Abrir la app

Asignaturas

1675

8 ene 2026

16 páginas

Todo sobre la Ley de Gravitación Universal y las Leyes de Kepler

La ley de gravitación universalestablecida por Isaac Newton es... Mostrar más

Page 1
Page 2
Page 3
Page 4
Page 5
Page 6
Page 7
Page 8
Page 9
Page 10
1 / 10

<p>La ley de gravitación universal es fundamental para comprender las interacciones gravitatorias entre los cuerpos celestes. Esta ley esta

Fundamentos de la Ley de Gravitación Universal y Leyes de Kepler

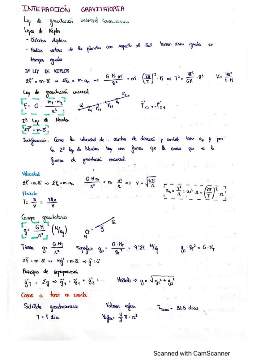
La ley de gravitación universal establecida por Isaac Newton describe la fuerza de atracción entre dos cuerpos con masa. Esta fuerza es directamente proporcional al producto de sus masas e inversamente proporcional al cuadrado de la distancia que los separa. La ley de la gravedad newton se expresa mediante la fórmula:

F = G(m₁·m₂)/r²

Donde G es la constante de gravitación universal cuyo valor es 6.67×10⁻¹¹ N·m²/kg². Las unidades g constante gravedad se expresan en N·m²/kg². Esta ley fundamental explica tanto la caída de los objetos en la Tierra como el movimiento de los planetas.

Las leyes de Kepler complementan la teoría gravitacional describiendo el movimiento de los planetas. La primera ley de Kepler establece que las órbitas son elípticas con el Sol en uno de sus focos. La segunda ley de Kepler indica que el radio vector que une un planeta con el Sol barre áreas iguales en tiempos iguales. La tercera ley de Kepler relaciona los períodos de revolución con los semiejes mayores de las órbitas.

Definición: La gravedad es una de las cuatro fuerzas fundamentales del universo y es responsable de mantener unidos los sistemas planetarios y las galaxias.


<p>La ley de gravitación universal es fundamental para comprender las interacciones gravitatorias entre los cuerpos celestes. Esta ley esta

Campo Gravitatorio y Energía Potencial

El campo gravitatorio describe la influencia gravitatoria en cada punto del espacio. La intensidad del campo gravitatorio terrestre (g) viene dada por la fórmula:

g = GM/r²

La constante g 9.81 m/s² representa la aceleración de la gravedad en la superficie terrestre. Este valor varía según la altura y la latitud.

La ley de gravitación universal forma vectorial permite calcular la fuerza gravitatoria considerando la dirección y sentido:

F = -Gm1m2/r2m₁m₂/r²·ûᵣ

Ejemplo: Un satélite geoestacionario mantiene una órbita circular sobre el ecuador terrestre con un período de 24 horas, permitiendo que permanezca aparentemente inmóvil sobre un punto de la Tierra.


<p>La ley de gravitación universal es fundamental para comprender las interacciones gravitatorias entre los cuerpos celestes. Esta ley esta

Aplicaciones de la Ley de Gravitación Universal

Los ejemplos ley de gravitación universal incluyen el cálculo de órbitas satelitales, la predicción de mareas y el lanzamiento de sondas espaciales. En el contexto de ley de gravitación universal 2 eso, se estudian aplicaciones básicas como el peso de los objetos y la caída libre.

La famosa historia de la ley de la gravedad newton manzana ilustra cómo Newton relacionó la caída de una manzana con el movimiento orbital de la Luna, unificando la física terrestre y celeste.

Para ley de gravitación universal 2 bachillerato, se profundiza en conceptos como la energía potencial gravitatoria y el trabajo realizado por el campo gravitatorio.

Destacado: La teoría de Newton explicó por primera vez de manera unificada el movimiento de los cuerpos celestes y los objetos terrestres.


<p>La ley de gravitación universal es fundamental para comprender las interacciones gravitatorias entre los cuerpos celestes. Esta ley esta

Energía y Trabajo en el Campo Gravitatorio

El trabajo realizado por la fuerza gravitatoria entre dos puntos depende solo de las posiciones inicial y final, siendo una fuerza conservativa. La energía mecánica se conserva en ausencia de fuerzas no conservativas.

La velocidad de escape, derivada de la ley de gravitación universal, es la mínima velocidad necesaria para que un objeto escape del campo gravitatorio de un cuerpo celeste:

v = √2GM/r2GM/r

En órbitas circulares, la fuerza centrípeta necesaria es proporcionada por la gravedad, permitiendo calcular velocidades orbitales y períodos de revolución.

Vocabulario: La velocidad de escape es la velocidad mínima necesaria para que un objeto supere completamente la atracción gravitatoria de un cuerpo celeste sin necesidad de propulsión adicional.


<p>La ley de gravitación universal es fundamental para comprender las interacciones gravitatorias entre los cuerpos celestes. Esta ley esta

Interacción Magnética y Campo Magnético

El campo magnético es una región del espacio donde se manifiestan las fuerzas magnéticas. La ley de gravitación universal nos ayuda a entender cómo interactúan las partículas cargadas con estos campos. Cuando una partícula cargada se mueve en presencia de un campo magnético, experimenta una fuerza conocida como Fuerza de Lorentz.

