¿Sabías que el azúcar que utilizas en tu café y... Mostrar más
Inscríbete para ver los apuntes¡Es gratis!
Acceso a todos los documentos
Mejora tus notas
Únete a millones de estudiantes
Knowunity AI
Asignaturas
Triangle Congruence and Similarity Theorems
Triangle Properties and Classification
Linear Equations and Graphs
Geometric Angle Relationships
Trigonometric Functions and Identities
Equation Solving Techniques
Circle Geometry Fundamentals
Division Operations and Methods
Basic Differentiation Rules
Exponent and Logarithm Properties
Mostrar todos los temas
Human Organ Systems
Reproductive Cell Cycles
Biological Sciences Subdisciplines
Cellular Energy Metabolism
Autotrophic Energy Processes
Inheritance Patterns and Principles
Biomolecular Structure and Organization
Cell Cycle and Division Mechanics
Cellular Organization and Development
Biological Structural Organization
Mostrar todos los temas
Chemical Sciences and Applications
Atomic Structure and Composition
Molecular Electron Structure Representation
Atomic Electron Behavior
Matter Properties and Water
Mole Concept and Calculations
Gas Laws and Behavior
Periodic Table Organization
Chemical Thermodynamics Fundamentals
Chemical Bond Types and Properties
Mostrar todos los temas
European Renaissance and Enlightenment
European Cultural Movements 800-1920
American Revolution Era 1763-1797
American Civil War 1861-1865
Global Imperial Systems
Mongol and Chinese Dynasties
U.S. Presidents and World Leaders
Historical Sources and Documentation
World Wars Era and Impact
World Religious Systems
Mostrar todos los temas
Classic and Contemporary Novels
Literary Character Analysis
Rhetorical Theory and Practice
Classic Literary Narratives
Reading Analysis and Interpretation
Narrative Structure and Techniques
English Language Components
Influential English-Language Authors
Basic Sentence Structure
Narrative Voice and Perspective
Mostrar todos los temas
625
•
Actualizado Apr 15, 2026
•
Elena Jabonero González
@elenajabonerogonzlez_rfhv
¿Sabías que el azúcar que utilizas en tu café y... Mostrar más






Los monosacáridos son como los ladrillos de construcción de todos los azúcares. Su fórmula básica es (CH₂O)ₙ y son en realidad polihidroxialdehídos o polihidroxicetonas, pero no te agobies con estos nombres tan largos.
Lo que realmente necesitas saber es que son sólidos blancos, súper solubles en agua (por eso se disuelven tan fácil), tienen sabor dulce y no se pueden hidrolizar porque ya son la unidad más pequeña. Además, son reductores, lo que significa que pueden donar electrones en reacciones químicas.
La isomería espacial es clave aquí. Cuando una molécula tiene carbonos asimétricos (con cuatro grupos diferentes), aparecen los enantiómeros tipo D y L. Para identificarlos, miras el -OH del carbono más alejado del grupo funcional: si está a la derecha es serie D, si está a la izquierda es serie L.
💡 Truco para el examen: Los epímeros solo cambian la posición del -OH en UN carbono (no en todos como los enantiómeros), por eso tienen propiedades diferentes.

Aquí es donde la cosa se pone interesante. Los monosacáridos con más de cuatro carbonos pueden formar ciclos cuando están en agua, gracias a su poder reductor.
Se forman dos tipos de anillos: piranosa (hexágono) para aldohexosas y furanosa (pentágono) para aldopentosas y cetopentosas. Cuando se cierra el ciclo, el carbono carbonílico se convierte en carbono anomérico.
Este carbono anomérico es súper importante porque da lugar a dos anómeros: el anómero α (OH hacia abajo) y el anómero β (OH hacia arriba). Esta diferencia puede parecer pequeña, pero marca una gran diferencia en las propiedades del azúcar.
💡 Dato curioso: El carbono anomérico conserva el poder reductor incluso después de formar el ciclo, por eso algunos azúcares siguen siendo reductores.

Los ósidos son monosacáridos que se unen mediante enlaces O-glucosídicos. Es como si los azúcares se dieran la mano liberando una molécula de agua en el proceso.
Hay dos tipos principales de enlace: monocarbonílico (conserva el poder reductor) y dicarbonílico (lo pierde completamente). La diferencia está en si uno o ambos carbonos anoméricos participan en el enlace.
