¿Te has preguntado cómo funciona el movimiento de un péndulo... Mostrar más
Inscríbete para ver los apuntes¡Es gratis!
Acceso a todos los documentos
Mejora tus notas
Únete a millones de estudiantes
Knowunity AI
Asignaturas
Triangle Congruence and Similarity Theorems
Triangle Properties and Classification
Linear Equations and Graphs
Geometric Angle Relationships
Trigonometric Functions and Identities
Equation Solving Techniques
Circle Geometry Fundamentals
Division Operations and Methods
Basic Differentiation Rules
Exponent and Logarithm Properties
Mostrar todos los temas
Human Organ Systems
Reproductive Cell Cycles
Biological Sciences Subdisciplines
Cellular Energy Metabolism
Autotrophic Energy Processes
Inheritance Patterns and Principles
Biomolecular Structure and Organization
Cell Cycle and Division Mechanics
Cellular Organization and Development
Biological Structural Organization
Mostrar todos los temas
Chemical Sciences and Applications
Atomic Structure and Composition
Molecular Electron Structure Representation
Atomic Electron Behavior
Matter Properties and Water
Mole Concept and Calculations
Gas Laws and Behavior
Periodic Table Organization
Chemical Thermodynamics Fundamentals
Chemical Bond Types and Properties
Mostrar todos los temas
European Renaissance and Enlightenment
European Cultural Movements 800-1920
American Revolution Era 1763-1797
American Civil War 1861-1865
Global Imperial Systems
Mongol and Chinese Dynasties
U.S. Presidents and World Leaders
Historical Sources and Documentation
World Wars Era and Impact
World Religious Systems
Mostrar todos los temas
Classic and Contemporary Novels
Literary Character Analysis
Rhetorical Theory and Practice
Classic Literary Narratives
Reading Analysis and Interpretation
Narrative Structure and Techniques
English Language Components
Influential English-Language Authors
Basic Sentence Structure
Narrative Voice and Perspective
Mostrar todos los temas
1,611
•
Actualizado Mar 20, 2026
•
Marina Marcos Ruiz
@marinamsrz
¿Te has preguntado cómo funciona el movimiento de un péndulo... Mostrar más











Imagina un muelle que se estira y se contrae constantemente alrededor de su posición natural. Eso es exactamente el movimiento armónico simple: un movimiento periódico de vaivén alrededor de la posición de equilibrio en línea recta.
La fuerza que actúa sigue la ley de Hooke: F = -kx, donde la fuerza es proporcional al desplazamiento. Las ecuaciones fundamentales son: posición x = A sen, velocidad v = Aω cos, y aceleración a = -Aω²x.
Para resolver problemas, recuerda que la velocidad máxima se alcanza cuando cos = 1, dando v_max = Aω. La aceleración máxima ocurre cuando sen = ±1, resultando en a_max = Aω². También puedes usar v = ω√ para calcular la velocidad en cualquier posición.
💡 Truco para el examen: Cuando te pidan velocidad y aceleración máximas, simplemente multiplica la amplitud por ω (para velocidad) y por ω² (para aceleración).

Las ondas están por todas partes: desde la música que escuchas hasta la luz que te permite leer esto. Una onda es la propagación de una perturbación a través del espacio que transporta energía, pero no materia.
Según el medio tenemos ondas mecánicas (necesitan un medio material, como el sonido) y electromagnéticas (viajan incluso en el vacío, como la luz). Según su naturaleza, las transversales vibran perpendicular a la propagación (como una cuerda) y las longitudinales vibran paralelo a ella.
Según la zona que abarcan, las ondas viajeras se extienden por todos los puntos del medio (como cuando tiras una piedra al agua), mientras que las estacionarias se limitan a una zona específica. Por dimensiones, pueden ser unidimensionales (cuerda), bidimensionales (ondas en el agua) o tridimensionales (sonido, luz).
💡 Dato curioso: Las ondas electromagnéticas pueden viajar por el espacio porque no necesitan un medio material, por eso podemos ver la luz del Sol.