Definición: La Fuerza de Lorentz es la fuerza que experimenta una partícula cargada cuando se mueve en presencia de un campo magnético. Se expresa como F = qv × B, donde q es la carga, v la velocidad y B el campo magnético.

El movimiento de las partículas cargadas en campos magnéticos sigue patrones específicos. Cuando la velocidad es perpendicular al campo magnético, la partícula describe una trayectoria circular. Si la velocidad tiene componentes paralela y perpendicular al campo, la trayectoria resultante es una hélice. La constante de gravitación universal influye indirectamente en estos movimientos a través de la interacción con otras fuerzas.

Los selectores de velocidad y espectrómetros de masas son aplicaciones prácticas fundamentales de la interacción magnética. El selector de velocidad utiliza campos eléctricos y magnéticos perpendiculares para seleccionar partículas con una velocidad específica, mientras que el espectrómetro de masas separa partículas según su masa, permitiendo identificar isótopos de elementos químicos.


<p>La ley de gravitación universal es fundamental para comprender las interacciones gravitatorias entre los cuerpos celestes. Esta ley esta

Campos Magnéticos Creados por Corrientes Eléctricas

La ley de la gravedad Newton tiene su análogo en el magnetismo a través de la Ley de Biot-Savart, que describe cómo las corrientes eléctricas generan campos magnéticos. Esta ley es fundamental para entender la interacción entre conductores y campos magnéticos.

Ejemplo: Un conductor rectilíneo por el que circula una corriente I genera un campo magnético circular alrededor del conductor. La intensidad del campo depende de la distancia al conductor y de la intensidad de la corriente.

Las espiras y solenoides son configuraciones especiales de conductores que generan campos magnéticos útiles. Una espira circular genera un campo magnético similar al de un imán pequeño, mientras que un solenoide (bobina) produce un campo magnético uniforme en su interior, similar al de un imán permanente.

La interacción entre corrientes paralelas demuestra la naturaleza fundamental de las fuerzas magnéticas. Dos conductores paralelos por los que circulan corrientes en el mismo sentido se atraen, mientras que si las corrientes van en sentidos opuestos, se repelen.


<p>La ley de gravitación universal es fundamental para comprender las interacciones gravitatorias entre los cuerpos celestes. Esta ley esta

Inducción Electromagnética

La inducción electromagnética, descubierta por Faraday, es un fenómeno fundamental que relaciona los campos magnéticos con la generación de corrientes eléctricas. Este principio es la base de la generación de electricidad en las centrales eléctricas modernas.

Vocabulario: El flujo magnético (Φ) es una medida de la cantidad de campo magnético que atraviesa una superficie. Se mide en weber (Wb) y es fundamental para entender la inducción electromagnética.

La Ley de Faraday-Lenz establece que la fuerza electromotriz inducida en un circuito es proporcional a la variación del flujo magnético que lo atraviesa. El signo negativo en la ley (Ley de Lenz) indica que la corriente inducida genera un campo magnético que se opone a la variación del flujo que la produjo.

Las aplicaciones prácticas incluyen los generadores eléctricos y los transformadores. En los generadores, el movimiento mecánico se convierte en energía eléctrica mediante la inducción electromagnética, mientras que los transformadores utilizan este principio para cambiar los valores de voltaje en la distribución de energía eléctrica.


<p>La ley de gravitación universal es fundamental para comprender las interacciones gravitatorias entre los cuerpos celestes. Esta ley esta

Movimiento Ondulatorio y Ondas Electromagnéticas

El movimiento ondulatorio es fundamental para entender cómo se propaga la energía en el espacio. Las ondas electromagnéticas, que no requieren un medio material para propagarse, son un ejemplo perfecto de este fenómeno.

Highlight: Las ondas electromagnéticas son la base de las telecomunicaciones modernas, desde la radio hasta el internet inalámbrico, y se propagan a la velocidad de la luz en el vacío.

Las ondas pueden clasificarse según su dirección de propagación (unidimensionales, bidimensionales o tridimensionales) y según su naturaleza (mecánicas o electromagnéticas). La función de onda describe matemáticamente cómo se propaga la perturbación en el espacio y el tiempo.

Las magnitudes fundamentales de las ondas incluyen la amplitud, el período, la frecuencia y la longitud de onda. La energía transportada por una onda armónica depende del cuadrado de su amplitud y de su frecuencia, lo que tiene importantes implicaciones en aplicaciones prácticas como las comunicaciones y la transmisión de energía.


<p>La ley de gravitación universal es fundamental para comprender las interacciones gravitatorias entre los cuerpos celestes. Esta ley esta

Las Leyes de Kepler y la Gravitación Universal

La ley de la gravitación universal establecida por Newton representa uno de los pilares fundamentales de la física clásica. Esta ley describe cómo todos los cuerpos del universo se atraen entre sí con una fuerza directamente proporcional al producto de sus masas e inversamente proporcional al cuadrado de la distancia que los separa. La ley de gravitación universal fórmula se expresa como F = G(m₁m₂)/r², donde G es la constante de gravitación universal cuyo valor es 6.67 × 10⁻¹¹ N·m²/kg².

Las leyes de Kepler complementan perfectamente la ley de gravitación universal, describiendo el movimiento de los planetas alrededor del Sol. La primera ley de Kepler establece que las órbitas de los planetas son elípticas, con el Sol ubicado en uno de sus focos. La segunda ley de Kepler indica que una línea imaginaria que une un planeta con el Sol barre áreas iguales en tiempos iguales. La tercera ley de Kepler relaciona los períodos orbitales de los planetas con sus distancias medias al Sol.

