En este repaso de matemáticas para 4º ESO (Opción A),... Mostrar más
Inscríbete para ver los apuntes¡Es gratis!
Acceso a todos los documentos
Mejora tus notas
Únete a millones de estudiantes
Knowunity AI
Asignaturas
Triangle Congruence and Similarity Theorems
Triangle Properties and Classification
Linear Equations and Graphs
Geometric Angle Relationships
Trigonometric Functions and Identities
Equation Solving Techniques
Circle Geometry Fundamentals
Division Operations and Methods
Basic Differentiation Rules
Exponent and Logarithm Properties
Mostrar todos los temas
Human Organ Systems
Reproductive Cell Cycles
Biological Sciences Subdisciplines
Cellular Energy Metabolism
Autotrophic Energy Processes
Inheritance Patterns and Principles
Biomolecular Structure and Organization
Cell Cycle and Division Mechanics
Cellular Organization and Development
Biological Structural Organization
Mostrar todos los temas
Chemical Sciences and Applications
Atomic Structure and Composition
Molecular Electron Structure Representation
Atomic Electron Behavior
Matter Properties and Water
Mole Concept and Calculations
Gas Laws and Behavior
Periodic Table Organization
Chemical Thermodynamics Fundamentals
Chemical Bond Types and Properties
Mostrar todos los temas
European Renaissance and Enlightenment
European Cultural Movements 800-1920
American Revolution Era 1763-1797
American Civil War 1861-1865
Global Imperial Systems
Mongol and Chinese Dynasties
U.S. Presidents and World Leaders
Historical Sources and Documentation
World Wars Era and Impact
World Religious Systems
Mostrar todos los temas
Classic and Contemporary Novels
Literary Character Analysis
Rhetorical Theory and Practice
Classic Literary Narratives
Reading Analysis and Interpretation
Narrative Structure and Techniques
English Language Components
Influential English-Language Authors
Basic Sentence Structure
Narrative Voice and Perspective
Mostrar todos los temas
1,057
•
Actualizado Mar 22, 2026
•
LUCAS 👑
@lucas_nose
En este repaso de matemáticas para 4º ESO (Opción A),... Mostrar más











Las operaciones con números enteros y racionales son fundamentales para avanzar en matemáticas. Estos ejercicios te ayudan a practicar la jerarquía de operaciones y el manejo de fracciones.
Para resolver ejercicios como , recuerda seguir el orden: primero paréntesis, después potencias, luego multiplicaciones y divisiones, y finalmente sumas y restas. Aplica correctamente las reglas de signos (cuando multiplicas o divides números con signos distintos, el resultado es negativo).
Al trabajar con fracciones, debes encontrar el denominador común antes de sumar o restar. Por ejemplo, para $4-\frac{3}{4}$, primero resuelve el paréntesis, luego multiplica y finalmente resta.
💡 Consejo práctico: Ante operaciones combinadas, organiza tu trabajo por pasos. Resuelve primero lo que está dentro de paréntesis, luego aplica potencias y raíces, después multiplica o divide, y finalmente suma o resta.

Los problemas con fracciones te permiten aplicar las matemáticas a situaciones reales. Dominarlos te dará herramientas para resolver cuestiones prácticas en tu vida cotidiana.
Para resolver estos problemas, convierte las situaciones en expresiones matemáticas. Por ejemplo, en el problema 2, si un depósito contiene 3000 litros y se vacían los del mismo, multiplicas: $3000 \times \frac{3}{8} = 11253000 - 1125 = 1875$ litros.
Cuando comparas velocidades como en el problema 3 (un motorista recorre 90 km en tres cuartos de hora y otro recorre 60 km en media hora), debes calcular la velocidad de cada uno:
Los porcentajes se pueden trabajar como fracciones. Un 30% es equivalente a o . Esto es útil para problemas como el 9 donde necesitas calcular cuántos alumnos cursan Bachillerato.
💡 Recuerda: Las fracciones son divisiones no efectuadas. Puedes convertir entre porcentajes, fracciones y decimales según lo que necesites para resolver el problema.

Estos problemas combinan distintos tipos de fracciones y porcentajes para situaciones más complejas. Son excelentes para prepararte para exámenes y desarrollar tu pensamiento lógico.
En el problema 11, tres amigos invierten dinero: el primero pone del total, el segundo del resto. Si planteas la ecuación correctamente, podrás calcular cuánto aporta cada uno y qué fracción corresponde al tercero.
Los problemas con porcentajes consecutivos requieren especial atención. En el problema 12, al aplicar primero un aumento del 30% y luego un descuento del 30% sobre el nuevo precio, no vuelves al precio original. Puedes comprobarlo con cálculos:
En el problema 20, necesitas trabajar hacia atrás: si sobran 15 millones y representan lo que queda después de destinar porcentajes específicos, debes plantear ecuaciones para encontrar el total inicial.
💡 Truco matemático: En problemas de mezclas (como el 4 con pintura), asegúrate de que la suma de todas las fracciones sea igual a 1 (el total). Esto te ayuda a verificar tus cálculos.

Las potencias y la notación científica te permiten trabajar con números muy grandes o muy pequeños de forma más sencilla. Son especialmente importantes en ciencias.
Para simplificar expresiones como , recuerda estas propiedades:
Las potencias con exponente negativo significan inversos: . Por ejemplo, $3^{-2} = \frac{1}{3^2} = \frac{1}{9}$.
La notación científica expresa números como producto de un número entre 1 y 10, y una potencia de 10: $4'23 \cdot 10^4 = 42.300$. Para multiplicar números en notación científica:
💡 Importante: Al resolver expresiones con potencias, primero calcula las potencias con exponentes negativos transformándolas en fracciones, luego aplica las propiedades de potencias para simplificar antes de hacer operaciones.