Los disacáridos más importantes que debes conocer son: maltosa (dos glucosas, poder reductor, de la cebada), lactosa y sacarosa .
💡 Para recordar: Si el enlace es dicarbonílico, como en la sacarosa, no hay poder reductor. Si es monocarbonílico, como en maltosa y lactosa, sí lo conserva.

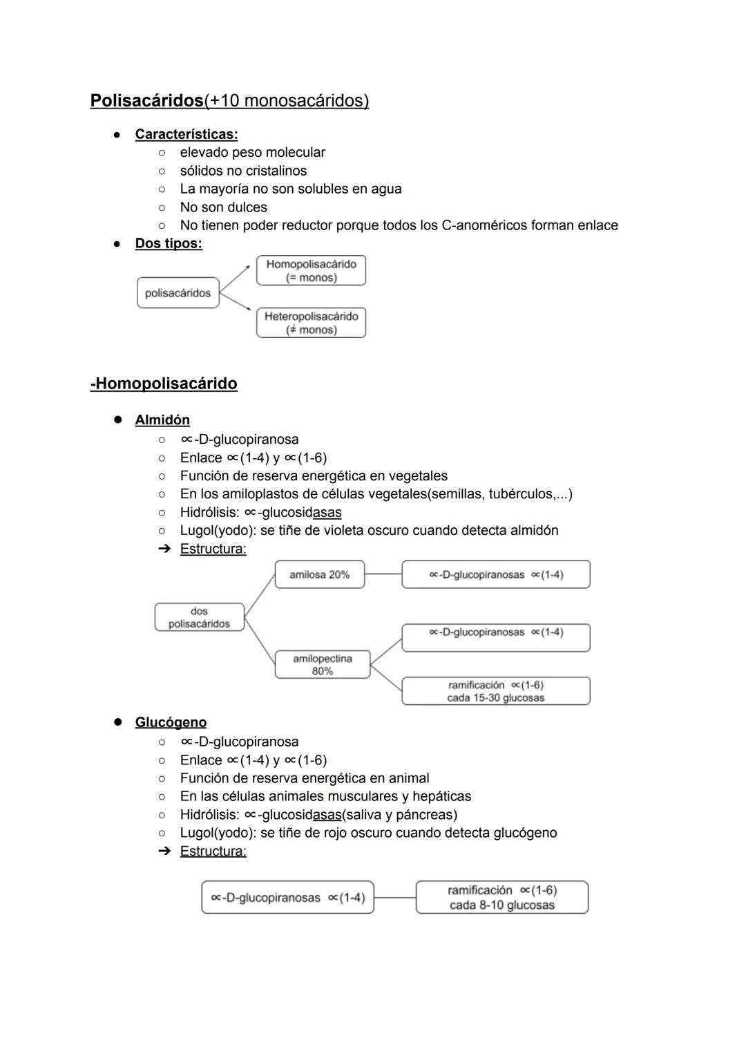
Los polisacáridos son las moléculas grandes del grupo, con más de 10 monosacáridos unidos. Son como almacenes de energía o materiales de construcción súper eficientes.
El almidón es el combustible de las plantas. Está hecho de α-D-glucosa con enlaces α(1-4) y tiene ramificaciones α(1-6). Se compone de amilosa (20%, cadenas lineales) y amilopectina (80%, muy ramificada). Cuando le echas yodo se pone violeta oscuro.
El glucógeno es la versión animal del almidón. Tiene la misma composición pero es mucho más ramificado . Lo encuentras en músculos e hígado, y con yodo se tiñe de rojo oscuro.
💡 Truco del laboratorio: Usa el test del lugol (yodo) para distinguir almidón (violeta) de glucógeno (rojo). ¡Nunca falla!

La celulosa es el material de construcción por excelencia de las plantas. Está hecha de β-D-glucosa con enlaces β(1-4), pero nosotros no podemos digerirla porque no tenemos las enzimas β-glucosidasas. Solo las bacterias, hongos y algunos simbiontes intestinales pueden hacerlo.
La quitina es como la celulosa del mundo animal y de los hongos. Forma los exoesqueletos de insectos y crustáceos, y está hecha de N-acetil-β-glucosa.