Definición: La constante g 9.81 representa la aceleración de la gravedad en la superficie terrestre, siendo un caso particular de la ley de gravitación universal cuando uno de los cuerpos es la Tierra.


<p>La ley de gravitación universal es fundamental para comprender las interacciones gravitatorias entre los cuerpos celestes. Esta ley esta

Aplicaciones y Forma Vectorial de la Gravitación

La ley de gravitación universal forma vectorial permite calcular no solo la magnitud de la fuerza gravitatoria sino también su dirección. Esta formulación es especialmente útil cuando se estudian sistemas con múltiples cuerpos, como en la mecánica celeste. Para estudiantes de ley de gravitación universal 2 eso, es fundamental comprender que la fuerza gravitatoria siempre actúa en la línea que une los centros de masa de los cuerpos.

La famosa historia de la ley de la gravedad newton manzana ilustra cómo Newton llegó a comprender que la misma fuerza que hace caer una manzana es la que mantiene a la Luna en órbita alrededor de la Tierra. Este concepto unificador revolucionó nuestra comprensión del universo y sentó las bases para el estudio de la mecánica celeste moderna.

Ejemplo: En el caso de la ley de gravitación universal 2 bachillerato, se pueden resolver problemas prácticos como calcular la fuerza de atracción entre la Tierra y la Luna, o determinar la velocidad de escape necesaria para que un objeto abandone la atracción gravitatoria terrestre.

La aplicación de estas leyes ha permitido numerosos avances tecnológicos, desde el lanzamiento de satélites hasta la predicción de eclipses y el cálculo de trayectorias interplanetarias. Las leyes de Kepler fórmulas siguen siendo fundamentales en la astronomía moderna y la exploración espacial.



Pensamos que nunca lo preguntarías...

¿Qué es Knowunity AI companion?

Nuestro compañero de IA está específicamente adaptado a las necesidades de los estudiantes. Basándonos en los millones de contenidos que tenemos en la plataforma, podemos dar a los estudiantes respuestas realmente significativas y relevantes. Pero no se trata solo de respuestas, el compañero también guía a los estudiantes a través de sus retos de aprendizaje diarios, con planes de aprendizaje personalizados, cuestionarios o contenidos en el chat y una personalización del 100% basada en las habilidades y el desarrollo de los estudiantes.

¿Dónde puedo descargar la app Knowunity?

Puedes descargar la app en Google Play Store y Apple App Store.

¿Knowunity es totalmente gratuito?

Sí, tienes acceso gratuito a los contenidos de la aplicación y a nuestro compañero de IA. Para desbloquear determinadas funciones de la aplicación, puedes adquirir Knowunity Pro.

¿No encuentras lo que buscas? Explora otros temas.

Mira lo que dicen nuestros usuarios. Les encanta - y a tí también.

4.9/5

App Store

4.8/5

Google Play

La app es muy fácil de usar y está muy bien diseñada. Hasta ahora he encontrado todo lo que estaba buscando y he podido aprender mucho de las presentaciones. Definitivamente utilizaré la aplicación para un examen de clase. Y, por supuesto, también me sirve mucho de inspiración.

Pablo

usuario de iOS

Esta app es realmente genial. Hay tantos apuntes de clase y ayuda [...]. Tengo problemas con matemáticas, por ejemplo, y la aplicación tiene muchas opciones de ayuda. Gracias a Knowunity, he mejorado en mates. Se la recomiendo a todo el mundo.

Elena

usuaria de Android

Vaya, estoy realmente sorprendida. Acabo de probar la app porque la he visto anunciada muchas veces y me he quedado absolutamente alucinada. Esta app es LA AYUDA que quieres para el insti y, sobre todo, ofrece muchísimas cosas, como ejercicios y hojas informativas, que a mí personalmente me han sido MUY útiles.

Ana

usuaria de iOS

Está app es muy buena, tiene apuntes que son de mucha ayuda y su IA es fantástica, te explica a la perfección y muy fácil de entender lo que necesites, te ayuda con los deberes, te hace esquemas... en definitiva es una muy buena opción!

Sophia

usuario de Android

Me encanta!!! Me resuelve todo con detalle y me da la explicación correcta. Tiene un montón de funciones, ami me ha ido genial!! Os la recomiendo!!!

Marta

usuaria de Android

La uso casi diariamente, sirve para todas las asignaturas. Yo, por ejemplo la utilizo más en inglés porque se me da bastante mal, ¡Todas las respuestas están correctas! Consta con personas reales que suben sus apuntes y IA para que puedas hacer los deberes muchísimo más fácil, la recomiendo.

Izan

usuario de iOS

¡La app es buenísima! Sólo tengo que introducir el tema en la barra de búsqueda y recibo la respuesta muy rápido. No tengo que ver 10 vídeos de YouTube para entender algo, así que me ahorro tiempo. ¡Muy recomendable!

Sara

usuaria de Android

En el instituto era muy malo en matemáticas, pero gracias a la app, ahora saco mejores notas. Os agradezco mucho que hayáis creado la aplicación.

Roberto

usuario de Android

Esto no es como Chatgpt, es MUCHISMO MEJOR, te hace unos resúmenes espectaculares y gracias a esta app pase de sacar 5-6 a sacar 8-9.

Julyana

usuaria de Android

Es la mejor aplicación del mundo, la uso para revisar los deberes a mi hijo.