Cuando el foco emisor vibra con movimiento armónico simple, todas las partículas del medio vibran de la misma manera. La ecuación general es y = A sen, donde el signo menos indica propagación en sentido positivo del eje x.
Las características fundamentales incluyen: longitud de onda (λ) - distancia entre dos puntos consecutivos en el mismo estado; periodo (T) - tiempo para recorrer una λ; frecuencia (ν) = 1/T; y número de ondas (k) = 2π/λ.
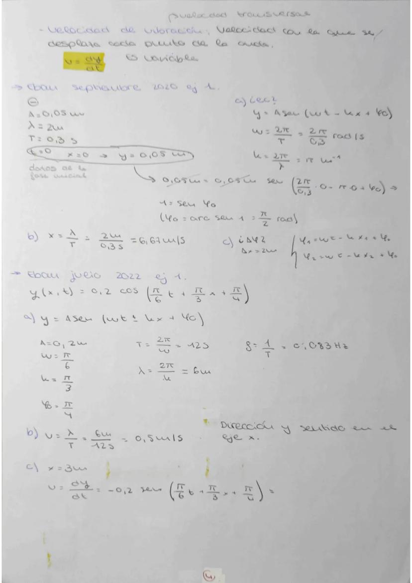
La velocidad de propagación v = λ/T es constante y solo depende del medio, no del foco. No confundas esto con la velocidad de vibración , que es variable y representa cómo se mueve cada punto de la onda.
💡 Fórmula clave: Recuerda que v = λf. Esta relación te permitirá resolver la mayoría de problemas básicos de ondas.

Para resolver ejercicios de ondas, identifica primero los datos: amplitud (A), longitud de onda (λ), periodo (T) y fase inicial (φ₀). La fase inicial se calcula comparando la ecuación general con las condiciones iniciales dadas.
Los pasos típicos son: calcular ω = 2π/T, k = 2π/λ, y sustituir en la ecuación y = A sen. Para la velocidad de propagación usa v = λ/T. La velocidad de vibración se obtiene derivando: v = dy/dt.
En problemas complejos, ten cuidado con el signo en la ecuación. Si tienes y = A cos, significa propagación en sentido negativo del eje x. La aceleración se obtiene derivando la velocidad: a = dv/dt.
💡 Estrategia de examen: Siempre verifica las unidades. La frecuencia en Hz, la velocidad en m/s, y las distancias en metros te ayudarán a detectar errores de cálculo.

Las gráficas y-t muestran cómo varía la elongación de un punto fijo con el tiempo, revelando el periodo T. Las gráficas y-x representan la forma de la onda en un instante dado, mostrando la longitud de onda λ.
Para determinar la amplitud y fase inicial, usa las condiciones iniciales. Si en t=0 y x=0 tienes y=A, entonces φ₀=π/2. Si y=0, entonces φ₀=0. La amplitud siempre es el valor máximo de la función.
Cuando tengas datos de posición, elongación y tiempo, puedes calcular todas las características de la onda. Usa las derivadas para obtener velocidad y aceleración, recordando que a = -Aω²cos.
💡 Consejo práctico: En las gráficas, la amplitud es la altura máxima, el periodo es la distancia horizontal entre dos picos consecutivos, y λ es la distancia entre dos crestas.

Los ejercicios típicos te dan la ecuación de onda y piden características como amplitud, periodo, frecuencia y velocidad. Compara siempre con la forma estándar y = A sen para extraer los parámetros.
Para calcular velocidad de propagación, usa v = λ/T o v = ω/k. La velocidad de vibración se obtiene derivando respecto al tiempo: v = dy/dt. La aceleración es la segunda derivada: a = d²y/dt².
El sentido de propagación lo determina el signo: ωt - kx indica propagación positiva, ωt + kx indica propagación negativa. Este detalle es crucial para resolver correctamente los ejercicios de selectividad.
💡 Método infalible: Identifica A, ω, k y φ₀ comparando con la ecuación estándar. Después calcula T = 2π/ω, λ = 2π/k, y v = ω/k.

