones funcionan de manera similar a los de medias, pero usando p̂ ± z_{α/2}√. Si 120 de 150 candidatos aprueban el carnet de conducir, puedes estimar con 90% de confianza que el porcentaje real está entre 75% y 85%.
El tamaño muestral determina la precisión de tus estimaciones. Para medias, necesitas n > ², donde E es el error máximo que toleras. Para proporciones, usas n > /E².
Estos cálculos te ayudan a planificar estudios eficientes - no quieres una muestra demasiado pequeña (resultados poco fiables) ni demasiado grande (pérdida de tiempo y recursos).
💡 Estrategia de examen: Identifica primero qué tipo de problema tienes (media o proporción), luego aplica la fórmula correspondiente. Los ejercicios suelen seguir patrones muy similares a los ejemplos dados.
Nuestro compañero de IA está específicamente adaptado a las necesidades de los estudiantes. Basándonos en los millones de contenidos que tenemos en la plataforma, podemos dar a los estudiantes respuestas realmente significativas y relevantes. Pero no se trata solo de respuestas, el compañero también guía a los estudiantes a través de sus retos de aprendizaje diarios, con planes de aprendizaje personalizados, cuestionarios o contenidos en el chat y una personalización del 100% basada en las habilidades y el desarrollo de los estudiantes.
Puedes descargar la app en Google Play Store y Apple App Store.
Sí, tienes acceso gratuito a los contenidos de la aplicación y a nuestro compañero de IA. Para desbloquear determinadas funciones de la aplicación, puedes adquirir Knowunity Pro.
App Store
Google Play
La app es muy fácil de usar y está muy bien diseñada. Hasta ahora he encontrado todo lo que estaba buscando y he podido aprender mucho de las presentaciones. Definitivamente utilizaré la aplicación para un examen de clase. Y, por supuesto, también me sirve mucho de inspiración.
Pablo
usuario de iOS
Esta app es realmente genial. Hay tantos apuntes de clase y ayuda [...]. Tengo problemas con matemáticas, por ejemplo, y la aplicación tiene muchas opciones de ayuda. Gracias a Knowunity, he mejorado en mates. Se la recomiendo a todo el mundo.
Elena
usuaria de Android
Vaya, estoy realmente sorprendida. Acabo de probar la app porque la he visto anunciada muchas veces y me he quedado absolutamente alucinada. Esta app es LA AYUDA que quieres para el insti y, sobre todo, ofrece muchísimas cosas, como ejercicios y hojas informativas, que a mí personalmente me han sido MUY útiles.
Ana
usuaria de iOS
Está app es muy buena, tiene apuntes que son de mucha ayuda y su IA es fantástica, te explica a la perfección y muy fácil de entender lo que necesites, te ayuda con los deberes, te hace esquemas... en definitiva es una muy buena opción!
Sophia
usuario de Android
Me encanta!!! Me resuelve todo con detalle y me da la explicación correcta. Tiene un montón de funciones, ami me ha ido genial!! Os la recomiendo!!!
Marta
usuaria de Android
La uso casi diariamente, sirve para todas las asignaturas. Yo, por ejemplo la utilizo más en inglés porque se me da bastante mal, ¡Todas las respuestas están correctas! Consta con personas reales que suben sus apuntes y IA para que puedas hacer los deberes muchísimo más fácil, la recomiendo.
Izan
usuario de iOS
¡La app es buenísima! Sólo tengo que introducir el tema en la barra de búsqueda y recibo la respuesta muy rápido. No tengo que ver 10 vídeos de YouTube para entender algo, así que me ahorro tiempo. ¡Muy recomendable!
Sara
usuaria de Android
En el instituto era muy malo en matemáticas, pero gracias a la app, ahora saco mejores notas. Os agradezco mucho que hayáis creado la aplicación.
Roberto
usuario de Android
Esto no es como Chatgpt, es MUCHISMO MEJOR, te hace unos resúmenes espectaculares y gracias a esta app pase de sacar 5-6 a sacar 8-9.
Julyana
usuaria de Android
Es la mejor aplicación del mundo, la uso para revisar los deberes a mi hijo.