Javier

usuario de Android

LOS QUIZ Y FLASHCARDS SON SÚPER ÚTILES Y ME ENCANTA Knowunity IA. ADEMÁS ES LITERALMENTE COMO CHATGPT PERO MÁS LISTO!! ME AYUDÓ TAMBIÉN CON MIS PROBLEMAS DE MÁSCARA!! Y CON MIS ASIGNATURAS DE VERDAD! OBVIO 😍😁😲🤑💗✨🎀😮

Erick

usuario de Android

Me me encanta esta app, todo lo que tiene es de calidad ya que antes de ser publicado es revisado por un equipo de profesionales. Me ha ido genial esta aplicación ya que gracias a ella puedo estudiar mucho mejor, sin tener que agobiarme porque mi profesor no ha hecho teoría o porque no entiendo su teoría. Le doy un 10 de 10!

Mar

usuaria de iOS

La app es muy fácil de usar y está muy bien diseñada. Hasta ahora he encontrado todo lo que estaba buscando y he podido aprender mucho de las presentaciones. Definitivamente utilizaré la aplicación para un examen de clase. Y, por supuesto, también me sirve mucho de inspiración.

Pablo

usuario de iOS

Esta app es realmente genial. Hay tantos apuntes de clase y ayuda [...]. Tengo problemas con matemáticas, por ejemplo, y la aplicación tiene muchas opciones de ayuda. Gracias a Knowunity, he mejorado en mates. Se la recomiendo a todo el mundo.

Elena

usuaria de Android

Vaya, estoy realmente sorprendida. Acabo de probar la app porque la he visto anunciada muchas veces y me he quedado absolutamente alucinada. Esta app es LA AYUDA que quieres para el insti y, sobre todo, ofrece muchísimas cosas, como ejercicios y hojas informativas, que a mí personalmente me han sido MUY útiles.

Ana

usuaria de iOS

Está app es muy buena, tiene apuntes que son de mucha ayuda y su IA es fantástica, te explica a la perfección y muy fácil de entender lo que necesites, te ayuda con los deberes, te hace esquemas... en definitiva es una muy buena opción!

Sophia

usuario de Android

Me encanta!!! Me resuelve todo con detalle y me da la explicación correcta. Tiene un montón de funciones, ami me ha ido genial!! Os la recomiendo!!!

Marta

usuaria de Android

La uso casi diariamente, sirve para todas las asignaturas. Yo, por ejemplo la utilizo más en inglés porque se me da bastante mal, ¡Todas las respuestas están correctas! Consta con personas reales que suben sus apuntes y IA para que puedas hacer los deberes muchísimo más fácil, la recomiendo.

Izan

usuario de iOS

¡La app es buenísima! Sólo tengo que introducir el tema en la barra de búsqueda y recibo la respuesta muy rápido. No tengo que ver 10 vídeos de YouTube para entender algo, así que me ahorro tiempo. ¡Muy recomendable!

Sara

usuaria de Android

En el instituto era muy malo en matemáticas, pero gracias a la app, ahora saco mejores notas. Os agradezco mucho que hayáis creado la aplicación.

Roberto

usuario de Android

Esto no es como Chatgpt, es MUCHISMO MEJOR, te hace unos resúmenes espectaculares y gracias a esta app pase de sacar 5-6 a sacar 8-9.

Julyana

usuaria de Android

Es la mejor aplicación del mundo, la uso para revisar los deberes a mi hijo.

Javier

usuario de Android

LOS QUIZ Y FLASHCARDS SON SÚPER ÚTILES Y ME ENCANTA Knowunity IA. ADEMÁS ES LITERALMENTE COMO CHATGPT PERO MÁS LISTO!! ME AYUDÓ TAMBIÉN CON MIS PROBLEMAS DE MÁSCARA!! Y CON MIS ASIGNATURAS DE VERDAD! OBVIO 😍😁😲🤑💗✨🎀😮

Erick

usuario de Android

Me me encanta esta app, todo lo que tiene es de calidad ya que antes de ser publicado es revisado por un equipo de profesionales. Me ha ido genial esta aplicación ya que gracias a ella puedo estudiar mucho mejor, sin tener que agobiarme porque mi profesor no ha hecho teoría o porque no entiendo su teoría. Le doy un 10 de 10!

Mar

usuaria de iOS

 

Física

1675

8 ene 2026

16 páginas

Todo sobre la Ley de Gravitación Universal y las Leyes de Kepler

La ley de gravitación universal establecida por Isaac Newton es uno de los principios fundamentales de la física que explica la atracción entre cuerpos masivos en el universo.

La fórmula de la ley de gravitación universalestablece que la fuerza... Mostrar más


<p>La ley de gravitación universal es fundamental para comprender las interacciones gravitatorias entre los cuerpos celestes. Esta ley esta

Inscríbete para ver los apuntes¡Es gratis!

Acceso a todos los documentos

Mejora tus notas

Únete a millones de estudiantes

Al registrarte aceptas las Condiciones del servicio y la Política de privacidad.

Fundamentos de la Ley de Gravitación Universal y Leyes de Kepler

La ley de gravitación universal establecida por Isaac Newton describe la fuerza de atracción entre dos cuerpos con masa. Esta fuerza es directamente proporcional al producto de sus masas e inversamente proporcional al cuadrado de la distancia que los separa. La ley de la gravedad newton se expresa mediante la fórmula:

F = G(m₁·m₂)/r²

Donde G es la constante de gravitación universal cuyo valor es 6.67×10⁻¹¹ N·m²/kg². Las unidades g constante gravedad se expresan en N·m²/kg². Esta ley fundamental explica tanto la caída de los objetos en la Tierra como el movimiento de los planetas.