La fase ψ = ωt ± kx + φ₀ describe el estado de vibración de un punto en un momento dado. La diferencia de fase entre dos puntos o dos instantes es fundamental para entender el comportamiento ondulatorio.
Entre dos puntos x₁ y x₂ en el mismo instante: Δψ = k. Entre dos instantes t₁ y t₂ en la misma posición: Δψ = ω. Dos puntos están en fase cuando su diferencia es múltiplo de 2π, y en oposición de fase cuando es múltiplo impar de π.
Para puntos en fase consecutivos, la distancia es λ. Para puntos en oposición de fase consecutivos, la distancia es λ/2. Esto es esencial para problemas de interferencias y ondas estacionarias.
💡 Regla práctica: Si Δψ = π, están en oposición (uno sube cuando el otro baja). Si Δψ = 2π, están en fase (se mueven igual).

Los ejercicios más complejos combinan varios conceptos. Cuando tengas una cuerda vibrando, el extremo fijo actúa como foco emisor . Usa las condiciones del punto dado para determinar la ecuación completa.
En ondas circulares (como las de una piedra en el agua), la velocidad de propagación es v = r/t, donde r es la distancia al centro y t el tiempo transcurrido. La longitud de onda sigue siendo la distancia entre crestas consecutivas.
Para calcular elongación y velocidad en un punto y momento específicos, sustituye los valores en y(x,t) y en dy/dt respectivamente. Presta atención a las unidades y al sistema de referencia utilizado.
💡 Error común: No confundas la velocidad de la onda (constante, depende del medio) con la velocidad de vibración de las partículas (variable, depende del tiempo).

Cuando analices la diferencia de fase temporal, usa Δψ = ωΔt. Para diferencia de fase espacial, emplea Δψ = kΔx. Estas fórmulas son fundamentales para determinar cómo se relacionan diferentes puntos de la onda.
Los puntos en fase consecutivos están separados por λ, mientras que los puntos en oposición de fase consecutivos se separan por λ/2. En problemas de examen, te pueden pedir estas distancias específicas.
La fase inicial φ₀ se determina usando las condiciones iniciales. Si en t = 0 y x = 0 la elongación es máxima, entonces φ₀ = π/2. Si es cero y creciente, φ₀ = 0.
💡 Técnica de resolución: Siempre dibuja un esquema de la onda para visualizar mejor las relaciones de fase entre diferentes puntos.

