Los determinantesson herramientas súper útiles en álgebra lineal que... Mostrar más
Inscríbete para ver los apuntes¡Es gratis!
Acceso a todos los documentos
Mejora tus notas
Únete a millones de estudiantes
Knowunity AI
Asignaturas
Triangle Congruence and Similarity Theorems
Triangle Properties and Classification
Linear Equations and Graphs
Geometric Angle Relationships
Trigonometric Functions and Identities
Equation Solving Techniques
Circle Geometry Fundamentals
Division Operations and Methods
Basic Differentiation Rules
Exponent and Logarithm Properties
Mostrar todos los temas
Human Organ Systems
Reproductive Cell Cycles
Biological Sciences Subdisciplines
Cellular Energy Metabolism
Autotrophic Energy Processes
Inheritance Patterns and Principles
Biomolecular Structure and Organization
Cell Cycle and Division Mechanics
Cellular Organization and Development
Biological Structural Organization
Mostrar todos los temas
Chemical Sciences and Applications
Atomic Structure and Composition
Molecular Electron Structure Representation
Atomic Electron Behavior
Matter Properties and Water
Mole Concept and Calculations
Gas Laws and Behavior
Periodic Table Organization
Chemical Thermodynamics Fundamentals
Chemical Bond Types and Properties
Mostrar todos los temas
European Renaissance and Enlightenment
European Cultural Movements 800-1920
American Revolution Era 1763-1797
American Civil War 1861-1865
Global Imperial Systems
Mongol and Chinese Dynasties
U.S. Presidents and World Leaders
Historical Sources and Documentation
World Wars Era and Impact
World Religious Systems
Mostrar todos los temas
Classic and Contemporary Novels
Literary Character Analysis
Rhetorical Theory and Practice
Classic Literary Narratives
Reading Analysis and Interpretation
Narrative Structure and Techniques
English Language Components
Influential English-Language Authors
Basic Sentence Structure
Narrative Voice and Perspective
Mostrar todos los temas
287
•
Actualizado Mar 21, 2026
•
Irene Cabezas Sánchez
@irenecabezassnchez_fnxn
Los determinantesson herramientas súper útiles en álgebra lineal que... Mostrar más









¿Sabías que los determinantes solo se pueden calcular en matrices cuadradas? Es decir, matrices de 2x2, 3x3, 4x4, etc.
Para una matriz 2x2, la fórmula es súper sencilla: |A| = a₁₁ · a₂₂ - a₂₁ · a₁₂. Básicamente multiplicas en diagonal principal y restas el producto de la diagonal secundaria.
Para matrices 3x3 usas la regla de Sarrus: sumas los productos de las diagonales principales y restas los de las secundarias. Si el resultado es ≠ 0, tu matriz tiene rango máximo y el sistema tendrá solución única.
¡Ojo! Si el determinante = 0, significa que no hay solución única o que las filas/columnas son dependientes.
Las propiedades básicas que debes recordar: |Aᵀ| = |A|, si intercambias filas cambia el signo, |A·B| = |A|·|B|, y |kA| = kⁿ|A| donde n es el orden.

Los menores complementarios son determinantes más pequeños que obtienes "tapando" una fila i y una columna j de tu matriz original. Es como hacer zoom a una parte específica.
Para encontrar X₁₂, simplemente eliminas la fila 1 y columna 2, y calculas el determinante de lo que queda. Es más fácil de lo que parece.
El adjunto de una posición se calcula como: Adj(i,j) = (-1)^ · X_ij. El truco del signo es usar la plantilla de signos alternados: empieza con + en la esquina superior izquierda.
Tip: Para recordar los signos, imagina un tablero de ajedrez donde las casillas blancas son + y las negras son -.
Esta técnica te será súper útil para calcular determinantes grandes y para encontrar matrices inversas más adelante.