Las leyes de Kepler complementan la teoría gravitacional describiendo el movimiento de los planetas. La primera ley de Kepler establece que las órbitas son elípticas con el Sol en uno de sus focos. La segunda ley de Kepler indica que el radio vector que une un planeta con el Sol barre áreas iguales en tiempos iguales. La tercera ley de Kepler relaciona los períodos de revolución con los semiejes mayores de las órbitas.

Definición: La gravedad es una de las cuatro fuerzas fundamentales del universo y es responsable de mantener unidos los sistemas planetarios y las galaxias.


<p>La ley de gravitación universal es fundamental para comprender las interacciones gravitatorias entre los cuerpos celestes. Esta ley esta

Inscríbete para ver los apuntes¡Es gratis!

Acceso a todos los documentos

Mejora tus notas

Únete a millones de estudiantes

Al registrarte aceptas las Condiciones del servicio y la Política de privacidad.

Campo Gravitatorio y Energía Potencial

El campo gravitatorio describe la influencia gravitatoria en cada punto del espacio. La intensidad del campo gravitatorio terrestre (g) viene dada por la fórmula:

g = GM/r²

La constante g 9.81 m/s² representa la aceleración de la gravedad en la superficie terrestre. Este valor varía según la altura y la latitud.

La ley de gravitación universal forma vectorial permite calcular la fuerza gravitatoria considerando la dirección y sentido:

F = -Gm1m2/r2m₁m₂/r²·ûᵣ

Ejemplo: Un satélite geoestacionario mantiene una órbita circular sobre el ecuador terrestre con un período de 24 horas, permitiendo que permanezca aparentemente inmóvil sobre un punto de la Tierra.


<p>La ley de gravitación universal es fundamental para comprender las interacciones gravitatorias entre los cuerpos celestes. Esta ley esta

Inscríbete para ver los apuntes¡Es gratis!

Acceso a todos los documentos

Mejora tus notas

Únete a millones de estudiantes

Al registrarte aceptas las Condiciones del servicio y la Política de privacidad.

Aplicaciones de la Ley de Gravitación Universal

Los ejemplos ley de gravitación universal incluyen el cálculo de órbitas satelitales, la predicción de mareas y el lanzamiento de sondas espaciales. En el contexto de ley de gravitación universal 2 eso, se estudian aplicaciones básicas como el peso de los objetos y la caída libre.

La famosa historia de la ley de la gravedad newton manzana ilustra cómo Newton relacionó la caída de una manzana con el movimiento orbital de la Luna, unificando la física terrestre y celeste.

Para ley de gravitación universal 2 bachillerato, se profundiza en conceptos como la energía potencial gravitatoria y el trabajo realizado por el campo gravitatorio.

Destacado: La teoría de Newton explicó por primera vez de manera unificada el movimiento de los cuerpos celestes y los objetos terrestres.


<p>La ley de gravitación universal es fundamental para comprender las interacciones gravitatorias entre los cuerpos celestes. Esta ley esta

Inscríbete para ver los apuntes¡Es gratis!

Acceso a todos los documentos

Mejora tus notas

Únete a millones de estudiantes

Al registrarte aceptas las Condiciones del servicio y la Política de privacidad.

Energía y Trabajo en el Campo Gravitatorio

El trabajo realizado por la fuerza gravitatoria entre dos puntos depende solo de las posiciones inicial y final, siendo una fuerza conservativa. La energía mecánica se conserva en ausencia de fuerzas no conservativas.

La velocidad de escape, derivada de la ley de gravitación universal, es la mínima velocidad necesaria para que un objeto escape del campo gravitatorio de un cuerpo celeste:

v = √2GM/r2GM/r

En órbitas circulares, la fuerza centrípeta necesaria es proporcionada por la gravedad, permitiendo calcular velocidades orbitales y períodos de revolución.

Vocabulario: La velocidad de escape es la velocidad mínima necesaria para que un objeto supere completamente la atracción gravitatoria de un cuerpo celeste sin necesidad de propulsión adicional.


<p>La ley de gravitación universal es fundamental para comprender las interacciones gravitatorias entre los cuerpos celestes. Esta ley esta

Inscríbete para ver los apuntes¡Es gratis!

Acceso a todos los documentos

Mejora tus notas

Únete a millones de estudiantes

Al registrarte aceptas las Condiciones del servicio y la Política de privacidad.

Interacción Magnética y Campo Magnético

El campo magnético es una región del espacio donde se manifiestan las fuerzas magnéticas. La ley de gravitación universal nos ayuda a entender cómo interactúan las partículas cargadas con estos campos. Cuando una partícula cargada se mueve en presencia de un campo magnético, experimenta una fuerza conocida como Fuerza de Lorentz.

Definición: La Fuerza de Lorentz es la fuerza que experimenta una partícula cargada cuando se mueve en presencia de un campo magnético. Se expresa como F = qv × B, donde q es la carga, v la velocidad y B el campo magnético.