Los números reales incluyen expresiones con raíces que necesitan técnicas específicas para operar con ellas. El álgebra nos ayuda a expresar relaciones matemáticas mediante variables.
Para simplificar raíces como , recuerda:
La racionalización consiste en eliminar raíces del denominador multiplicando numerador y denominador por la misma expresión. Por ejemplo, para racionalizar , multiplicas por obteniendo .
En álgebra, necesitas traducir frases al lenguaje matemático. Por ejemplo, "El triple de un número menos tres unidades" se escribe como $3x - 3$.
Los monomios son expresiones algebraicas con una única parte. Tienen:
💡 Consejo: Al manipular raíces, intenta siempre simplificarlas primero. Busca factores cuadrados perfectos dentro de la raíz para extraerlos.

Las ecuaciones son herramientas poderosas para resolver problemas. Aprender a resolverlas correctamente te dará ventaja en muchas áreas de las matemáticas.
Para resolver ecuaciones de primer grado como :
En ecuaciones de segundo grado como :
Las identidades notables son muy útiles para desarrollar expresiones como . Las principales son:
💡 Estrategia clave: En ecuaciones con fracciones, multiplica por el mcm de los denominadores para eliminarlos. Simplifica siempre que puedas antes de aplicar la fórmula cuadrática en ecuaciones de segundo grado.

Las ecuaciones con radicales y los sistemas de ecuaciones requieren técnicas especiales pero son muy útiles para resolver problemas complejos.
Para resolver ecuaciones con radicales como :
En sistemas de ecuaciones como , puedes usar:
Las inecuaciones se resuelven de forma similar a las ecuaciones, pero dan intervalos de solución. Recuerda cambiar el sentido de la desigualdad cuando multiplicas o divides por números negativos.
💡 Atención: Al resolver ecuaciones con radicales, siempre verifica las soluciones en la ecuación original. Elevar al cuadrado puede introducir soluciones que no son válidas en la ecuación inicial.

Los problemas algebraicos te permiten aplicar ecuaciones y sistemas para resolver situaciones reales. Dominarlos te ayudará a desarrollar tu pensamiento lógico y analítico.
Para resolver estos problemas:
Por ejemplo, en el problema 16 (un padre reparte 100€ dando 20€ más al hijo mayor):
En el problema 23 (conejos y gallinas con 58 cabezas y 168 patas):
💡 Estrategia útil: En problemas de mezclas, edades o distancias, dibuja un esquema para visualizar mejor la situación. En problemas de animales o personas con diferente número de patas/cabezas, cuenta el total de estos elementos para plantear las ecuaciones.

Estos problemas aplican conceptos algebraicos a situaciones variadas. Son excelentes para preparar exámenes y desarrollar tu capacidad de razonamiento.
En el problema 32 (padre con triple edad que su hijo), plantearías:
Para problemas de mezclas como el 35 (mezclar cafés de distintos precios):
El problema 38 (reparto de caramelos) requiere trabajar hacia atrás:
💡 Consejo práctico: En problemas donde se hacen repartos sucesivos, a veces es más fácil empezar por el final y trabajar hacia atrás para encontrar el valor inicial.