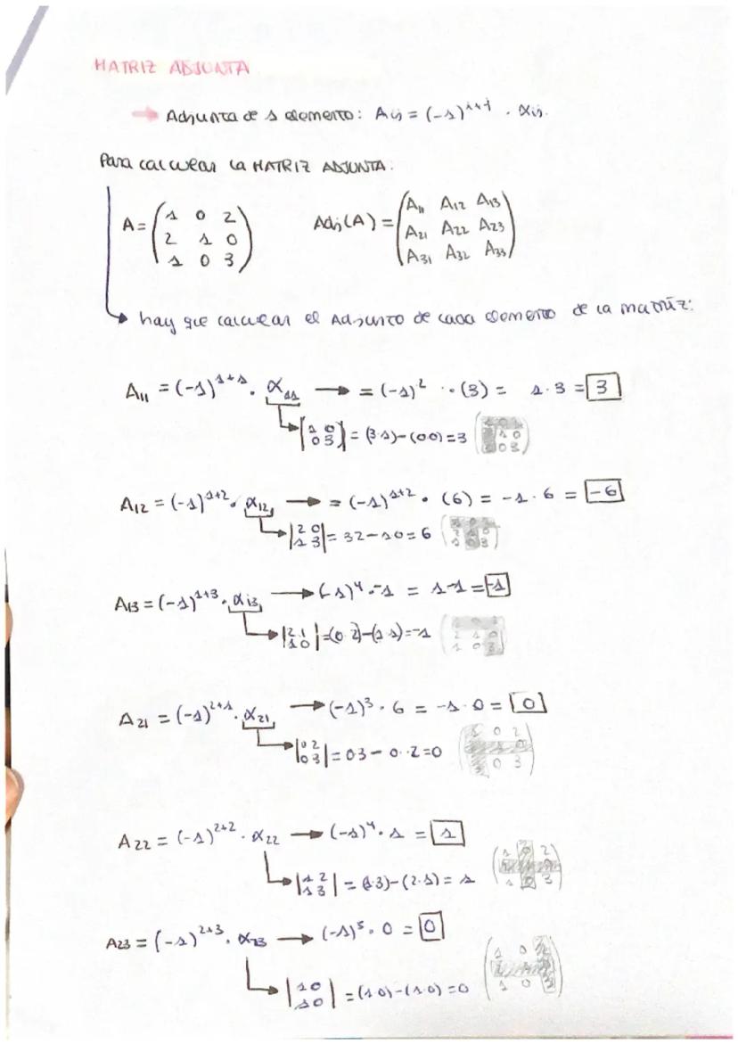
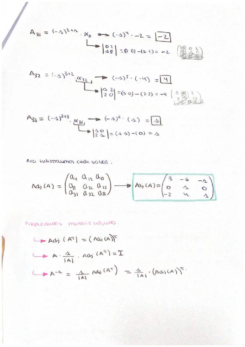
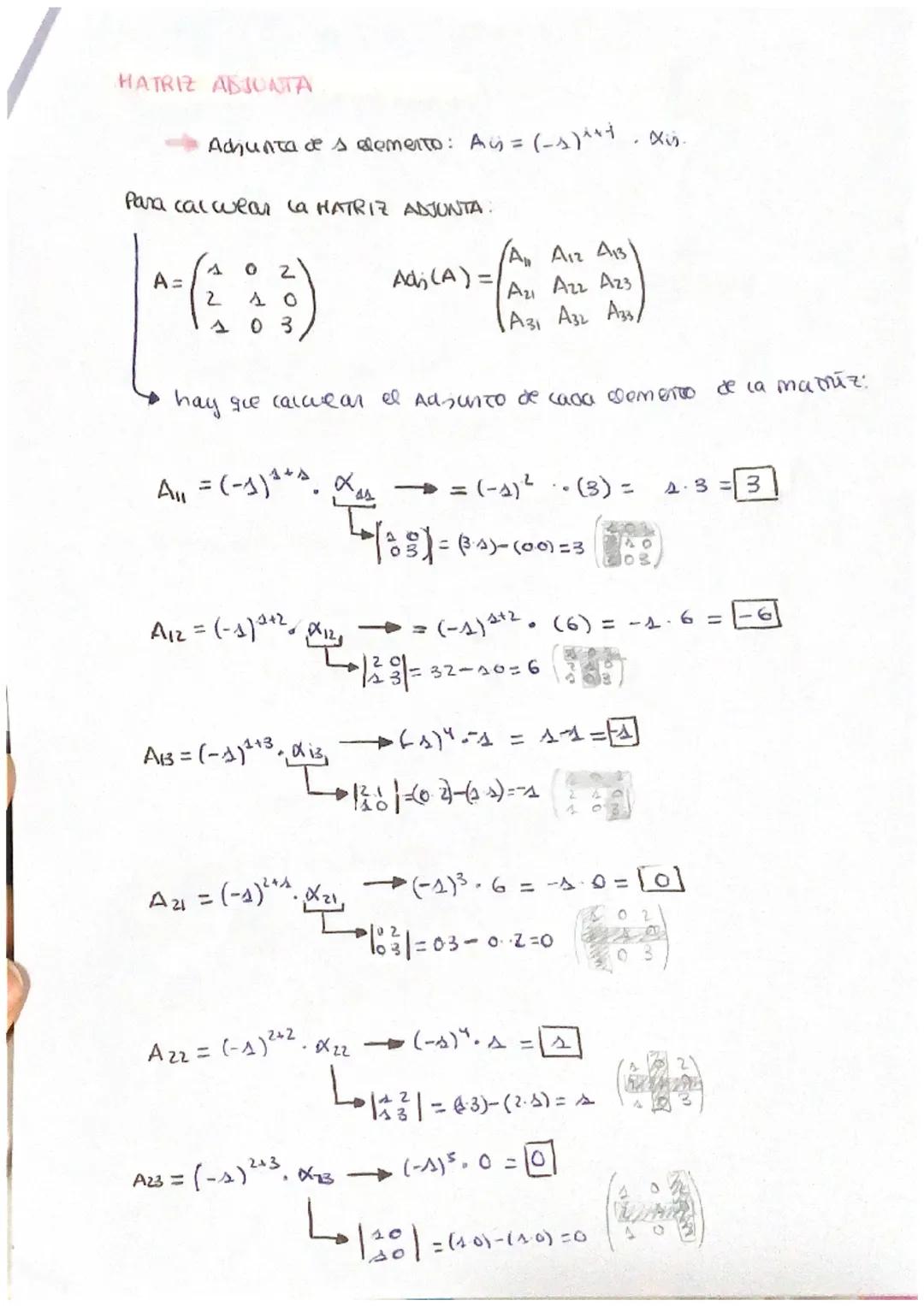
La matriz adjunta es como el "primo hermano" de tu matriz original - tiene la misma estructura pero cada elemento se convierte en su adjunto correspondiente.
Para construirla, calculas el adjunto de cada posición: A₁₁, A₁₂, A₁₃, etc., y los colocas en una nueva matriz. Parece tedioso, pero con práctica se vuelve automático.
Las propiedades importantes que debes saber: Adj(Aᵀ) = (Adj(A))ᵀ, y la fórmula mágica A⁻¹ = · (Adj(A))ᵀ para encontrar la matriz inversa.
¡Clave para exámenes! La matriz adjunta es fundamental para calcular inversas, así que domina este proceso.
Una vez que tienes todos los adjuntos calculados, simplemente los organizas en la matriz siguiendo el mismo patrón de posiciones que la original.