El movimiento de las partículas cargadas en campos magnéticos sigue patrones específicos. Cuando la velocidad es perpendicular al campo magnético, la partícula describe una trayectoria circular. Si la velocidad tiene componentes paralela y perpendicular al campo, la trayectoria resultante es una hélice. La constante de gravitación universal influye indirectamente en estos movimientos a través de la interacción con otras fuerzas.

Los selectores de velocidad y espectrómetros de masas son aplicaciones prácticas fundamentales de la interacción magnética. El selector de velocidad utiliza campos eléctricos y magnéticos perpendiculares para seleccionar partículas con una velocidad específica, mientras que el espectrómetro de masas separa partículas según su masa, permitiendo identificar isótopos de elementos químicos.


<p>La ley de gravitación universal es fundamental para comprender las interacciones gravitatorias entre los cuerpos celestes. Esta ley esta

Inscríbete para ver los apuntes¡Es gratis!

Acceso a todos los documentos

Mejora tus notas

Únete a millones de estudiantes

Al registrarte aceptas las Condiciones del servicio y la Política de privacidad.

Campos Magnéticos Creados por Corrientes Eléctricas

La ley de la gravedad Newton tiene su análogo en el magnetismo a través de la Ley de Biot-Savart, que describe cómo las corrientes eléctricas generan campos magnéticos. Esta ley es fundamental para entender la interacción entre conductores y campos magnéticos.

Ejemplo: Un conductor rectilíneo por el que circula una corriente I genera un campo magnético circular alrededor del conductor. La intensidad del campo depende de la distancia al conductor y de la intensidad de la corriente.

Las espiras y solenoides son configuraciones especiales de conductores que generan campos magnéticos útiles. Una espira circular genera un campo magnético similar al de un imán pequeño, mientras que un solenoide (bobina) produce un campo magnético uniforme en su interior, similar al de un imán permanente.

La interacción entre corrientes paralelas demuestra la naturaleza fundamental de las fuerzas magnéticas. Dos conductores paralelos por los que circulan corrientes en el mismo sentido se atraen, mientras que si las corrientes van en sentidos opuestos, se repelen.


<p>La ley de gravitación universal es fundamental para comprender las interacciones gravitatorias entre los cuerpos celestes. Esta ley esta

Inscríbete para ver los apuntes¡Es gratis!

Acceso a todos los documentos

Mejora tus notas

Únete a millones de estudiantes

Al registrarte aceptas las Condiciones del servicio y la Política de privacidad.

Inducción Electromagnética

La inducción electromagnética, descubierta por Faraday, es un fenómeno fundamental que relaciona los campos magnéticos con la generación de corrientes eléctricas. Este principio es la base de la generación de electricidad en las centrales eléctricas modernas.

Vocabulario: El flujo magnético (Φ) es una medida de la cantidad de campo magnético que atraviesa una superficie. Se mide en weber (Wb) y es fundamental para entender la inducción electromagnética.

La Ley de Faraday-Lenz establece que la fuerza electromotriz inducida en un circuito es proporcional a la variación del flujo magnético que lo atraviesa. El signo negativo en la ley (Ley de Lenz) indica que la corriente inducida genera un campo magnético que se opone a la variación del flujo que la produjo.

Las aplicaciones prácticas incluyen los generadores eléctricos y los transformadores. En los generadores, el movimiento mecánico se convierte en energía eléctrica mediante la inducción electromagnética, mientras que los transformadores utilizan este principio para cambiar los valores de voltaje en la distribución de energía eléctrica.


<p>La ley de gravitación universal es fundamental para comprender las interacciones gravitatorias entre los cuerpos celestes. Esta ley esta

Inscríbete para ver los apuntes¡Es gratis!

Acceso a todos los documentos

Mejora tus notas

Únete a millones de estudiantes

Al registrarte aceptas las Condiciones del servicio y la Política de privacidad.

Movimiento Ondulatorio y Ondas Electromagnéticas

El movimiento ondulatorio es fundamental para entender cómo se propaga la energía en el espacio. Las ondas electromagnéticas, que no requieren un medio material para propagarse, son un ejemplo perfecto de este fenómeno.

Highlight: Las ondas electromagnéticas son la base de las telecomunicaciones modernas, desde la radio hasta el internet inalámbrico, y se propagan a la velocidad de la luz en el vacío.

Las ondas pueden clasificarse según su dirección de propagación (unidimensionales, bidimensionales o tridimensionales) y según su naturaleza (mecánicas o electromagnéticas). La función de onda describe matemáticamente cómo se propaga la perturbación en el espacio y el tiempo.

Las magnitudes fundamentales de las ondas incluyen la amplitud, el período, la frecuencia y la longitud de onda. La energía transportada por una onda armónica depende del cuadrado de su amplitud y de su frecuencia, lo que tiene importantes implicaciones en aplicaciones prácticas como las comunicaciones y la transmisión de energía.


<p>La ley de gravitación universal es fundamental para comprender las interacciones gravitatorias entre los cuerpos celestes. Esta ley esta

Inscríbete para ver los apuntes¡Es gratis!

Acceso a todos los documentos

Mejora tus notas

Únete a millones de estudiantes

Al registrarte aceptas las Condiciones del servicio y la Política de privacidad.

Las Leyes de Kepler y la Gravitación Universal

La ley de la gravitación universal establecida por Newton representa uno de los pilares fundamentales de la física clásica. Esta ley describe cómo todos los cuerpos del universo se atraen entre sí con una fuerza directamente proporcional al producto de sus masas e inversamente proporcional al cuadrado de la distancia que los separa. La ley de gravitación universal fórmula se expresa como F = G(m₁m₂)/r², donde G es la constante de gravitación universal cuyo valor es 6.67 × 10⁻¹¹ N·m²/kg².