Las funciones son relaciones que asocian a cada valor de entrada un único valor de salida. Las gráficas de funciones nos permiten visualizar estas relaciones.
Al interpretar gráficas como la del autobús Bigastro-Orihuela-Bigastro:
La tasa de variación media (TVM) entre dos puntos (a,f(a)) y (b,f(b)) se calcula como: TVM[a,b] = \frac{f(b)-f(a)}{b-a}
Esta tasa representa la velocidad media de cambio de la función en ese intervalo.
Para interpretar gráficas económicas, recuerda que:
💡 Clave interpretativa: Cuando analizas gráficas de movimiento, recuerda que la pendiente representa la velocidad y los cambios de pendiente indican aceleraciones o desaceleraciones.
Nuestro compañero de IA está específicamente adaptado a las necesidades de los estudiantes. Basándonos en los millones de contenidos que tenemos en la plataforma, podemos dar a los estudiantes respuestas realmente significativas y relevantes. Pero no se trata solo de respuestas, el compañero también guía a los estudiantes a través de sus retos de aprendizaje diarios, con planes de aprendizaje personalizados, cuestionarios o contenidos en el chat y una personalización del 100% basada en las habilidades y el desarrollo de los estudiantes.
Puedes descargar la app en Google Play Store y Apple App Store.
Sí, tienes acceso gratuito a los contenidos de la aplicación y a nuestro compañero de IA. Para desbloquear determinadas funciones de la aplicación, puedes adquirir Knowunity Pro.
Sintexis de Lengua Castellana. Incluye las oraciones simples, los complementos y todas las oraciones compuestas
App Store
Google Play
La app es muy fácil de usar y está muy bien diseñada. Hasta ahora he encontrado todo lo que estaba buscando y he podido aprender mucho de las presentaciones. Definitivamente utilizaré la aplicación para un examen de clase. Y, por supuesto, también me sirve mucho de inspiración.
Pablo
usuario de iOS
Esta app es realmente genial. Hay tantos apuntes de clase y ayuda [...]. Tengo problemas con matemáticas, por ejemplo, y la aplicación tiene muchas opciones de ayuda. Gracias a Knowunity, he mejorado en mates. Se la recomiendo a todo el mundo.
Elena
usuaria de Android
Vaya, estoy realmente sorprendida. Acabo de probar la app porque la he visto anunciada muchas veces y me he quedado absolutamente alucinada. Esta app es LA AYUDA que quieres para el insti y, sobre todo, ofrece muchísimas cosas, como ejercicios y hojas informativas, que a mí personalmente me han sido MUY útiles.
Ana
usuaria de iOS
Está app es muy buena, tiene apuntes que son de mucha ayuda y su IA es fantástica, te explica a la perfección y muy fácil de entender lo que necesites, te ayuda con los deberes, te hace esquemas... en definitiva es una muy buena opción!
Sophia
usuario de Android
Me encanta!!! Me resuelve todo con detalle y me da la explicación correcta. Tiene un montón de funciones, ami me ha ido genial!! Os la recomiendo!!!
Marta
usuaria de Android
La uso casi diariamente, sirve para todas las asignaturas. Yo, por ejemplo la utilizo más en inglés porque se me da bastante mal, ¡Todas las respuestas están correctas! Consta con personas reales que suben sus apuntes y IA para que puedas hacer los deberes muchísimo más fácil, la recomiendo.
Izan
usuario de iOS
¡La app es buenísima! Sólo tengo que introducir el tema en la barra de búsqueda y recibo la respuesta muy rápido. No tengo que ver 10 vídeos de YouTube para entender algo, así que me ahorro tiempo. ¡Muy recomendable!
Sara
usuaria de Android
En el instituto era muy malo en matemáticas, pero gracias a la app, ahora saco mejores notas. Os agradezco mucho que hayáis creado la aplicación.
Roberto
usuario de Android
Esto no es como Chatgpt, es MUCHISMO MEJOR, te hace unos resúmenes espectaculares y gracias a esta app pase de sacar 5-6 a sacar 8-9.
Julyana
usuaria de Android
Es la mejor aplicación del mundo, la uso para revisar los deberes a mi hijo.
Javier
usuario de Android
LOS QUIZ Y FLASHCARDS SON SÚPER ÚTILES Y ME ENCANTA Knowunity IA. ADEMÁS ES LITERALMENTE COMO CHATGPT PERO MÁS LISTO!! ME AYUDÓ TAMBIÉN CON MIS PROBLEMAS DE MÁSCARA!! Y CON MIS ASIGNATURAS DE VERDAD! OBVIO 😍😁😲🤑💗✨🎀😮
Erick
usuario de Android
Me me encanta esta app, todo lo que tiene es de calidad ya que antes de ser publicado es revisado por un equipo de profesionales. Me ha ido genial esta aplicación ya que gracias a ella puedo estudiar mucho mejor, sin tener que agobiarme porque mi profesor no ha hecho teoría o porque no entiendo su teoría. Le doy un 10 de 10!
Mar
usuaria de iOS
La app es muy fácil de usar y está muy bien diseñada. Hasta ahora he encontrado todo lo que estaba buscando y he podido aprender mucho de las presentaciones. Definitivamente utilizaré la aplicación para un examen de clase. Y, por supuesto, también me sirve mucho de inspiración.
Pablo
usuario de iOS
Esta app es realmente genial. Hay tantos apuntes de clase y ayuda [...]. Tengo problemas con matemáticas, por ejemplo, y la aplicación tiene muchas opciones de ayuda. Gracias a Knowunity, he mejorado en mates. Se la recomiendo a todo el mundo.
Elena
usuaria de Android
Vaya, estoy realmente sorprendida. Acabo de probar la app porque la he visto anunciada muchas veces y me he quedado absolutamente alucinada. Esta app es LA AYUDA que quieres para el insti y, sobre todo, ofrece muchísimas cosas, como ejercicios y hojas informativas, que a mí personalmente me han sido MUY útiles.
Ana
usuaria de iOS
Está app es muy buena, tiene apuntes que son de mucha ayuda y su IA es fantástica, te explica a la perfección y muy fácil de entender lo que necesites, te ayuda con los deberes, te hace esquemas... en definitiva es una muy buena opción!
Sophia
usuario de Android
Me encanta!!! Me resuelve todo con detalle y me da la explicación correcta. Tiene un montón de funciones, ami me ha ido genial!! Os la recomiendo!!!
Marta
usuaria de Android
La uso casi diariamente, sirve para todas las asignaturas. Yo, por ejemplo la utilizo más en inglés porque se me da bastante mal, ¡Todas las respuestas están correctas! Consta con personas reales que suben sus apuntes y IA para que puedas hacer los deberes muchísimo más fácil, la recomiendo.
Izan
usuario de iOS
¡La app es buenísima! Sólo tengo que introducir el tema en la barra de búsqueda y recibo la respuesta muy rápido. No tengo que ver 10 vídeos de YouTube para entender algo, así que me ahorro tiempo. ¡Muy recomendable!
Sara
usuaria de Android
En el instituto era muy malo en matemáticas, pero gracias a la app, ahora saco mejores notas. Os agradezco mucho que hayáis creado la aplicación.
Roberto
usuario de Android
Esto no es como Chatgpt, es MUCHISMO MEJOR, te hace unos resúmenes espectaculares y gracias a esta app pase de sacar 5-6 a sacar 8-9.
Julyana
usuaria de Android
Es la mejor aplicación del mundo, la uso para revisar los deberes a mi hijo.
Javier
usuario de Android
LOS QUIZ Y FLASHCARDS SON SÚPER ÚTILES Y ME ENCANTA Knowunity IA. ADEMÁS ES LITERALMENTE COMO CHATGPT PERO MÁS LISTO!! ME AYUDÓ TAMBIÉN CON MIS PROBLEMAS DE MÁSCARA!! Y CON MIS ASIGNATURAS DE VERDAD! OBVIO 😍😁😲🤑💗✨🎀😮
Erick
usuario de Android
Me me encanta esta app, todo lo que tiene es de calidad ya que antes de ser publicado es revisado por un equipo de profesionales. Me ha ido genial esta aplicación ya que gracias a ella puedo estudiar mucho mejor, sin tener que agobiarme porque mi profesor no ha hecho teoría o porque no entiendo su teoría. Le doy un 10 de 10!
Mar
usuaria de iOS
LUCAS 👑
@lucas_nose
En este repaso de matemáticas para 4º ESO (Opción A), veremos ejercicios prácticos que cubren desde operaciones con números enteros hasta estadística. Estos ejercicios te ayudarán a reforzar tus conocimientos y prepararte para los exámenes con confianza.