Continuando con el cálculo de los elementos restantes: A₃₁, A₃₂ y A₃₃. Recuerda aplicar siempre la fórmula (-1)^ para el signo correcto.
Una vez calculados todos los adjuntos, los sustituyes en la matriz adjunta manteniendo sus posiciones correspondientes. El resultado final te servirá para múltiples aplicaciones.
Las propiedades finales incluyen: A · · Adj(Aᵀ) = I (matriz identidad), y la crucial A⁻¹ = · (Adj(A))ᵀ para calcular inversas.
Recuerda: Si |A| = 0, no existe matriz inversa porque no puedes dividir entre cero.
Este método es especialmente útil para matrices 3x3 donde otros métodos pueden ser más complicados.

El rango de una matriz te dice cuántas filas o columnas son realmente independientes entre sí. Es como saber cuántas "direcciones diferentes" puedes tomar.
Un menor de orden n es un determinante que obtienes seleccionando n filas y n columnas cualesquiera. En una matriz 3x3 puedes tener menores de orden 1, 2 y 3.
El concepto clave: dos vectores son linealmente dependientes si uno puede expresarse como múltiplo del otro. Por ejemplo, si f₂ = 2·f₁, entonces f₂ no aporta información nueva.
Regla de oro: El rango = orden del mayor menor no nulo que puedas encontrar.
Para determinar el rango, empiezas por el mayor orden posible y vas bajando hasta encontrar un menor ≠ 0.

El proceso es sistemático: ¿Rango = 3? Calcula el determinante completo. Si es ≠ 0, el rango es 3. Si es = 0, baja al siguiente nivel.
Para ¿Rango = 2? necesitas encontrar al menos un menor 2x2 que sea ≠ 0. Si todos los menores 2x2 son = 0, entonces el rango es menor.
En el ejemplo, aunque el primer determinante 3x3 dio 0, el segundo dio -9 ≠ 0, confirmando que el rango es 3. No te conformes con el primer cálculo si da cero.
Estrategia de examen: Si un determinante te da 0, prueba con otra combinación de filas/columnas antes de concluir.
Recuerda que solo necesitas encontrar UN menor no nulo del orden máximo posible para confirmar el rango.

Cuando aparecen parámetros como m, estudias el rango según sus valores. Primero verificas menores de orden menor para establecer un rango mínimo.
En el ejemplo, el menor 2x2 da Δ² ≠ 0, garantizando que Rango(C) ≥ 2. Luego analizas cuándo el determinante 3x3 se anula.
Para m = -1/2, el determinante se hace cero, así que Rango(C) = 2. Para cualquier otro valor de m, Rango(C) = 3.
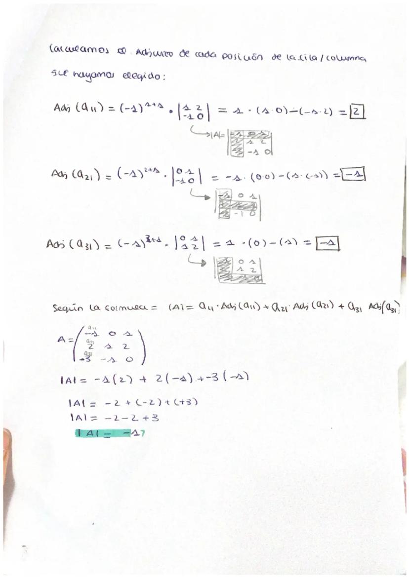
Método alternativo: El cálculo por adjuntos es genial para determinantes con muchos ceros.
El cálculo por adjuntos usa la fórmula: |A| = a₁₁·Adj(a₁₁) + a₁₂·Adj(a₁₂) + a₁₃·Adj(a₁₃). Elige la fila o columna con más ceros para simplificar.