Javier
usuario de Android
LOS QUIZ Y FLASHCARDS SON SÚPER ÚTILES Y ME ENCANTA Knowunity IA. ADEMÁS ES LITERALMENTE COMO CHATGPT PERO MÁS LISTO!! ME AYUDÓ TAMBIÉN CON MIS PROBLEMAS DE MÁSCARA!! Y CON MIS ASIGNATURAS DE VERDAD! OBVIO 😍😁😲🤑💗✨🎀😮
Erick
usuario de Android
Me me encanta esta app, todo lo que tiene es de calidad ya que antes de ser publicado es revisado por un equipo de profesionales. Me ha ido genial esta aplicación ya que gracias a ella puedo estudiar mucho mejor, sin tener que agobiarme porque mi profesor no ha hecho teoría o porque no entiendo su teoría. Le doy un 10 de 10!
Mar
usuaria de iOS
La app es muy fácil de usar y está muy bien diseñada. Hasta ahora he encontrado todo lo que estaba buscando y he podido aprender mucho de las presentaciones. Definitivamente utilizaré la aplicación para un examen de clase. Y, por supuesto, también me sirve mucho de inspiración.
Pablo
usuario de iOS
Esta app es realmente genial. Hay tantos apuntes de clase y ayuda [...]. Tengo problemas con matemáticas, por ejemplo, y la aplicación tiene muchas opciones de ayuda. Gracias a Knowunity, he mejorado en mates. Se la recomiendo a todo el mundo.
Elena
usuaria de Android
Vaya, estoy realmente sorprendida. Acabo de probar la app porque la he visto anunciada muchas veces y me he quedado absolutamente alucinada. Esta app es LA AYUDA que quieres para el insti y, sobre todo, ofrece muchísimas cosas, como ejercicios y hojas informativas, que a mí personalmente me han sido MUY útiles.
Ana
usuaria de iOS
Está app es muy buena, tiene apuntes que son de mucha ayuda y su IA es fantástica, te explica a la perfección y muy fácil de entender lo que necesites, te ayuda con los deberes, te hace esquemas... en definitiva es una muy buena opción!
Sophia
usuario de Android
Me encanta!!! Me resuelve todo con detalle y me da la explicación correcta. Tiene un montón de funciones, ami me ha ido genial!! Os la recomiendo!!!
Marta
usuaria de Android
La uso casi diariamente, sirve para todas las asignaturas. Yo, por ejemplo la utilizo más en inglés porque se me da bastante mal, ¡Todas las respuestas están correctas! Consta con personas reales que suben sus apuntes y IA para que puedas hacer los deberes muchísimo más fácil, la recomiendo.
Izan
usuario de iOS
¡La app es buenísima! Sólo tengo que introducir el tema en la barra de búsqueda y recibo la respuesta muy rápido. No tengo que ver 10 vídeos de YouTube para entender algo, así que me ahorro tiempo. ¡Muy recomendable!
Sara
usuaria de Android
En el instituto era muy malo en matemáticas, pero gracias a la app, ahora saco mejores notas. Os agradezco mucho que hayáis creado la aplicación.
Roberto
usuario de Android
Esto no es como Chatgpt, es MUCHISMO MEJOR, te hace unos resúmenes espectaculares y gracias a esta app pase de sacar 5-6 a sacar 8-9.
Julyana
usuaria de Android
Es la mejor aplicación del mundo, la uso para revisar los deberes a mi hijo.
Javier
usuario de Android
LOS QUIZ Y FLASHCARDS SON SÚPER ÚTILES Y ME ENCANTA Knowunity IA. ADEMÁS ES LITERALMENTE COMO CHATGPT PERO MÁS LISTO!! ME AYUDÓ TAMBIÉN CON MIS PROBLEMAS DE MÁSCARA!! Y CON MIS ASIGNATURAS DE VERDAD! OBVIO 😍😁😲🤑💗✨🎀😮
Erick
usuario de Android
Me me encanta esta app, todo lo que tiene es de calidad ya que antes de ser publicado es revisado por un equipo de profesionales. Me ha ido genial esta aplicación ya que gracias a ella puedo estudiar mucho mejor, sin tener que agobiarme porque mi profesor no ha hecho teoría o porque no entiendo su teoría. Le doy un 10 de 10!