Acceso a todos los documentos
Mejora tus notas
Únete a millones de estudiantes
Las operaciones con números enteros y racionales son fundamentales para avanzar en matemáticas. Estos ejercicios te ayudan a practicar la jerarquía de operaciones y el manejo de fracciones.
Para resolver ejercicios como , recuerda seguir el orden: primero paréntesis, después potencias, luego multiplicaciones y divisiones, y finalmente sumas y restas. Aplica correctamente las reglas de signos (cuando multiplicas o divides números con signos distintos, el resultado es negativo).
Al trabajar con fracciones, debes encontrar el denominador común antes de sumar o restar. Por ejemplo, para $4-\frac{3}{4}$, primero resuelve el paréntesis, luego multiplica y finalmente resta.
💡 Consejo práctico: Ante operaciones combinadas, organiza tu trabajo por pasos. Resuelve primero lo que está dentro de paréntesis, luego aplica potencias y raíces, después multiplica o divide, y finalmente suma o resta.

Acceso a todos los documentos
Mejora tus notas
Únete a millones de estudiantes
Los problemas con fracciones te permiten aplicar las matemáticas a situaciones reales. Dominarlos te dará herramientas para resolver cuestiones prácticas en tu vida cotidiana.
Para resolver estos problemas, convierte las situaciones en expresiones matemáticas. Por ejemplo, en el problema 2, si un depósito contiene 3000 litros y se vacían los del mismo, multiplicas: $3000 \times \frac{3}{8} = 11253000 - 1125 = 1875$ litros.
Cuando comparas velocidades como en el problema 3 (un motorista recorre 90 km en tres cuartos de hora y otro recorre 60 km en media hora), debes calcular la velocidad de cada uno:
Los porcentajes se pueden trabajar como fracciones. Un 30% es equivalente a o . Esto es útil para problemas como el 9 donde necesitas calcular cuántos alumnos cursan Bachillerato.
💡 Recuerda: Las fracciones son divisiones no efectuadas. Puedes convertir entre porcentajes, fracciones y decimales según lo que necesites para resolver el problema.

Acceso a todos los documentos
Mejora tus notas
Únete a millones de estudiantes
Estos problemas combinan distintos tipos de fracciones y porcentajes para situaciones más complejas. Son excelentes para prepararte para exámenes y desarrollar tu pensamiento lógico.
En el problema 11, tres amigos invierten dinero: el primero pone del total, el segundo del resto. Si planteas la ecuación correctamente, podrás calcular cuánto aporta cada uno y qué fracción corresponde al tercero.
Los problemas con porcentajes consecutivos requieren especial atención. En el problema 12, al aplicar primero un aumento del 30% y luego un descuento del 30% sobre el nuevo precio, no vuelves al precio original. Puedes comprobarlo con cálculos:
En el problema 20, necesitas trabajar hacia atrás: si sobran 15 millones y representan lo que queda después de destinar porcentajes específicos, debes plantear ecuaciones para encontrar el total inicial.
💡 Truco matemático: En problemas de mezclas (como el 4 con pintura), asegúrate de que la suma de todas las fracciones sea igual a 1 (el total). Esto te ayuda a verificar tus cálculos.

Acceso a todos los documentos
Mejora tus notas
Únete a millones de estudiantes
Las potencias y la notación científica te permiten trabajar con números muy grandes o muy pequeños de forma más sencilla. Son especialmente importantes en ciencias.
Para simplificar expresiones como , recuerda estas propiedades:
Las potencias con exponente negativo significan inversos: . Por ejemplo, $3^{-2} = \frac{1}{3^2} = \frac{1}{9}$.
La notación científica expresa números como producto de un número entre 1 y 10, y una potencia de 10: $4'23 \cdot 10^4 = 42.300$. Para multiplicar números en notación científica:
💡 Importante: Al resolver expresiones con potencias, primero calcula las potencias con exponentes negativos transformándolas en fracciones, luego aplica las propiedades de potencias para simplificar antes de hacer operaciones.

Acceso a todos los documentos
Mejora tus notas
Únete a millones de estudiantes
Los números reales incluyen expresiones con raíces que necesitan técnicas específicas para operar con ellas. El álgebra nos ayuda a expresar relaciones matemáticas mediante variables.
Para simplificar raíces como , recuerda:
La racionalización consiste en eliminar raíces del denominador multiplicando numerador y denominador por la misma expresión. Por ejemplo, para racionalizar , multiplicas por obteniendo .
En álgebra, necesitas traducir frases al lenguaje matemático. Por ejemplo, "El triple de un número menos tres unidades" se escribe como $3x - 3$.
Los monomios son expresiones algebraicas con una única parte. Tienen:
💡 Consejo: Al manipular raíces, intenta siempre simplificarlas primero. Busca factores cuadrados perfectos dentro de la raíz para extraerlos.