Calculas el adjunto de cada elemento de la fila/columna elegida usando (-1)^ multiplicado por el menor correspondiente.
Una vez que tienes todos los adjuntos, aplicas la fórmula: |A| = suma de (elemento × su adjunto) para todos los elementos de la fila/columna seleccionada.
En el ejemplo final, |A| = -1(2) + 2(-1) + 3(-1) = -2 - 2 + 3 = -1. Este método es especialmente eficiente cuando tu matriz tiene varios ceros.
Ventaja: Este método reduce significativamente los cálculos cuando eliges estratégicamente filas/columnas con ceros.
Dominar esta técnica te ahorrará tiempo valioso en exámenes y te dará más confianza con determinantes grandes.
Nuestro compañero de IA está específicamente adaptado a las necesidades de los estudiantes. Basándonos en los millones de contenidos que tenemos en la plataforma, podemos dar a los estudiantes respuestas realmente significativas y relevantes. Pero no se trata solo de respuestas, el compañero también guía a los estudiantes a través de sus retos de aprendizaje diarios, con planes de aprendizaje personalizados, cuestionarios o contenidos en el chat y una personalización del 100% basada en las habilidades y el desarrollo de los estudiantes.
Puedes descargar la app en Google Play Store y Apple App Store.
Sí, tienes acceso gratuito a los contenidos de la aplicación y a nuestro compañero de IA. Para desbloquear determinadas funciones de la aplicación, puedes adquirir Knowunity Pro.
Sintexis de Lengua Castellana. Incluye las oraciones simples, los complementos y todas las oraciones compuestas
App Store
Google Play
La app es muy fácil de usar y está muy bien diseñada. Hasta ahora he encontrado todo lo que estaba buscando y he podido aprender mucho de las presentaciones. Definitivamente utilizaré la aplicación para un examen de clase. Y, por supuesto, también me sirve mucho de inspiración.
Pablo
usuario de iOS
Esta app es realmente genial. Hay tantos apuntes de clase y ayuda [...]. Tengo problemas con matemáticas, por ejemplo, y la aplicación tiene muchas opciones de ayuda. Gracias a Knowunity, he mejorado en mates. Se la recomiendo a todo el mundo.
Elena
usuaria de Android
Vaya, estoy realmente sorprendida. Acabo de probar la app porque la he visto anunciada muchas veces y me he quedado absolutamente alucinada. Esta app es LA AYUDA que quieres para el insti y, sobre todo, ofrece muchísimas cosas, como ejercicios y hojas informativas, que a mí personalmente me han sido MUY útiles.
Ana
usuaria de iOS
Está app es muy buena, tiene apuntes que son de mucha ayuda y su IA es fantástica, te explica a la perfección y muy fácil de entender lo que necesites, te ayuda con los deberes, te hace esquemas... en definitiva es una muy buena opción!
Sophia
usuario de Android
Me encanta!!! Me resuelve todo con detalle y me da la explicación correcta. Tiene un montón de funciones, ami me ha ido genial!! Os la recomiendo!!!
Marta
usuaria de Android
La uso casi diariamente, sirve para todas las asignaturas. Yo, por ejemplo la utilizo más en inglés porque se me da bastante mal, ¡Todas las respuestas están correctas! Consta con personas reales que suben sus apuntes y IA para que puedas hacer los deberes muchísimo más fácil, la recomiendo.
Izan
usuario de iOS
¡La app es buenísima! Sólo tengo que introducir el tema en la barra de búsqueda y recibo la respuesta muy rápido. No tengo que ver 10 vídeos de YouTube para entender algo, así que me ahorro tiempo. ¡Muy recomendable!
Sara
usuaria de Android
En el instituto era muy malo en matemáticas, pero gracias a la app, ahora saco mejores notas. Os agradezco mucho que hayáis creado la aplicación.
Roberto
usuario de Android
Esto no es como Chatgpt, es MUCHISMO MEJOR, te hace unos resúmenes espectaculares y gracias a esta app pase de sacar 5-6 a sacar 8-9.
Julyana
usuaria de Android
Es la mejor aplicación del mundo, la uso para revisar los deberes a mi hijo.