Los heteropolisacáridos como la pectina y hemicelulosas forman parte de las paredes celulares vegetales, mientras que el ácido hialurónico lubrica articulaciones y la heparina evita coágulos.
Los heterósidos combinan azúcares con otras moléculas: glucolípidos en membranas celulares y glucoproteínas con funciones súper variadas como defensa (inmunoglobulinas) o estructura (peptidoglicano bacteriano).
💡 Conexión real: La diferencia entre almidón (que digieres) y celulosa (que no) está solo en el tipo de enlace: α vs β. ¡Un pequeño cambio, gran diferencia!
Nuestro compañero de IA está específicamente adaptado a las necesidades de los estudiantes. Basándonos en los millones de contenidos que tenemos en la plataforma, podemos dar a los estudiantes respuestas realmente significativas y relevantes. Pero no se trata solo de respuestas, el compañero también guía a los estudiantes a través de sus retos de aprendizaje diarios, con planes de aprendizaje personalizados, cuestionarios o contenidos en el chat y una personalización del 100% basada en las habilidades y el desarrollo de los estudiantes.
Puedes descargar la app en Google Play Store y Apple App Store.
Sí, tienes acceso gratuito a los contenidos de la aplicación y a nuestro compañero de IA. Para desbloquear determinadas funciones de la aplicación, puedes adquirir Knowunity Pro.
App Store
Google Play
La app es muy fácil de usar y está muy bien diseñada. Hasta ahora he encontrado todo lo que estaba buscando y he podido aprender mucho de las presentaciones. Definitivamente utilizaré la aplicación para un examen de clase. Y, por supuesto, también me sirve mucho de inspiración.
Pablo
usuario de iOS
Esta app es realmente genial. Hay tantos apuntes de clase y ayuda [...]. Tengo problemas con matemáticas, por ejemplo, y la aplicación tiene muchas opciones de ayuda. Gracias a Knowunity, he mejorado en mates. Se la recomiendo a todo el mundo.
Elena
usuaria de Android
Vaya, estoy realmente sorprendida. Acabo de probar la app porque la he visto anunciada muchas veces y me he quedado absolutamente alucinada. Esta app es LA AYUDA que quieres para el insti y, sobre todo, ofrece muchísimas cosas, como ejercicios y hojas informativas, que a mí personalmente me han sido MUY útiles.
Ana
usuaria de iOS
Está app es muy buena, tiene apuntes que son de mucha ayuda y su IA es fantástica, te explica a la perfección y muy fácil de entender lo que necesites, te ayuda con los deberes, te hace esquemas... en definitiva es una muy buena opción!
Sophia
usuario de Android
Me encanta!!! Me resuelve todo con detalle y me da la explicación correcta. Tiene un montón de funciones, ami me ha ido genial!! Os la recomiendo!!!
Marta
usuaria de Android
La uso casi diariamente, sirve para todas las asignaturas. Yo, por ejemplo la utilizo más en inglés porque se me da bastante mal, ¡Todas las respuestas están correctas! Consta con personas reales que suben sus apuntes y IA para que puedas hacer los deberes muchísimo más fácil, la recomiendo.
Izan
usuario de iOS
¡La app es buenísima! Sólo tengo que introducir el tema en la barra de búsqueda y recibo la respuesta muy rápido. No tengo que ver 10 vídeos de YouTube para entender algo, así que me ahorro tiempo. ¡Muy recomendable!
Sara
usuaria de Android
En el instituto era muy malo en matemáticas, pero gracias a la app, ahora saco mejores notas. Os agradezco mucho que hayáis creado la aplicación.
Roberto
usuario de Android
Esto no es como Chatgpt, es MUCHISMO MEJOR, te hace unos resúmenes espectaculares y gracias a esta app pase de sacar 5-6 a sacar 8-9.
Julyana
usuaria de Android
Es la mejor aplicación del mundo, la uso para revisar los deberes a mi hijo.