Acceso a todos los documentos
Mejora tus notas
Únete a millones de estudiantes
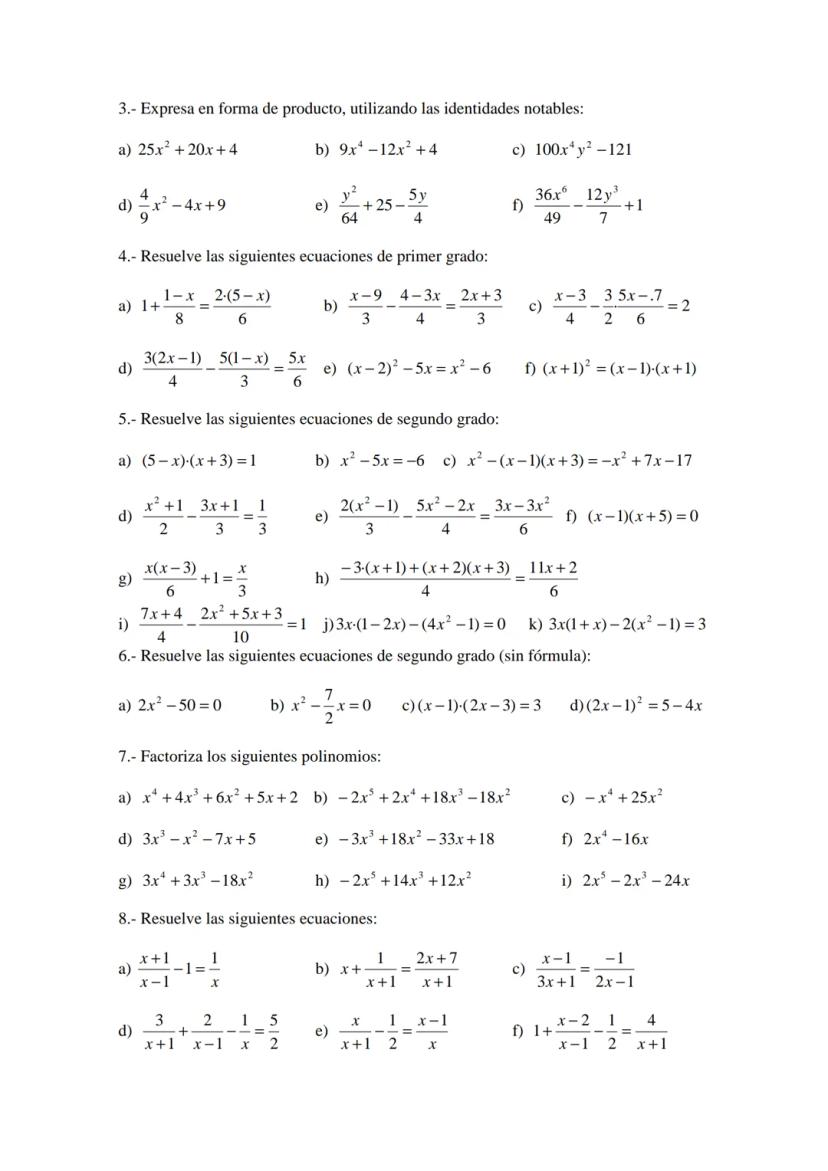
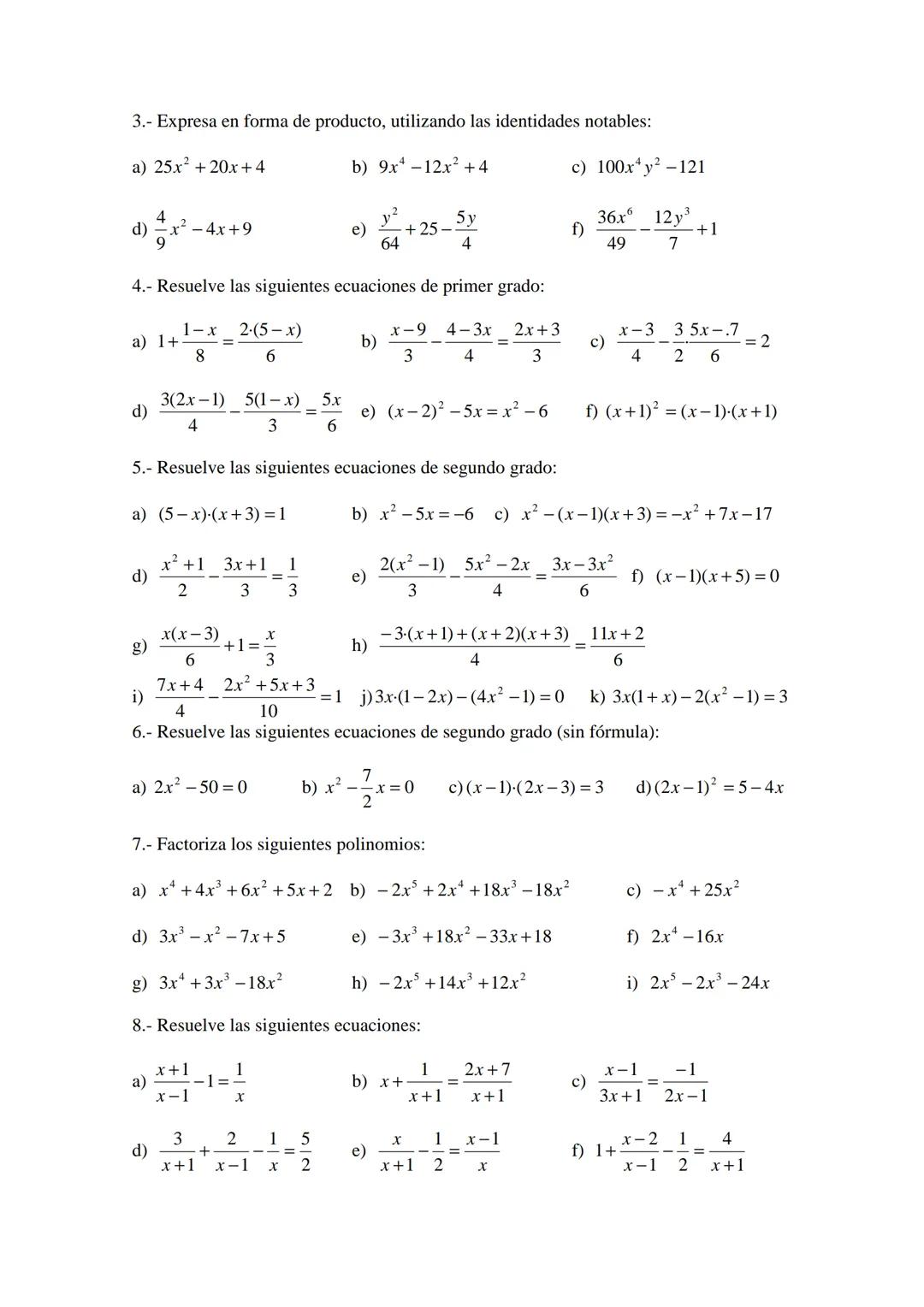
Las ecuaciones son herramientas poderosas para resolver problemas. Aprender a resolverlas correctamente te dará ventaja en muchas áreas de las matemáticas.
Para resolver ecuaciones de primer grado como :
En ecuaciones de segundo grado como :
Las identidades notables son muy útiles para desarrollar expresiones como . Las principales son:
💡 Estrategia clave: En ecuaciones con fracciones, multiplica por el mcm de los denominadores para eliminarlos. Simplifica siempre que puedas antes de aplicar la fórmula cuadrática en ecuaciones de segundo grado.