Javier
usuario de Android
LOS QUIZ Y FLASHCARDS SON SÚPER ÚTILES Y ME ENCANTA Knowunity IA. ADEMÁS ES LITERALMENTE COMO CHATGPT PERO MÁS LISTO!! ME AYUDÓ TAMBIÉN CON MIS PROBLEMAS DE MÁSCARA!! Y CON MIS ASIGNATURAS DE VERDAD! OBVIO 😍😁😲🤑💗✨🎀😮
Erick
usuario de Android
Me me encanta esta app, todo lo que tiene es de calidad ya que antes de ser publicado es revisado por un equipo de profesionales. Me ha ido genial esta aplicación ya que gracias a ella puedo estudiar mucho mejor, sin tener que agobiarme porque mi profesor no ha hecho teoría o porque no entiendo su teoría. Le doy un 10 de 10!
Mar
usuaria de iOS
La app es muy fácil de usar y está muy bien diseñada. Hasta ahora he encontrado todo lo que estaba buscando y he podido aprender mucho de las presentaciones. Definitivamente utilizaré la aplicación para un examen de clase. Y, por supuesto, también me sirve mucho de inspiración.
Pablo
usuario de iOS
Esta app es realmente genial. Hay tantos apuntes de clase y ayuda [...]. Tengo problemas con matemáticas, por ejemplo, y la aplicación tiene muchas opciones de ayuda. Gracias a Knowunity, he mejorado en mates. Se la recomiendo a todo el mundo.
Elena
usuaria de Android
Vaya, estoy realmente sorprendida. Acabo de probar la app porque la he visto anunciada muchas veces y me he quedado absolutamente alucinada. Esta app es LA AYUDA que quieres para el insti y, sobre todo, ofrece muchísimas cosas, como ejercicios y hojas informativas, que a mí personalmente me han sido MUY útiles.
Ana
usuaria de iOS
Está app es muy buena, tiene apuntes que son de mucha ayuda y su IA es fantástica, te explica a la perfección y muy fácil de entender lo que necesites, te ayuda con los deberes, te hace esquemas... en definitiva es una muy buena opción!
Sophia
usuario de Android
Me encanta!!! Me resuelve todo con detalle y me da la explicación correcta. Tiene un montón de funciones, ami me ha ido genial!! Os la recomiendo!!!
Marta
usuaria de Android
La uso casi diariamente, sirve para todas las asignaturas. Yo, por ejemplo la utilizo más en inglés porque se me da bastante mal, ¡Todas las respuestas están correctas! Consta con personas reales que suben sus apuntes y IA para que puedas hacer los deberes muchísimo más fácil, la recomiendo.
Izan
usuario de iOS
¡La app es buenísima! Sólo tengo que introducir el tema en la barra de búsqueda y recibo la respuesta muy rápido. No tengo que ver 10 vídeos de YouTube para entender algo, así que me ahorro tiempo. ¡Muy recomendable!
Sara
usuaria de Android
En el instituto era muy malo en matemáticas, pero gracias a la app, ahora saco mejores notas. Os agradezco mucho que hayáis creado la aplicación.
Roberto
usuario de Android
Esto no es como Chatgpt, es MUCHISMO MEJOR, te hace unos resúmenes espectaculares y gracias a esta app pase de sacar 5-6 a sacar 8-9.
Julyana
usuaria de Android
Es la mejor aplicación del mundo, la uso para revisar los deberes a mi hijo.
Javier
usuario de Android
LOS QUIZ Y FLASHCARDS SON SÚPER ÚTILES Y ME ENCANTA Knowunity IA. ADEMÁS ES LITERALMENTE COMO CHATGPT PERO MÁS LISTO!! ME AYUDÓ TAMBIÉN CON MIS PROBLEMAS DE MÁSCARA!! Y CON MIS ASIGNATURAS DE VERDAD! OBVIO 😍😁😲🤑💗✨🎀😮
Erick
usuario de Android
Me me encanta esta app, todo lo que tiene es de calidad ya que antes de ser publicado es revisado por un equipo de profesionales. Me ha ido genial esta aplicación ya que gracias a ella puedo estudiar mucho mejor, sin tener que agobiarme porque mi profesor no ha hecho teoría o porque no entiendo su teoría. Le doy un 10 de 10!
Mar
usuaria de iOS
Irene Cabezas Sánchez
@irenecabezassnchez_fnxn
Los determinantesson herramientas súper útiles en álgebra lineal que te ayudan a entender si un sistema de ecuaciones tiene solución única o no. Solo existen para matrices cuadradas y su cálculo te dará información clave sobre el rango y... Mostrar más