La energía total de una onda armónica es Et = ½mω²A², igual que en el MAS. Esta energía se transmite de partícula a partícula sin que haya transporte neto de materia, solo de energía.
La potencia P = E/t representa la energía transmitida por unidad de tiempo (en watts). La intensidad I = P/S es la energía por unidad de tiempo que atraviesa la unidad de superficie perpendicular a la propagación .
Para ondas esféricas (como la luz del Sol), la superficie es S = 4πr². La intensidad disminuye con el cuadrado de la distancia. En ejercicios prácticos, multiplica la intensidad por la superficie y el tiempo para obtener la energía total recibida.
💡 Aplicación real: La intensidad solar en la Tierra es aproximadamente 1000 W/m², un dato útil para problemas de energía solar y climatología.
Nuestro compañero de IA está específicamente adaptado a las necesidades de los estudiantes. Basándonos en los millones de contenidos que tenemos en la plataforma, podemos dar a los estudiantes respuestas realmente significativas y relevantes. Pero no se trata solo de respuestas, el compañero también guía a los estudiantes a través de sus retos de aprendizaje diarios, con planes de aprendizaje personalizados, cuestionarios o contenidos en el chat y una personalización del 100% basada en las habilidades y el desarrollo de los estudiantes.
Puedes descargar la app en Google Play Store y Apple App Store.
Sí, tienes acceso gratuito a los contenidos de la aplicación y a nuestro compañero de IA. Para desbloquear determinadas funciones de la aplicación, puedes adquirir Knowunity Pro.
Ondas, luz y sonido
Sintexis de Lengua Castellana. Incluye las oraciones simples, los complementos y todas las oraciones compuestas
App Store
Google Play
La app es muy fácil de usar y está muy bien diseñada. Hasta ahora he encontrado todo lo que estaba buscando y he podido aprender mucho de las presentaciones. Definitivamente utilizaré la aplicación para un examen de clase. Y, por supuesto, también me sirve mucho de inspiración.
Pablo
usuario de iOS
Esta app es realmente genial. Hay tantos apuntes de clase y ayuda [...]. Tengo problemas con matemáticas, por ejemplo, y la aplicación tiene muchas opciones de ayuda. Gracias a Knowunity, he mejorado en mates. Se la recomiendo a todo el mundo.
Elena
usuaria de Android
Vaya, estoy realmente sorprendida. Acabo de probar la app porque la he visto anunciada muchas veces y me he quedado absolutamente alucinada. Esta app es LA AYUDA que quieres para el insti y, sobre todo, ofrece muchísimas cosas, como ejercicios y hojas informativas, que a mí personalmente me han sido MUY útiles.
Ana
usuaria de iOS
Está app es muy buena, tiene apuntes que son de mucha ayuda y su IA es fantástica, te explica a la perfección y muy fácil de entender lo que necesites, te ayuda con los deberes, te hace esquemas... en definitiva es una muy buena opción!
Sophia
usuario de Android
Me encanta!!! Me resuelve todo con detalle y me da la explicación correcta. Tiene un montón de funciones, ami me ha ido genial!! Os la recomiendo!!!
Marta
usuaria de Android
La uso casi diariamente, sirve para todas las asignaturas. Yo, por ejemplo la utilizo más en inglés porque se me da bastante mal, ¡Todas las respuestas están correctas! Consta con personas reales que suben sus apuntes y IA para que puedas hacer los deberes muchísimo más fácil, la recomiendo.
Izan
usuario de iOS
¡La app es buenísima! Sólo tengo que introducir el tema en la barra de búsqueda y recibo la respuesta muy rápido. No tengo que ver 10 vídeos de YouTube para entender algo, así que me ahorro tiempo. ¡Muy recomendable!
Sara
usuaria de Android
En el instituto era muy malo en matemáticas, pero gracias a la app, ahora saco mejores notas. Os agradezco mucho que hayáis creado la aplicación.
Roberto
usuario de Android
Esto no es como Chatgpt, es MUCHISMO MEJOR, te hace unos resúmenes espectaculares y gracias a esta app pase de sacar 5-6 a sacar 8-9.
Julyana
usuaria de Android
Es la mejor aplicación del mundo, la uso para revisar los deberes a mi hijo.
Javier
usuario de Android
LOS QUIZ Y FLASHCARDS SON SÚPER ÚTILES Y ME ENCANTA Knowunity IA. ADEMÁS ES LITERALMENTE COMO CHATGPT PERO MÁS LISTO!! ME AYUDÓ TAMBIÉN CON MIS PROBLEMAS DE MÁSCARA!! Y CON MIS ASIGNATURAS DE VERDAD! OBVIO 😍😁😲🤑💗✨🎀😮
Erick
usuario de Android
Me me encanta esta app, todo lo que tiene es de calidad ya que antes de ser publicado es revisado por un equipo de profesionales. Me ha ido genial esta aplicación ya que gracias a ella puedo estudiar mucho mejor, sin tener que agobiarme porque mi profesor no ha hecho teoría o porque no entiendo su teoría. Le doy un 10 de 10!
Mar
usuaria de iOS
La app es muy fácil de usar y está muy bien diseñada. Hasta ahora he encontrado todo lo que estaba buscando y he podido aprender mucho de las presentaciones. Definitivamente utilizaré la aplicación para un examen de clase. Y, por supuesto, también me sirve mucho de inspiración.
Pablo
usuario de iOS
Esta app es realmente genial. Hay tantos apuntes de clase y ayuda [...]. Tengo problemas con matemáticas, por ejemplo, y la aplicación tiene muchas opciones de ayuda. Gracias a Knowunity, he mejorado en mates. Se la recomiendo a todo el mundo.
Elena
usuaria de Android
Vaya, estoy realmente sorprendida. Acabo de probar la app porque la he visto anunciada muchas veces y me he quedado absolutamente alucinada. Esta app es LA AYUDA que quieres para el insti y, sobre todo, ofrece muchísimas cosas, como ejercicios y hojas informativas, que a mí personalmente me han sido MUY útiles.
Ana
usuaria de iOS
Está app es muy buena, tiene apuntes que son de mucha ayuda y su IA es fantástica, te explica a la perfección y muy fácil de entender lo que necesites, te ayuda con los deberes, te hace esquemas... en definitiva es una muy buena opción!
Sophia
usuario de Android
Me encanta!!! Me resuelve todo con detalle y me da la explicación correcta. Tiene un montón de funciones, ami me ha ido genial!! Os la recomiendo!!!
Marta
usuaria de Android
La uso casi diariamente, sirve para todas las asignaturas. Yo, por ejemplo la utilizo más en inglés porque se me da bastante mal, ¡Todas las respuestas están correctas! Consta con personas reales que suben sus apuntes y IA para que puedas hacer los deberes muchísimo más fácil, la recomiendo.
Izan
usuario de iOS
¡La app es buenísima! Sólo tengo que introducir el tema en la barra de búsqueda y recibo la respuesta muy rápido. No tengo que ver 10 vídeos de YouTube para entender algo, así que me ahorro tiempo. ¡Muy recomendable!
Sara
usuaria de Android
En el instituto era muy malo en matemáticas, pero gracias a la app, ahora saco mejores notas. Os agradezco mucho que hayáis creado la aplicación.
Roberto
usuario de Android
Esto no es como Chatgpt, es MUCHISMO MEJOR, te hace unos resúmenes espectaculares y gracias a esta app pase de sacar 5-6 a sacar 8-9.
Julyana
usuaria de Android
Es la mejor aplicación del mundo, la uso para revisar los deberes a mi hijo.
Javier
usuario de Android
LOS QUIZ Y FLASHCARDS SON SÚPER ÚTILES Y ME ENCANTA Knowunity IA. ADEMÁS ES LITERALMENTE COMO CHATGPT PERO MÁS LISTO!! ME AYUDÓ TAMBIÉN CON MIS PROBLEMAS DE MÁSCARA!! Y CON MIS ASIGNATURAS DE VERDAD! OBVIO 😍😁😲🤑💗✨🎀😮
Erick
usuario de Android
Me me encanta esta app, todo lo que tiene es de calidad ya que antes de ser publicado es revisado por un equipo de profesionales. Me ha ido genial esta aplicación ya que gracias a ella puedo estudiar mucho mejor, sin tener que agobiarme porque mi profesor no ha hecho teoría o porque no entiendo su teoría. Le doy un 10 de 10!
Mar
usuaria de iOS
Marina Marcos Ruiz
@marinamsrz
¿Te has preguntado cómo funciona el movimiento de un péndulo o cómo viajan las ondas del sonido? Todo esto tiene que ver con el movimiento armónico simple y las ondas. Vamos a descubrir estos conceptos fundamentales de la física de... Mostrar más