Mar
usuaria de iOS
Paula López Aguilar
@paula__.15
La estadística te permite analizar datos del mundo real y sacar conclusiones fiables. Desde estudiar el rendimiento escolar hasta predecir resultados de encuestas, estas herramientas matemáticas te ayudan a entender patrones y hacer estimaciones precisas.

Acceso a todos los documentos
Mejora tus notas
Únete a millones de estudiantes
¿Alguna vez te has preguntado cómo funcionan las encuestas o cómo Netflix sabe qué serie recomendarte? Todo empieza con entender la diferencia entre población y muestra.
La población incluye todos los individuos que quieres estudiar, mientras que la muestra es solo el grupo seleccionado para el análisis. Es como si quisieras conocer la opinión de todos los estudiantes de España - sería imposible preguntarles a todos, así que eliges una muestra representativa.
Las variables pueden ser cuantitativas (números, como la altura) o cualitativas (categorías, como el color favorito). También pueden ser discretas (valores finitos, como el número de hermanos) o continuas (infinitos valores posibles, como el peso).
💡 Tip clave: El tipo de muestreo determina qué tan fiables son tus resultados. El muestreo aleatorio es el más objetivo, mientras que el estratificado te permite dividir tu población según características específicas.

Acceso a todos los documentos
Mejora tus notas
Únete a millones de estudiantes
Los números por sí solos no dicen mucho - necesitas calcular parámetros que te den información útil. La esperanza o media (μ) te dice el valor promedio esperado, mientras que la varianza (σ²) mide qué tan dispersos están los datos.
Para variables discretas, calculas la esperanza sumando cada valor multiplicado por su probabilidad: E(x) = Σ xi · P(xi). La desviación típica (σ) es la raíz cuadrada de la varianza y te da una medida más interpretable de la dispersión.
La distribución normal es tu mejor aliada - muchos fenómenos naturales la siguen. Se representa como N(μ, σ) y tiene esa característica forma de campana. La distribución normal estándar tiene media 0 y desviación típica 1.
💡 Recuerda: En la distribución normal, aproximadamente el 68% de los datos están dentro de una desviación típica de la media, y el 95% dentro de dos desviaciones típicas.

Acceso a todos los documentos
Mejora tus notas
Únete a millones de estudiantes
La tipificación te permite comparar datos de diferentes escalas transformándolos a la distribución normal estándar. La fórmula mágica es Z = /σ, que convierte cualquier valor en su equivalente estandarizado.
Cuando trabajas con medias muestrales, la distribución sigue siendo normal pero con menor variabilidad: X̄ ~ N. Esto significa que cuanto mayor sea tu muestra, más precisa será tu estimación.
Para proporciones muestrales, usas p̂ ~ N. Por ejemplo, si el 70% de estudiantes aprueban matemáticas y tomas una muestra de 25 alumnos, puedes calcular la probabilidad de que más del 75% apruebe.
Los intervalos de confianza te dan un rango donde probablemente esté el verdadero valor poblacional. La fórmula es: .
💡 Dato útil: Para un 95% de confianza, z_{α/2} = 1,96. Para 90% de confianza, usa 1,65. Estos valores aparecen constantemente en los exámenes.

Acceso a todos los documentos
Mejora tus notas
Únete a millones de estudiantes
Los intervalos de confianza para proporciones funcionan de manera similar a los de medias, pero usando p̂ ± z_{α/2}√. Si 120 de 150 candidatos aprueban el carnet de conducir, puedes estimar con 90% de confianza que el porcentaje real está entre 75% y 85%.
El tamaño muestral determina la precisión de tus estimaciones. Para medias, necesitas n > ², donde E es el error máximo que toleras. Para proporciones, usas n > /E².
Estos cálculos te ayudan a planificar estudios eficientes - no quieres una muestra demasiado pequeña (resultados poco fiables) ni demasiado grande (pérdida de tiempo y recursos).
💡 Estrategia de examen: Identifica primero qué tipo de problema tienes (media o proporción), luego aplica la fórmula correspondiente. Los ejercicios suelen seguir patrones muy similares a los ejemplos dados.