Acceso a todos los documentos
Mejora tus notas
Únete a millones de estudiantes
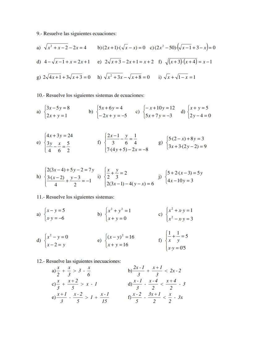
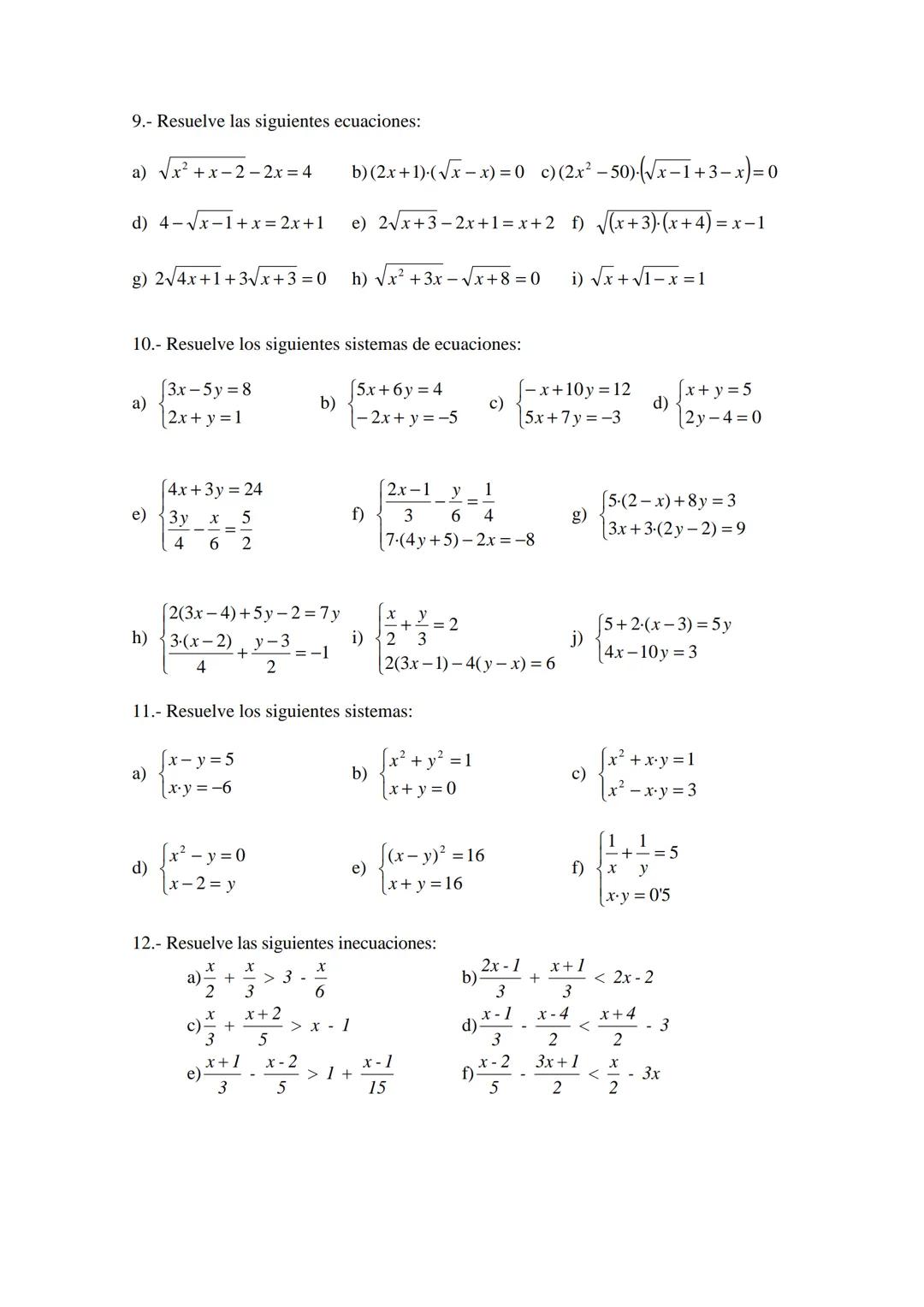
Las ecuaciones con radicales y los sistemas de ecuaciones requieren técnicas especiales pero son muy útiles para resolver problemas complejos.
Para resolver ecuaciones con radicales como :
En sistemas de ecuaciones como , puedes usar:
Las inecuaciones se resuelven de forma similar a las ecuaciones, pero dan intervalos de solución. Recuerda cambiar el sentido de la desigualdad cuando multiplicas o divides por números negativos.
💡 Atención: Al resolver ecuaciones con radicales, siempre verifica las soluciones en la ecuación original. Elevar al cuadrado puede introducir soluciones que no son válidas en la ecuación inicial.