Acceso a todos los documentos
Mejora tus notas
Únete a millones de estudiantes
¿Sabías que los determinantes solo se pueden calcular en matrices cuadradas? Es decir, matrices de 2x2, 3x3, 4x4, etc.
Para una matriz 2x2, la fórmula es súper sencilla: |A| = a₁₁ · a₂₂ - a₂₁ · a₁₂. Básicamente multiplicas en diagonal principal y restas el producto de la diagonal secundaria.
Para matrices 3x3 usas la regla de Sarrus: sumas los productos de las diagonales principales y restas los de las secundarias. Si el resultado es ≠ 0, tu matriz tiene rango máximo y el sistema tendrá solución única.
¡Ojo! Si el determinante = 0, significa que no hay solución única o que las filas/columnas son dependientes.
Las propiedades básicas que debes recordar: |Aᵀ| = |A|, si intercambias filas cambia el signo, |A·B| = |A|·|B|, y |kA| = kⁿ|A| donde n es el orden.

Acceso a todos los documentos
Mejora tus notas
Únete a millones de estudiantes
Los menores complementarios son determinantes más pequeños que obtienes "tapando" una fila i y una columna j de tu matriz original. Es como hacer zoom a una parte específica.
Para encontrar X₁₂, simplemente eliminas la fila 1 y columna 2, y calculas el determinante de lo que queda. Es más fácil de lo que parece.
El adjunto de una posición se calcula como: Adj(i,j) = (-1)^ · X_ij. El truco del signo es usar la plantilla de signos alternados: empieza con + en la esquina superior izquierda.
Tip: Para recordar los signos, imagina un tablero de ajedrez donde las casillas blancas son + y las negras son -.
Esta técnica te será súper útil para calcular determinantes grandes y para encontrar matrices inversas más adelante.

Acceso a todos los documentos
Mejora tus notas
Únete a millones de estudiantes
La matriz adjunta es como el "primo hermano" de tu matriz original - tiene la misma estructura pero cada elemento se convierte en su adjunto correspondiente.
Para construirla, calculas el adjunto de cada posición: A₁₁, A₁₂, A₁₃, etc., y los colocas en una nueva matriz. Parece tedioso, pero con práctica se vuelve automático.
Las propiedades importantes que debes saber: Adj(Aᵀ) = (Adj(A))ᵀ, y la fórmula mágica A⁻¹ = · (Adj(A))ᵀ para encontrar la matriz inversa.
¡Clave para exámenes! La matriz adjunta es fundamental para calcular inversas, así que domina este proceso.
Una vez que tienes todos los adjuntos calculados, simplemente los organizas en la matriz siguiendo el mismo patrón de posiciones que la original.

Acceso a todos los documentos
Mejora tus notas
Únete a millones de estudiantes
Continuando con el cálculo de los elementos restantes: A₃₁, A₃₂ y A₃₃. Recuerda aplicar siempre la fórmula (-1)^ para el signo correcto.
Una vez calculados todos los adjuntos, los sustituyes en la matriz adjunta manteniendo sus posiciones correspondientes. El resultado final te servirá para múltiples aplicaciones.
Las propiedades finales incluyen: A · · Adj(Aᵀ) = I (matriz identidad), y la crucial A⁻¹ = · (Adj(A))ᵀ para calcular inversas.
Recuerda: Si |A| = 0, no existe matriz inversa porque no puedes dividir entre cero.
Este método es especialmente útil para matrices 3x3 donde otros métodos pueden ser más complicados.

Acceso a todos los documentos
Mejora tus notas
Únete a millones de estudiantes
El rango de una matriz te dice cuántas filas o columnas son realmente independientes entre sí. Es como saber cuántas "direcciones diferentes" puedes tomar.
Un menor de orden n es un determinante que obtienes seleccionando n filas y n columnas cualesquiera. En una matriz 3x3 puedes tener menores de orden 1, 2 y 3.
El concepto clave: dos vectores son linealmente dependientes si uno puede expresarse como múltiplo del otro. Por ejemplo, si f₂ = 2·f₁, entonces f₂ no aporta información nueva.
Regla de oro: El rango = orden del mayor menor no nulo que puedas encontrar.
Para determinar el rango, empiezas por el mayor orden posible y vas bajando hasta encontrar un menor ≠ 0.

Acceso a todos los documentos
Mejora tus notas
Únete a millones de estudiantes
El proceso es sistemático: ¿Rango = 3? Calcula el determinante completo. Si es ≠ 0, el rango es 3. Si es = 0, baja al siguiente nivel.
Para ¿Rango = 2? necesitas encontrar al menos un menor 2x2 que sea ≠ 0. Si todos los menores 2x2 son = 0, entonces el rango es menor.
En el ejemplo, aunque el primer determinante 3x3 dio 0, el segundo dio -9 ≠ 0, confirmando que el rango es 3. No te conformes con el primer cálculo si da cero.
Estrategia de examen: Si un determinante te da 0, prueba con otra combinación de filas/columnas antes de concluir.
Recuerda que solo necesitas encontrar UN menor no nulo del orden máximo posible para confirmar el rango.

Acceso a todos los documentos
Mejora tus notas
Únete a millones de estudiantes
Cuando aparecen parámetros como m, estudias el rango según sus valores. Primero verificas menores de orden menor para establecer un rango mínimo.
En el ejemplo, el menor 2x2 da Δ² ≠ 0, garantizando que Rango(C) ≥ 2. Luego analizas cuándo el determinante 3x3 se anula.
Para m = -1/2, el determinante se hace cero, así que Rango(C) = 2. Para cualquier otro valor de m, Rango(C) = 3.
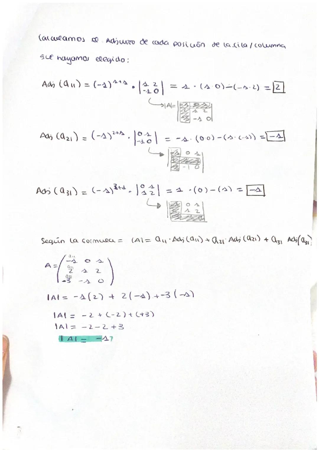
Método alternativo: El cálculo por adjuntos es genial para determinantes con muchos ceros.
El cálculo por adjuntos usa la fórmula: |A| = a₁₁·Adj(a₁₁) + a₁₂·Adj(a₁₂) + a₁₃·Adj(a₁₃). Elige la fila o columna con más ceros para simplificar.