Nuestro compañero de IA está específicamente adaptado a las necesidades de los estudiantes. Basándonos en los millones de contenidos que tenemos en la plataforma, podemos dar a los estudiantes respuestas realmente significativas y relevantes. Pero no se trata solo de respuestas, el compañero también guía a los estudiantes a través de sus retos de aprendizaje diarios, con planes de aprendizaje personalizados, cuestionarios o contenidos en el chat y una personalización del 100% basada en las habilidades y el desarrollo de los estudiantes.
Puedes descargar la app en Google Play Store y Apple App Store.
Sí, tienes acceso gratuito a los contenidos de la aplicación y a nuestro compañero de IA. Para desbloquear determinadas funciones de la aplicación, puedes adquirir Knowunity Pro.
23
Herramientas Inteligentes NUEVO
Transforma estos apuntes en: ✓ 50+ Preguntas de Práctica ✓ Flashcards Interactivas ✓ Examen Completo de Práctica ✓ Esquemas de Ensayo
.
Pasos para representar funciones y ejemplos prácticos.
Aprende a calcular valores desconocidos utilizando interpolación cuadrática y lineal en funciones matemáticas. Ejemplos prácticos incluidos.
Teoría sobre matrices
Apuntes de Integrales y ejemplos prácticos.
suceciones, calculo de límites, operaciones con límites, indeterminaciones y discontinuidad
App Store
Google Play
La app es muy fácil de usar y está muy bien diseñada. Hasta ahora he encontrado todo lo que estaba buscando y he podido aprender mucho de las presentaciones. Definitivamente utilizaré la aplicación para un examen de clase. Y, por supuesto, también me sirve mucho de inspiración.
Pablo
usuario de iOS
Esta app es realmente genial. Hay tantos apuntes de clase y ayuda [...]. Tengo problemas con matemáticas, por ejemplo, y la aplicación tiene muchas opciones de ayuda. Gracias a Knowunity, he mejorado en mates. Se la recomiendo a todo el mundo.
Elena
usuaria de Android
Vaya, estoy realmente sorprendida. Acabo de probar la app porque la he visto anunciada muchas veces y me he quedado absolutamente alucinada. Esta app es LA AYUDA que quieres para el insti y, sobre todo, ofrece muchísimas cosas, como ejercicios y hojas informativas, que a mí personalmente me han sido MUY útiles.
Ana
usuaria de iOS
Está app es muy buena, tiene apuntes que son de mucha ayuda y su IA es fantástica, te explica a la perfección y muy fácil de entender lo que necesites, te ayuda con los deberes, te hace esquemas... en definitiva es una muy buena opción!
Sophia
usuario de Android
Me encanta!!! Me resuelve todo con detalle y me da la explicación correcta. Tiene un montón de funciones, ami me ha ido genial!! Os la recomiendo!!!
Marta
usuaria de Android
La uso casi diariamente, sirve para todas las asignaturas. Yo, por ejemplo la utilizo más en inglés porque se me da bastante mal, ¡Todas las respuestas están correctas! Consta con personas reales que suben sus apuntes y IA para que puedas hacer los deberes muchísimo más fácil, la recomiendo.
Izan
usuario de iOS
¡La app es buenísima! Sólo tengo que introducir el tema en la barra de búsqueda y recibo la respuesta muy rápido. No tengo que ver 10 vídeos de YouTube para entender algo, así que me ahorro tiempo. ¡Muy recomendable!
Sara
usuaria de Android
En el instituto era muy malo en matemáticas, pero gracias a la app, ahora saco mejores notas. Os agradezco mucho que hayáis creado la aplicación.
Roberto
usuario de Android
Esto no es como Chatgpt, es MUCHISMO MEJOR, te hace unos resúmenes espectaculares y gracias a esta app pase de sacar 5-6 a sacar 8-9.
Julyana
usuaria de Android
Es la mejor aplicación del mundo, la uso para revisar los deberes a mi hijo.