Javier
usuario de Android
LOS QUIZ Y FLASHCARDS SON SÚPER ÚTILES Y ME ENCANTA Knowunity IA. ADEMÁS ES LITERALMENTE COMO CHATGPT PERO MÁS LISTO!! ME AYUDÓ TAMBIÉN CON MIS PROBLEMAS DE MÁSCARA!! Y CON MIS ASIGNATURAS DE VERDAD! OBVIO 😍😁😲🤑💗✨🎀😮
Erick
usuario de Android
Me me encanta esta app, todo lo que tiene es de calidad ya que antes de ser publicado es revisado por un equipo de profesionales. Me ha ido genial esta aplicación ya que gracias a ella puedo estudiar mucho mejor, sin tener que agobiarme porque mi profesor no ha hecho teoría o porque no entiendo su teoría. Le doy un 10 de 10!
Mar
usuaria de iOS
La app es muy fácil de usar y está muy bien diseñada. Hasta ahora he encontrado todo lo que estaba buscando y he podido aprender mucho de las presentaciones. Definitivamente utilizaré la aplicación para un examen de clase. Y, por supuesto, también me sirve mucho de inspiración.
Pablo
usuario de iOS
Esta app es realmente genial. Hay tantos apuntes de clase y ayuda [...]. Tengo problemas con matemáticas, por ejemplo, y la aplicación tiene muchas opciones de ayuda. Gracias a Knowunity, he mejorado en mates. Se la recomiendo a todo el mundo.
Elena
usuaria de Android
Vaya, estoy realmente sorprendida. Acabo de probar la app porque la he visto anunciada muchas veces y me he quedado absolutamente alucinada. Esta app es LA AYUDA que quieres para el insti y, sobre todo, ofrece muchísimas cosas, como ejercicios y hojas informativas, que a mí personalmente me han sido MUY útiles.
Ana
usuaria de iOS
Está app es muy buena, tiene apuntes que son de mucha ayuda y su IA es fantástica, te explica a la perfección y muy fácil de entender lo que necesites, te ayuda con los deberes, te hace esquemas... en definitiva es una muy buena opción!
Sophia
usuario de Android
Me encanta!!! Me resuelve todo con detalle y me da la explicación correcta. Tiene un montón de funciones, ami me ha ido genial!! Os la recomiendo!!!
Marta
usuaria de Android
La uso casi diariamente, sirve para todas las asignaturas. Yo, por ejemplo la utilizo más en inglés porque se me da bastante mal, ¡Todas las respuestas están correctas! Consta con personas reales que suben sus apuntes y IA para que puedas hacer los deberes muchísimo más fácil, la recomiendo.
Izan
usuario de iOS
¡La app es buenísima! Sólo tengo que introducir el tema en la barra de búsqueda y recibo la respuesta muy rápido. No tengo que ver 10 vídeos de YouTube para entender algo, así que me ahorro tiempo. ¡Muy recomendable!
Sara
usuaria de Android
En el instituto era muy malo en matemáticas, pero gracias a la app, ahora saco mejores notas. Os agradezco mucho que hayáis creado la aplicación.
Roberto
usuario de Android
Esto no es como Chatgpt, es MUCHISMO MEJOR, te hace unos resúmenes espectaculares y gracias a esta app pase de sacar 5-6 a sacar 8-9.
Julyana
usuaria de Android
Es la mejor aplicación del mundo, la uso para revisar los deberes a mi hijo.
Javier
usuario de Android
LOS QUIZ Y FLASHCARDS SON SÚPER ÚTILES Y ME ENCANTA Knowunity IA. ADEMÁS ES LITERALMENTE COMO CHATGPT PERO MÁS LISTO!! ME AYUDÓ TAMBIÉN CON MIS PROBLEMAS DE MÁSCARA!! Y CON MIS ASIGNATURAS DE VERDAD! OBVIO 😍😁😲🤑💗✨🎀😮
Erick
usuario de Android
Me me encanta esta app, todo lo que tiene es de calidad ya que antes de ser publicado es revisado por un equipo de profesionales. Me ha ido genial esta aplicación ya que gracias a ella puedo estudiar mucho mejor, sin tener que agobiarme porque mi profesor no ha hecho teoría o porque no entiendo su teoría. Le doy un 10 de 10!
Mar
usuaria de iOS
Elena Jabonero González
@elenajabonerogonzlez_rfhv
¿Sabías que el azúcar que utilizas en tu café y la madera de tu escritorio están hechos de los mismos componentes básicos? Los glúcidoso hidratos de carbono son moléculas súper importantes que van desde los azúcares simples hasta estructuras... Mostrar más

Acceso a todos los documentos
Mejora tus notas
Únete a millones de estudiantes
Los monosacáridos son como los ladrillos de construcción de todos los azúcares. Su fórmula básica es (CH₂O)ₙ y son en realidad polihidroxialdehídos o polihidroxicetonas, pero no te agobies con estos nombres tan largos.