Acceso a todos los documentos
Mejora tus notas
Únete a millones de estudiantes
Los problemas algebraicos te permiten aplicar ecuaciones y sistemas para resolver situaciones reales. Dominarlos te ayudará a desarrollar tu pensamiento lógico y analítico.
Para resolver estos problemas:
Por ejemplo, en el problema 16 (un padre reparte 100€ dando 20€ más al hijo mayor):
En el problema 23 (conejos y gallinas con 58 cabezas y 168 patas):
💡 Estrategia útil: En problemas de mezclas, edades o distancias, dibuja un esquema para visualizar mejor la situación. En problemas de animales o personas con diferente número de patas/cabezas, cuenta el total de estos elementos para plantear las ecuaciones.

Acceso a todos los documentos
Mejora tus notas
Únete a millones de estudiantes
Estos problemas aplican conceptos algebraicos a situaciones variadas. Son excelentes para preparar exámenes y desarrollar tu capacidad de razonamiento.
En el problema 32 (padre con triple edad que su hijo), plantearías:
Para problemas de mezclas como el 35 (mezclar cafés de distintos precios):
El problema 38 (reparto de caramelos) requiere trabajar hacia atrás:
💡 Consejo práctico: En problemas donde se hacen repartos sucesivos, a veces es más fácil empezar por el final y trabajar hacia atrás para encontrar el valor inicial.