Las leyes de Kepler complementan perfectamente la ley de gravitación universal, describiendo el movimiento de los planetas alrededor del Sol. La primera ley de Kepler establece que las órbitas de los planetas son elípticas, con el Sol ubicado en uno de sus focos. La segunda ley de Kepler indica que una línea imaginaria que une un planeta con el Sol barre áreas iguales en tiempos iguales. La tercera ley de Kepler relaciona los períodos orbitales de los planetas con sus distancias medias al Sol.

Definición: La constante g 9.81 representa la aceleración de la gravedad en la superficie terrestre, siendo un caso particular de la ley de gravitación universal cuando uno de los cuerpos es la Tierra.


<p>La ley de gravitación universal es fundamental para comprender las interacciones gravitatorias entre los cuerpos celestes. Esta ley esta

Inscríbete para ver los apuntes¡Es gratis!

Acceso a todos los documentos

Mejora tus notas

Únete a millones de estudiantes

Al registrarte aceptas las Condiciones del servicio y la Política de privacidad.

Aplicaciones y Forma Vectorial de la Gravitación

La ley de gravitación universal forma vectorial permite calcular no solo la magnitud de la fuerza gravitatoria sino también su dirección. Esta formulación es especialmente útil cuando se estudian sistemas con múltiples cuerpos, como en la mecánica celeste. Para estudiantes de ley de gravitación universal 2 eso, es fundamental comprender que la fuerza gravitatoria siempre actúa en la línea que une los centros de masa de los cuerpos.

La famosa historia de la ley de la gravedad newton manzana ilustra cómo Newton llegó a comprender que la misma fuerza que hace caer una manzana es la que mantiene a la Luna en órbita alrededor de la Tierra. Este concepto unificador revolucionó nuestra comprensión del universo y sentó las bases para el estudio de la mecánica celeste moderna.

Ejemplo: En el caso de la ley de gravitación universal 2 bachillerato, se pueden resolver problemas prácticos como calcular la fuerza de atracción entre la Tierra y la Luna, o determinar la velocidad de escape necesaria para que un objeto abandone la atracción gravitatoria terrestre.

La aplicación de estas leyes ha permitido numerosos avances tecnológicos, desde el lanzamiento de satélites hasta la predicción de eclipses y el cálculo de trayectorias interplanetarias. Las leyes de Kepler fórmulas siguen siendo fundamentales en la astronomía moderna y la exploración espacial.

Pensamos que nunca lo preguntarías...

¿Qué es Knowunity AI companion?

Nuestro compañero de IA está específicamente adaptado a las necesidades de los estudiantes. Basándonos en los millones de contenidos que tenemos en la plataforma, podemos dar a los estudiantes respuestas realmente significativas y relevantes. Pero no se trata solo de respuestas, el compañero también guía a los estudiantes a través de sus retos de aprendizaje diarios, con planes de aprendizaje personalizados, cuestionarios o contenidos en el chat y una personalización del 100% basada en las habilidades y el desarrollo de los estudiantes.

¿Dónde puedo descargar la app Knowunity?

Puedes descargar la app en Google Play Store y Apple App Store.

¿Knowunity es totalmente gratuito?

Sí, tienes acceso gratuito a los contenidos de la aplicación y a nuestro compañero de IA. Para desbloquear determinadas funciones de la aplicación, puedes adquirir Knowunity Pro.

70

Herramientas Inteligentes NUEVO

Transforma estos apuntes en: ✓ 50+ Preguntas de Práctica ✓ Flashcards Interactivas ✓ Examen Completo de Práctica ✓ Esquemas de Ensayo

Examen de Práctica
Quiz
Fichas
Ensayo

¿No encuentras lo que buscas? Explora otros temas.

Mira lo que dicen nuestros usuarios. Les encanta - y a tí también.

4.9/5

App Store

4.8/5

Google Play

La app es muy fácil de usar y está muy bien diseñada. Hasta ahora he encontrado todo lo que estaba buscando y he podido aprender mucho de las presentaciones. Definitivamente utilizaré la aplicación para un examen de clase. Y, por supuesto, también me sirve mucho de inspiración.

Pablo

usuario de iOS

Esta app es realmente genial. Hay tantos apuntes de clase y ayuda [...]. Tengo problemas con matemáticas, por ejemplo, y la aplicación tiene muchas opciones de ayuda. Gracias a Knowunity, he mejorado en mates. Se la recomiendo a todo el mundo.

Elena

usuaria de Android

Vaya, estoy realmente sorprendida. Acabo de probar la app porque la he visto anunciada muchas veces y me he quedado absolutamente alucinada. Esta app es LA AYUDA que quieres para el insti y, sobre todo, ofrece muchísimas cosas, como ejercicios y hojas informativas, que a mí personalmente me han sido MUY útiles.

Ana

usuaria de iOS

Está app es muy buena, tiene apuntes que son de mucha ayuda y su IA es fantástica, te explica a la perfección y muy fácil de entender lo que necesites, te ayuda con los deberes, te hace esquemas... en definitiva es una muy buena opción!

Sophia

usuario de Android

Me encanta!!! Me resuelve todo con detalle y me da la explicación correcta. Tiene un montón de funciones, ami me ha ido genial!! Os la recomiendo!!!