Lo que realmente necesitas saber es que son sólidos blancos, súper solubles en agua (por eso se disuelven tan fácil), tienen sabor dulce y no se pueden hidrolizar porque ya son la unidad más pequeña. Además, son reductores, lo que significa que pueden donar electrones en reacciones químicas.
La isomería espacial es clave aquí. Cuando una molécula tiene carbonos asimétricos (con cuatro grupos diferentes), aparecen los enantiómeros tipo D y L. Para identificarlos, miras el -OH del carbono más alejado del grupo funcional: si está a la derecha es serie D, si está a la izquierda es serie L.
💡 Truco para el examen: Los epímeros solo cambian la posición del -OH en UN carbono (no en todos como los enantiómeros), por eso tienen propiedades diferentes.

Acceso a todos los documentos
Mejora tus notas
Únete a millones de estudiantes
Aquí es donde la cosa se pone interesante. Los monosacáridos con más de cuatro carbonos pueden formar ciclos cuando están en agua, gracias a su poder reductor.
Se forman dos tipos de anillos: piranosa (hexágono) para aldohexosas y furanosa (pentágono) para aldopentosas y cetopentosas. Cuando se cierra el ciclo, el carbono carbonílico se convierte en carbono anomérico.
Este carbono anomérico es súper importante porque da lugar a dos anómeros: el anómero α (OH hacia abajo) y el anómero β (OH hacia arriba). Esta diferencia puede parecer pequeña, pero marca una gran diferencia en las propiedades del azúcar.
💡 Dato curioso: El carbono anomérico conserva el poder reductor incluso después de formar el ciclo, por eso algunos azúcares siguen siendo reductores.

Acceso a todos los documentos
Mejora tus notas
Únete a millones de estudiantes
Los ósidos son monosacáridos que se unen mediante enlaces O-glucosídicos. Es como si los azúcares se dieran la mano liberando una molécula de agua en el proceso.
Hay dos tipos principales de enlace: monocarbonílico (conserva el poder reductor) y dicarbonílico (lo pierde completamente). La diferencia está en si uno o ambos carbonos anoméricos participan en el enlace.
Los disacáridos más importantes que debes conocer son: maltosa (dos glucosas, poder reductor, de la cebada), lactosa y sacarosa .
💡 Para recordar: Si el enlace es dicarbonílico, como en la sacarosa, no hay poder reductor. Si es monocarbonílico, como en maltosa y lactosa, sí lo conserva.

Acceso a todos los documentos
Mejora tus notas
Únete a millones de estudiantes
Los polisacáridos son las moléculas grandes del grupo, con más de 10 monosacáridos unidos. Son como almacenes de energía o materiales de construcción súper eficientes.
El almidón es el combustible de las plantas. Está hecho de α-D-glucosa con enlaces α(1-4) y tiene ramificaciones α(1-6). Se compone de amilosa (20%, cadenas lineales) y amilopectina (80%, muy ramificada). Cuando le echas yodo se pone violeta oscuro.
El glucógeno es la versión animal del almidón. Tiene la misma composición pero es mucho más ramificado . Lo encuentras en músculos e hígado, y con yodo se tiñe de rojo oscuro.
💡 Truco del laboratorio: Usa el test del lugol (yodo) para distinguir almidón (violeta) de glucógeno (rojo). ¡Nunca falla!

Acceso a todos los documentos
Mejora tus notas
Únete a millones de estudiantes
La celulosa es el material de construcción por excelencia de las plantas. Está hecha de β-D-glucosa con enlaces β(1-4), pero nosotros no podemos digerirla porque no tenemos las enzimas β-glucosidasas. Solo las bacterias, hongos y algunos simbiontes intestinales pueden hacerlo.
La quitina es como la celulosa del mundo animal y de los hongos. Forma los exoesqueletos de insectos y crustáceos, y está hecha de N-acetil-β-glucosa.
Los heteropolisacáridos como la pectina y hemicelulosas forman parte de las paredes celulares vegetales, mientras que el ácido hialurónico lubrica articulaciones y la heparina evita coágulos.