Acceso a todos los documentos
Mejora tus notas
Únete a millones de estudiantes
Calculas el adjunto de cada elemento de la fila/columna elegida usando (-1)^ multiplicado por el menor correspondiente.
Una vez que tienes todos los adjuntos, aplicas la fórmula: |A| = suma de (elemento × su adjunto) para todos los elementos de la fila/columna seleccionada.
En el ejemplo final, |A| = -1(2) + 2(-1) + 3(-1) = -2 - 2 + 3 = -1. Este método es especialmente eficiente cuando tu matriz tiene varios ceros.
Ventaja: Este método reduce significativamente los cálculos cuando eliges estratégicamente filas/columnas con ceros.
Dominar esta técnica te ahorrará tiempo valioso en exámenes y te dará más confianza con determinantes grandes.
Nuestro compañero de IA está específicamente adaptado a las necesidades de los estudiantes. Basándonos en los millones de contenidos que tenemos en la plataforma, podemos dar a los estudiantes respuestas realmente significativas y relevantes. Pero no se trata solo de respuestas, el compañero también guía a los estudiantes a través de sus retos de aprendizaje diarios, con planes de aprendizaje personalizados, cuestionarios o contenidos en el chat y una personalización del 100% basada en las habilidades y el desarrollo de los estudiantes.
Puedes descargar la app en Google Play Store y Apple App Store.
Sí, tienes acceso gratuito a los contenidos de la aplicación y a nuestro compañero de IA. Para desbloquear determinadas funciones de la aplicación, puedes adquirir Knowunity Pro.
4
Herramientas Inteligentes NUEVO
Transforma estos apuntes en: ✓ 50+ Preguntas de Práctica ✓ Flashcards Interactivas ✓ Examen Completo de Práctica ✓ Esquemas de Ensayo
Apuntes de 2° de bachillerato del Bloque I de Matemáticas. Suma, restay multiplicación de matrices, determinantes, matriz inversa, matriz identidad, sistemas de ecuaciones y problemas.
Resumen de tipos, operaciones matriciales (suma, resta, multiplicación, potencia) y propiedades. Transposicion, rango (GAUS), inversa (propiedades), ecuaciones y inversa a partir de una condición. Explicación detallada con ejemplos y soluciones.
Actividades resueltas y explicadas de matrices
Explicación de cómo aplicar las propiedades de los determinantes
Teoría y ejercicios de matrices
Maneras de estudiar el rango de una matriz
Sintexis de Lengua Castellana. Incluye las oraciones simples, los complementos y todas las oraciones compuestas
App Store
Google Play
La app es muy fácil de usar y está muy bien diseñada. Hasta ahora he encontrado todo lo que estaba buscando y he podido aprender mucho de las presentaciones. Definitivamente utilizaré la aplicación para un examen de clase. Y, por supuesto, también me sirve mucho de inspiración.
Pablo
usuario de iOS
Esta app es realmente genial. Hay tantos apuntes de clase y ayuda [...]. Tengo problemas con matemáticas, por ejemplo, y la aplicación tiene muchas opciones de ayuda. Gracias a Knowunity, he mejorado en mates. Se la recomiendo a todo el mundo.
Elena
usuaria de Android
Vaya, estoy realmente sorprendida. Acabo de probar la app porque la he visto anunciada muchas veces y me he quedado absolutamente alucinada. Esta app es LA AYUDA que quieres para el insti y, sobre todo, ofrece muchísimas cosas, como ejercicios y hojas informativas, que a mí personalmente me han sido MUY útiles.
Ana
usuaria de iOS
Está app es muy buena, tiene apuntes que son de mucha ayuda y su IA es fantástica, te explica a la perfección y muy fácil de entender lo que necesites, te ayuda con los deberes, te hace esquemas... en definitiva es una muy buena opción!
Sophia
usuario de Android
Me encanta!!! Me resuelve todo con detalle y me da la explicación correcta. Tiene un montón de funciones, ami me ha ido genial!! Os la recomiendo!!!
Marta
usuaria de Android
La uso casi diariamente, sirve para todas las asignaturas. Yo, por ejemplo la utilizo más en inglés porque se me da bastante mal, ¡Todas las respuestas están correctas! Consta con personas reales que suben sus apuntes y IA para que puedas hacer los deberes muchísimo más fácil, la recomiendo.
Izan
usuario de iOS