Javier
usuario de Android
LOS QUIZ Y FLASHCARDS SON SÚPER ÚTILES Y ME ENCANTA Knowunity IA. ADEMÁS ES LITERALMENTE COMO CHATGPT PERO MÁS LISTO!! ME AYUDÓ TAMBIÉN CON MIS PROBLEMAS DE MÁSCARA!! Y CON MIS ASIGNATURAS DE VERDAD! OBVIO 😍😁😲🤑💗✨🎀😮
Erick
usuario de Android
Me me encanta esta app, todo lo que tiene es de calidad ya que antes de ser publicado es revisado por un equipo de profesionales. Me ha ido genial esta aplicación ya que gracias a ella puedo estudiar mucho mejor, sin tener que agobiarme porque mi profesor no ha hecho teoría o porque no entiendo su teoría. Le doy un 10 de 10!
Mar
usuaria de iOS
La app es muy fácil de usar y está muy bien diseñada. Hasta ahora he encontrado todo lo que estaba buscando y he podido aprender mucho de las presentaciones. Definitivamente utilizaré la aplicación para un examen de clase. Y, por supuesto, también me sirve mucho de inspiración.
Pablo
usuario de iOS
Esta app es realmente genial. Hay tantos apuntes de clase y ayuda [...]. Tengo problemas con matemáticas, por ejemplo, y la aplicación tiene muchas opciones de ayuda. Gracias a Knowunity, he mejorado en mates. Se la recomiendo a todo el mundo.
Elena
usuaria de Android
Vaya, estoy realmente sorprendida. Acabo de probar la app porque la he visto anunciada muchas veces y me he quedado absolutamente alucinada. Esta app es LA AYUDA que quieres para el insti y, sobre todo, ofrece muchísimas cosas, como ejercicios y hojas informativas, que a mí personalmente me han sido MUY útiles.
Ana
usuaria de iOS
Está app es muy buena, tiene apuntes que son de mucha ayuda y su IA es fantástica, te explica a la perfección y muy fácil de entender lo que necesites, te ayuda con los deberes, te hace esquemas... en definitiva es una muy buena opción!
Sophia
usuario de Android
Me encanta!!! Me resuelve todo con detalle y me da la explicación correcta. Tiene un montón de funciones, ami me ha ido genial!! Os la recomiendo!!!
Marta
usuaria de Android
La uso casi diariamente, sirve para todas las asignaturas. Yo, por ejemplo la utilizo más en inglés porque se me da bastante mal, ¡Todas las respuestas están correctas! Consta con personas reales que suben sus apuntes y IA para que puedas hacer los deberes muchísimo más fácil, la recomiendo.
Izan
usuario de iOS
¡La app es buenísima! Sólo tengo que introducir el tema en la barra de búsqueda y recibo la respuesta muy rápido. No tengo que ver 10 vídeos de YouTube para entender algo, así que me ahorro tiempo. ¡Muy recomendable!
Sara
usuaria de Android
En el instituto era muy malo en matemáticas, pero gracias a la app, ahora saco mejores notas. Os agradezco mucho que hayáis creado la aplicación.
Roberto
usuario de Android
Esto no es como Chatgpt, es MUCHISMO MEJOR, te hace unos resúmenes espectaculares y gracias a esta app pase de sacar 5-6 a sacar 8-9.
Julyana
usuaria de Android
Es la mejor aplicación del mundo, la uso para revisar los deberes a mi hijo.
Javier
usuario de Android
LOS QUIZ Y FLASHCARDS SON SÚPER ÚTILES Y ME ENCANTA Knowunity IA. ADEMÁS ES LITERALMENTE COMO CHATGPT PERO MÁS LISTO!! ME AYUDÓ TAMBIÉN CON MIS PROBLEMAS DE MÁSCARA!! Y CON MIS ASIGNATURAS DE VERDAD! OBVIO 😍😁😲🤑💗✨🎀😮
Erick
usuario de Android
Me me encanta esta app, todo lo que tiene es de calidad ya que antes de ser publicado es revisado por un equipo de profesionales. Me ha ido genial esta aplicación ya que gracias a ella puedo estudiar mucho mejor, sin tener que agobiarme porque mi profesor no ha hecho teoría o porque no entiendo su teoría. Le doy un 10 de 10!
Mar
usuaria de iOS