Los heterósidos combinan azúcares con otras moléculas: glucolípidos en membranas celulares y glucoproteínas con funciones súper variadas como defensa (inmunoglobulinas) o estructura (peptidoglicano bacteriano).
💡 Conexión real: La diferencia entre almidón (que digieres) y celulosa (que no) está solo en el tipo de enlace: α vs β. ¡Un pequeño cambio, gran diferencia!
Nuestro compañero de IA está específicamente adaptado a las necesidades de los estudiantes. Basándonos en los millones de contenidos que tenemos en la plataforma, podemos dar a los estudiantes respuestas realmente significativas y relevantes. Pero no se trata solo de respuestas, el compañero también guía a los estudiantes a través de sus retos de aprendizaje diarios, con planes de aprendizaje personalizados, cuestionarios o contenidos en el chat y una personalización del 100% basada en las habilidades y el desarrollo de los estudiantes.
Puedes descargar la app en Google Play Store y Apple App Store.
Sí, tienes acceso gratuito a los contenidos de la aplicación y a nuestro compañero de IA. Para desbloquear determinadas funciones de la aplicación, puedes adquirir Knowunity Pro.
7
Herramientas Inteligentes NUEVO
Transforma estos apuntes en: ✓ 50+ Preguntas de Práctica ✓ Flashcards Interactivas ✓ Examen Completo de Práctica ✓ Esquemas de Ensayo
Unidades básicas de glúcidos con propiedades solubles en agua, dulces y reductoras. Nomenclatura y derivados de interés.
Tema sobre la célula y la teoría celular. Estructura celular. Tipos de células.
App Store
Google Play
La app es muy fácil de usar y está muy bien diseñada. Hasta ahora he encontrado todo lo que estaba buscando y he podido aprender mucho de las presentaciones. Definitivamente utilizaré la aplicación para un examen de clase. Y, por supuesto, también me sirve mucho de inspiración.
Pablo
usuario de iOS
Esta app es realmente genial. Hay tantos apuntes de clase y ayuda [...]. Tengo problemas con matemáticas, por ejemplo, y la aplicación tiene muchas opciones de ayuda. Gracias a Knowunity, he mejorado en mates. Se la recomiendo a todo el mundo.
Elena
usuaria de Android
Vaya, estoy realmente sorprendida. Acabo de probar la app porque la he visto anunciada muchas veces y me he quedado absolutamente alucinada. Esta app es LA AYUDA que quieres para el insti y, sobre todo, ofrece muchísimas cosas, como ejercicios y hojas informativas, que a mí personalmente me han sido MUY útiles.
Ana
usuaria de iOS
Está app es muy buena, tiene apuntes que son de mucha ayuda y su IA es fantástica, te explica a la perfección y muy fácil de entender lo que necesites, te ayuda con los deberes, te hace esquemas... en definitiva es una muy buena opción!
Sophia
usuario de Android
Me encanta!!! Me resuelve todo con detalle y me da la explicación correcta. Tiene un montón de funciones, ami me ha ido genial!! Os la recomiendo!!!
Marta
usuaria de Android
La uso casi diariamente, sirve para todas las asignaturas. Yo, por ejemplo la utilizo más en inglés porque se me da bastante mal, ¡Todas las respuestas están correctas! Consta con personas reales que suben sus apuntes y IA para que puedas hacer los deberes muchísimo más fácil, la recomiendo.
Izan
usuario de iOS
¡La app es buenísima! Sólo tengo que introducir el tema en la barra de búsqueda y recibo la respuesta muy rápido. No tengo que ver 10 vídeos de YouTube para entender algo, así que me ahorro tiempo. ¡Muy recomendable!
Sara
usuaria de Android
En el instituto era muy malo en matemáticas, pero gracias a la app, ahora saco mejores notas. Os agradezco mucho que hayáis creado la aplicación.
Roberto
usuario de Android
Esto no es como Chatgpt, es MUCHISMO MEJOR, te hace unos resúmenes espectaculares y gracias a esta app pase de sacar 5-6 a sacar 8-9.
Julyana
usuaria de Android
Es la mejor aplicación del mundo, la uso para revisar los deberes a mi hijo.