¡La app es buenísima! Sólo tengo que introducir el tema en la barra de búsqueda y recibo la respuesta muy rápido. No tengo que ver 10 vídeos de YouTube para entender algo, así que me ahorro tiempo. ¡Muy recomendable!
Sara
usuaria de Android
En el instituto era muy malo en matemáticas, pero gracias a la app, ahora saco mejores notas. Os agradezco mucho que hayáis creado la aplicación.
Roberto
usuario de Android
Esto no es como Chatgpt, es MUCHISMO MEJOR, te hace unos resúmenes espectaculares y gracias a esta app pase de sacar 5-6 a sacar 8-9.
Julyana
usuaria de Android
Es la mejor aplicación del mundo, la uso para revisar los deberes a mi hijo.
Javier
usuario de Android
LOS QUIZ Y FLASHCARDS SON SÚPER ÚTILES Y ME ENCANTA Knowunity IA. ADEMÁS ES LITERALMENTE COMO CHATGPT PERO MÁS LISTO!! ME AYUDÓ TAMBIÉN CON MIS PROBLEMAS DE MÁSCARA!! Y CON MIS ASIGNATURAS DE VERDAD! OBVIO 😍😁😲🤑💗✨🎀😮
Erick
usuario de Android
Me me encanta esta app, todo lo que tiene es de calidad ya que antes de ser publicado es revisado por un equipo de profesionales. Me ha ido genial esta aplicación ya que gracias a ella puedo estudiar mucho mejor, sin tener que agobiarme porque mi profesor no ha hecho teoría o porque no entiendo su teoría. Le doy un 10 de 10!
Mar
usuaria de iOS
La app es muy fácil de usar y está muy bien diseñada. Hasta ahora he encontrado todo lo que estaba buscando y he podido aprender mucho de las presentaciones. Definitivamente utilizaré la aplicación para un examen de clase. Y, por supuesto, también me sirve mucho de inspiración.
Pablo
usuario de iOS
Esta app es realmente genial. Hay tantos apuntes de clase y ayuda [...]. Tengo problemas con matemáticas, por ejemplo, y la aplicación tiene muchas opciones de ayuda. Gracias a Knowunity, he mejorado en mates. Se la recomiendo a todo el mundo.
Elena
usuaria de Android
Vaya, estoy realmente sorprendida. Acabo de probar la app porque la he visto anunciada muchas veces y me he quedado absolutamente alucinada. Esta app es LA AYUDA que quieres para el insti y, sobre todo, ofrece muchísimas cosas, como ejercicios y hojas informativas, que a mí personalmente me han sido MUY útiles.
Ana
usuaria de iOS
Está app es muy buena, tiene apuntes que son de mucha ayuda y su IA es fantástica, te explica a la perfección y muy fácil de entender lo que necesites, te ayuda con los deberes, te hace esquemas... en definitiva es una muy buena opción!
Sophia
usuario de Android
Me encanta!!! Me resuelve todo con detalle y me da la explicación correcta. Tiene un montón de funciones, ami me ha ido genial!! Os la recomiendo!!!
Marta
usuaria de Android
La uso casi diariamente, sirve para todas las asignaturas. Yo, por ejemplo la utilizo más en inglés porque se me da bastante mal, ¡Todas las respuestas están correctas! Consta con personas reales que suben sus apuntes y IA para que puedas hacer los deberes muchísimo más fácil, la recomiendo.
Izan
usuario de iOS
¡La app es buenísima! Sólo tengo que introducir el tema en la barra de búsqueda y recibo la respuesta muy rápido. No tengo que ver 10 vídeos de YouTube para entender algo, así que me ahorro tiempo. ¡Muy recomendable!
Sara
usuaria de Android
En el instituto era muy malo en matemáticas, pero gracias a la app, ahora saco mejores notas. Os agradezco mucho que hayáis creado la aplicación.
Roberto
usuario de Android
Esto no es como Chatgpt, es MUCHISMO MEJOR, te hace unos resúmenes espectaculares y gracias a esta app pase de sacar 5-6 a sacar 8-9.
Julyana
usuaria de Android
Es la mejor aplicación del mundo, la uso para revisar los deberes a mi hijo.
Javier
usuario de Android
LOS QUIZ Y FLASHCARDS SON SÚPER ÚTILES Y ME ENCANTA Knowunity IA. ADEMÁS ES LITERALMENTE COMO CHATGPT PERO MÁS LISTO!! ME AYUDÓ TAMBIÉN CON MIS PROBLEMAS DE MÁSCARA!! Y CON MIS ASIGNATURAS DE VERDAD! OBVIO 😍😁😲🤑💗✨🎀😮
Erick
usuario de Android
Me me encanta esta app, todo lo que tiene es de calidad ya que antes de ser publicado es revisado por un equipo de profesionales. Me ha ido genial esta aplicación ya que gracias a ella puedo estudiar mucho mejor, sin tener que agobiarme porque mi profesor no ha hecho teoría o porque no entiendo su teoría. Le doy un 10 de 10!
Mar
usuaria de iOS