Marta

usuaria de Android

La uso casi diariamente, sirve para todas las asignaturas. Yo, por ejemplo la utilizo más en inglés porque se me da bastante mal, ¡Todas las respuestas están correctas! Consta con personas reales que suben sus apuntes y IA para que puedas hacer los deberes muchísimo más fácil, la recomiendo.

Izan

usuario de iOS

¡La app es buenísima! Sólo tengo que introducir el tema en la barra de búsqueda y recibo la respuesta muy rápido. No tengo que ver 10 vídeos de YouTube para entender algo, así que me ahorro tiempo. ¡Muy recomendable!

Sara

usuaria de Android

En el instituto era muy malo en matemáticas, pero gracias a la app, ahora saco mejores notas. Os agradezco mucho que hayáis creado la aplicación.

Roberto

usuario de Android

Esto no es como Chatgpt, es MUCHISMO MEJOR, te hace unos resúmenes espectaculares y gracias a esta app pase de sacar 5-6 a sacar 8-9.

Julyana

usuaria de Android

Es la mejor aplicación del mundo, la uso para revisar los deberes a mi hijo.

Javier

usuario de Android

LOS QUIZ Y FLASHCARDS SON SÚPER ÚTILES Y ME ENCANTA Knowunity IA. ADEMÁS ES LITERALMENTE COMO CHATGPT PERO MÁS LISTO!! ME AYUDÓ TAMBIÉN CON MIS PROBLEMAS DE MÁSCARA!! Y CON MIS ASIGNATURAS DE VERDAD! OBVIO 😍😁😲🤑💗✨🎀😮

Erick

usuario de Android

Me me encanta esta app, todo lo que tiene es de calidad ya que antes de ser publicado es revisado por un equipo de profesionales. Me ha ido genial esta aplicación ya que gracias a ella puedo estudiar mucho mejor, sin tener que agobiarme porque mi profesor no ha hecho teoría o porque no entiendo su teoría. Le doy un 10 de 10!

Mar

usuaria de iOS

La app es muy fácil de usar y está muy bien diseñada. Hasta ahora he encontrado todo lo que estaba buscando y he podido aprender mucho de las presentaciones. Definitivamente utilizaré la aplicación para un examen de clase. Y, por supuesto, también me sirve mucho de inspiración.

Pablo

usuario de iOS

Esta app es realmente genial. Hay tantos apuntes de clase y ayuda [...]. Tengo problemas con matemáticas, por ejemplo, y la aplicación tiene muchas opciones de ayuda. Gracias a Knowunity, he mejorado en mates. Se la recomiendo a todo el mundo.

Elena

usuaria de Android

Vaya, estoy realmente sorprendida. Acabo de probar la app porque la he visto anunciada muchas veces y me he quedado absolutamente alucinada. Esta app es LA AYUDA que quieres para el insti y, sobre todo, ofrece muchísimas cosas, como ejercicios y hojas informativas, que a mí personalmente me han sido MUY útiles.

Ana

usuaria de iOS

Está app es muy buena, tiene apuntes que son de mucha ayuda y su IA es fantástica, te explica a la perfección y muy fácil de entender lo que necesites, te ayuda con los deberes, te hace esquemas... en definitiva es una muy buena opción!

Sophia

usuario de Android

Me encanta!!! Me resuelve todo con detalle y me da la explicación correcta. Tiene un montón de funciones, ami me ha ido genial!! Os la recomiendo!!!

Marta

usuaria de Android

La uso casi diariamente, sirve para todas las asignaturas. Yo, por ejemplo la utilizo más en inglés porque se me da bastante mal, ¡Todas las respuestas están correctas! Consta con personas reales que suben sus apuntes y IA para que puedas hacer los deberes muchísimo más fácil, la recomiendo.

Izan

usuario de iOS

¡La app es buenísima! Sólo tengo que introducir el tema en la barra de búsqueda y recibo la respuesta muy rápido. No tengo que ver 10 vídeos de YouTube para entender algo, así que me ahorro tiempo. ¡Muy recomendable!

Sara

usuaria de Android

En el instituto era muy malo en matemáticas, pero gracias a la app, ahora saco mejores notas. Os agradezco mucho que hayáis creado la aplicación.

Roberto

usuario de Android

Esto no es como Chatgpt, es MUCHISMO MEJOR, te hace unos resúmenes espectaculares y gracias a esta app pase de sacar 5-6 a sacar 8-9.

Julyana

usuaria de Android

Es la mejor aplicación del mundo, la uso para revisar los deberes a mi hijo.

Javier

usuario de Android

LOS QUIZ Y FLASHCARDS SON SÚPER ÚTILES Y ME ENCANTA Knowunity IA. ADEMÁS ES LITERALMENTE COMO CHATGPT PERO MÁS LISTO!! ME AYUDÓ TAMBIÉN CON MIS PROBLEMAS DE MÁSCARA!! Y CON MIS ASIGNATURAS DE VERDAD! OBVIO 😍😁😲🤑💗✨🎀😮

Erick

usuario de Android

Me me encanta esta app, todo lo que tiene es de calidad ya que antes de ser publicado es revisado por un equipo de profesionales. Me ha ido genial esta aplicación ya que gracias a ella puedo estudiar mucho mejor, sin tener que agobiarme porque mi profesor no ha hecho teoría o porque no entiendo su teoría. Le doy un 10 de 10!

Mar

usuaria de iOS