Javier
usuario de Android
LOS QUIZ Y FLASHCARDS SON SÚPER ÚTILES Y ME ENCANTA Knowunity IA. ADEMÁS ES LITERALMENTE COMO CHATGPT PERO MÁS LISTO!! ME AYUDÓ TAMBIÉN CON MIS PROBLEMAS DE MÁSCARA!! Y CON MIS ASIGNATURAS DE VERDAD! OBVIO 😍😁😲🤑💗✨🎀😮
Erick
usuario de Android
Me me encanta esta app, todo lo que tiene es de calidad ya que antes de ser publicado es revisado por un equipo de profesionales. Me ha ido genial esta aplicación ya que gracias a ella puedo estudiar mucho mejor, sin tener que agobiarme porque mi profesor no ha hecho teoría o porque no entiendo su teoría. Le doy un 10 de 10!
Mar
usuaria de iOS
La app es muy fácil de usar y está muy bien diseñada. Hasta ahora he encontrado todo lo que estaba buscando y he podido aprender mucho de las presentaciones. Definitivamente utilizaré la aplicación para un examen de clase. Y, por supuesto, también me sirve mucho de inspiración.
Pablo
usuario de iOS
Esta app es realmente genial. Hay tantos apuntes de clase y ayuda [...]. Tengo problemas con matemáticas, por ejemplo, y la aplicación tiene muchas opciones de ayuda. Gracias a Knowunity, he mejorado en mates. Se la recomiendo a todo el mundo.
Elena
usuaria de Android
Vaya, estoy realmente sorprendida. Acabo de probar la app porque la he visto anunciada muchas veces y me he quedado absolutamente alucinada. Esta app es LA AYUDA que quieres para el insti y, sobre todo, ofrece muchísimas cosas, como ejercicios y hojas informativas, que a mí personalmente me han sido MUY útiles.
Ana
usuaria de iOS
Está app es muy buena, tiene apuntes que son de mucha ayuda y su IA es fantástica, te explica a la perfección y muy fácil de entender lo que necesites, te ayuda con los deberes, te hace esquemas... en definitiva es una muy buena opción!
Sophia
usuario de Android
Me encanta!!! Me resuelve todo con detalle y me da la explicación correcta. Tiene un montón de funciones, ami me ha ido genial!! Os la recomiendo!!!
Marta
usuaria de Android
La uso casi diariamente, sirve para todas las asignaturas. Yo, por ejemplo la utilizo más en inglés porque se me da bastante mal, ¡Todas las respuestas están correctas! Consta con personas reales que suben sus apuntes y IA para que puedas hacer los deberes muchísimo más fácil, la recomiendo.
Izan
usuario de iOS
¡La app es buenísima! Sólo tengo que introducir el tema en la barra de búsqueda y recibo la respuesta muy rápido. No tengo que ver 10 vídeos de YouTube para entender algo, así que me ahorro tiempo. ¡Muy recomendable!
Sara
usuaria de Android
En el instituto era muy malo en matemáticas, pero gracias a la app, ahora saco mejores notas. Os agradezco mucho que hayáis creado la aplicación.
Roberto
usuario de Android
Esto no es como Chatgpt, es MUCHISMO MEJOR, te hace unos resúmenes espectaculares y gracias a esta app pase de sacar 5-6 a sacar 8-9.
Julyana
usuaria de Android
Es la mejor aplicación del mundo, la uso para revisar los deberes a mi hijo.
Javier
usuario de Android
LOS QUIZ Y FLASHCARDS SON SÚPER ÚTILES Y ME ENCANTA Knowunity IA. ADEMÁS ES LITERALMENTE COMO CHATGPT PERO MÁS LISTO!! ME AYUDÓ TAMBIÉN CON MIS PROBLEMAS DE MÁSCARA!! Y CON MIS ASIGNATURAS DE VERDAD! OBVIO 😍😁😲🤑💗✨🎀😮
Erick
usuario de Android
Me me encanta esta app, todo lo que tiene es de calidad ya que antes de ser publicado es revisado por un equipo de profesionales. Me ha ido genial esta aplicación ya que gracias a ella puedo estudiar mucho mejor, sin tener que agobiarme porque mi profesor no ha hecho teoría o porque no entiendo su teoría. Le doy un 10 de 10!
Mar
usuaria de iOS