Acceso a todos los documentos
Mejora tus notas
Únete a millones de estudiantes
Las funciones son relaciones que asocian a cada valor de entrada un único valor de salida. Las gráficas de funciones nos permiten visualizar estas relaciones.
Al interpretar gráficas como la del autobús Bigastro-Orihuela-Bigastro:
La tasa de variación media (TVM) entre dos puntos (a,f(a)) y (b,f(b)) se calcula como: TVM[a,b] = \frac{f(b)-f(a)}{b-a}
Esta tasa representa la velocidad media de cambio de la función en ese intervalo.
Para interpretar gráficas económicas, recuerda que:
💡 Clave interpretativa: Cuando analizas gráficas de movimiento, recuerda que la pendiente representa la velocidad y los cambios de pendiente indican aceleraciones o desaceleraciones.
Nuestro compañero de IA está específicamente adaptado a las necesidades de los estudiantes. Basándonos en los millones de contenidos que tenemos en la plataforma, podemos dar a los estudiantes respuestas realmente significativas y relevantes. Pero no se trata solo de respuestas, el compañero también guía a los estudiantes a través de sus retos de aprendizaje diarios, con planes de aprendizaje personalizados, cuestionarios o contenidos en el chat y una personalización del 100% basada en las habilidades y el desarrollo de los estudiantes.
Puedes descargar la app en Google Play Store y Apple App Store.
Sí, tienes acceso gratuito a los contenidos de la aplicación y a nuestro compañero de IA. Para desbloquear determinadas funciones de la aplicación, puedes adquirir Knowunity Pro.
7
Herramientas Inteligentes NUEVO
Transforma estos apuntes en: ✓ 50+ Preguntas de Práctica ✓ Flashcards Interactivas ✓ Examen Completo de Práctica ✓ Esquemas de Ensayo
intervalo de confianza, error y tamaño de la muestra, estimación de la media por intervalos de confianza
Apuntes
Tema de ecuaciones e inecuaciones
Apuntes de clase con muchos ejemplos
Ejercicios que tienen soluciones. Espero que os sirva.
ecuaciones de primer grado
Sintexis de Lengua Castellana. Incluye las oraciones simples, los complementos y todas las oraciones compuestas
App Store
Google Play
La app es muy fácil de usar y está muy bien diseñada. Hasta ahora he encontrado todo lo que estaba buscando y he podido aprender mucho de las presentaciones. Definitivamente utilizaré la aplicación para un examen de clase. Y, por supuesto, también me sirve mucho de inspiración.
Pablo
usuario de iOS
Esta app es realmente genial. Hay tantos apuntes de clase y ayuda [...]. Tengo problemas con matemáticas, por ejemplo, y la aplicación tiene muchas opciones de ayuda. Gracias a Knowunity, he mejorado en mates. Se la recomiendo a todo el mundo.
Elena
usuaria de Android
Vaya, estoy realmente sorprendida. Acabo de probar la app porque la he visto anunciada muchas veces y me he quedado absolutamente alucinada. Esta app es LA AYUDA que quieres para el insti y, sobre todo, ofrece muchísimas cosas, como ejercicios y hojas informativas, que a mí personalmente me han sido MUY útiles.
Ana
usuaria de iOS
Está app es muy buena, tiene apuntes que son de mucha ayuda y su IA es fantástica, te explica a la perfección y muy fácil de entender lo que necesites, te ayuda con los deberes, te hace esquemas... en definitiva es una muy buena opción!
Sophia
usuario de Android
Me encanta!!! Me resuelve todo con detalle y me da la explicación correcta. Tiene un montón de funciones, ami me ha ido genial!! Os la recomiendo!!!
Marta
usuaria de Android
La uso casi diariamente, sirve para todas las asignaturas. Yo, por ejemplo la utilizo más en inglés porque se me da bastante mal, ¡Todas las respuestas están correctas! Consta con personas reales que suben sus apuntes y IA para que puedas hacer los deberes muchísimo más fácil, la recomiendo.
Izan
usuario de iOS
¡La app es buenísima! Sólo tengo que introducir el tema en la barra de búsqueda y recibo la respuesta muy rápido. No tengo que ver 10 vídeos de YouTube para entender algo, así que me ahorro tiempo. ¡Muy recomendable!
Sara
usuaria de Android
En el instituto era muy malo en matemáticas, pero gracias a la app, ahora saco mejores notas. Os agradezco mucho que hayáis creado la aplicación.
Roberto
usuario de Android
Esto no es como Chatgpt, es MUCHISMO MEJOR, te hace unos resúmenes espectaculares y gracias a esta app pase de sacar 5-6 a sacar 8-9.
Julyana
usuaria de Android
Es la mejor aplicación del mundo, la uso para revisar los deberes a mi hijo.
Javier
usuario de Android
LOS QUIZ Y FLASHCARDS SON SÚPER ÚTILES Y ME ENCANTA Knowunity IA. ADEMÁS ES LITERALMENTE COMO CHATGPT PERO MÁS LISTO!! ME AYUDÓ TAMBIÉN CON MIS PROBLEMAS DE MÁSCARA!! Y CON MIS ASIGNATURAS DE VERDAD! OBVIO 😍😁😲🤑💗✨🎀😮
Erick
usuario de Android
Me me encanta esta app, todo lo que tiene es de calidad ya que antes de ser publicado es revisado por un equipo de profesionales. Me ha ido genial esta aplicación ya que gracias a ella puedo estudiar mucho mejor, sin tener que agobiarme porque mi profesor no ha hecho teoría o porque no entiendo su teoría. Le doy un 10 de 10!
Mar
usuaria de iOS
La app es muy fácil de usar y está muy bien diseñada. Hasta ahora he encontrado todo lo que estaba buscando y he podido aprender mucho de las presentaciones. Definitivamente utilizaré la aplicación para un examen de clase. Y, por supuesto, también me sirve mucho de inspiración.
Pablo
usuario de iOS
Esta app es realmente genial. Hay tantos apuntes de clase y ayuda [...]. Tengo problemas con matemáticas, por ejemplo, y la aplicación tiene muchas opciones de ayuda. Gracias a Knowunity, he mejorado en mates. Se la recomiendo a todo el mundo.
Elena
usuaria de Android
Vaya, estoy realmente sorprendida. Acabo de probar la app porque la he visto anunciada muchas veces y me he quedado absolutamente alucinada. Esta app es LA AYUDA que quieres para el insti y, sobre todo, ofrece muchísimas cosas, como ejercicios y hojas informativas, que a mí personalmente me han sido MUY útiles.
Ana
usuaria de iOS
Está app es muy buena, tiene apuntes que son de mucha ayuda y su IA es fantástica, te explica a la perfección y muy fácil de entender lo que necesites, te ayuda con los deberes, te hace esquemas... en definitiva es una muy buena opción!
Sophia
usuario de Android
Me encanta!!! Me resuelve todo con detalle y me da la explicación correcta. Tiene un montón de funciones, ami me ha ido genial!! Os la recomiendo!!!
Marta
usuaria de Android
La uso casi diariamente, sirve para todas las asignaturas. Yo, por ejemplo la utilizo más en inglés porque se me da bastante mal, ¡Todas las respuestas están correctas! Consta con personas reales que suben sus apuntes y IA para que puedas hacer los deberes muchísimo más fácil, la recomiendo.
Izan
usuario de iOS
¡La app es buenísima! Sólo tengo que introducir el tema en la barra de búsqueda y recibo la respuesta muy rápido. No tengo que ver 10 vídeos de YouTube para entender algo, así que me ahorro tiempo. ¡Muy recomendable!
Sara
usuaria de Android
En el instituto era muy malo en matemáticas, pero gracias a la app, ahora saco mejores notas. Os agradezco mucho que hayáis creado la aplicación.
Roberto
usuario de Android
Esto no es como Chatgpt, es MUCHISMO MEJOR, te hace unos resúmenes espectaculares y gracias a esta app pase de sacar 5-6 a sacar 8-9.
Julyana
usuaria de Android
Es la mejor aplicación del mundo, la uso para revisar los deberes a mi hijo.
Javier
usuario de Android
LOS QUIZ Y FLASHCARDS SON SÚPER ÚTILES Y ME ENCANTA Knowunity IA. ADEMÁS ES LITERALMENTE COMO CHATGPT PERO MÁS LISTO!! ME AYUDÓ TAMBIÉN CON MIS PROBLEMAS DE MÁSCARA!! Y CON MIS ASIGNATURAS DE VERDAD! OBVIO 😍😁😲🤑💗✨🎀😮
Erick
usuario de Android
Me me encanta esta app, todo lo que tiene es de calidad ya que antes de ser publicado es revisado por un equipo de profesionales. Me ha ido genial esta aplicación ya que gracias a ella puedo estudiar mucho mejor, sin tener que agobiarme porque mi profesor no ha hecho teoría o porque no entiendo su teoría. Le doy un 10 de 10!
Mar
usuaria de iOS