Acceso a todos los documentos
Mejora tus notas
Únete a millones de estudiantes
Imagina un muelle que se estira y se contrae constantemente alrededor de su posición natural. Eso es exactamente el movimiento armónico simple: un movimiento periódico de vaivén alrededor de la posición de equilibrio en línea recta.
La fuerza que actúa sigue la ley de Hooke: F = -kx, donde la fuerza es proporcional al desplazamiento. Las ecuaciones fundamentales son: posición x = A sen, velocidad v = Aω cos, y aceleración a = -Aω²x.
Para resolver problemas, recuerda que la velocidad máxima se alcanza cuando cos = 1, dando v_max = Aω. La aceleración máxima ocurre cuando sen = ±1, resultando en a_max = Aω². También puedes usar v = ω√ para calcular la velocidad en cualquier posición.
💡 Truco para el examen: Cuando te pidan velocidad y aceleración máximas, simplemente multiplica la amplitud por ω (para velocidad) y por ω² (para aceleración).

Acceso a todos los documentos
Mejora tus notas
Únete a millones de estudiantes
Las ondas están por todas partes: desde la música que escuchas hasta la luz que te permite leer esto. Una onda es la propagación de una perturbación a través del espacio que transporta energía, pero no materia.
Según el medio tenemos ondas mecánicas (necesitan un medio material, como el sonido) y electromagnéticas (viajan incluso en el vacío, como la luz). Según su naturaleza, las transversales vibran perpendicular a la propagación (como una cuerda) y las longitudinales vibran paralelo a ella.
Según la zona que abarcan, las ondas viajeras se extienden por todos los puntos del medio (como cuando tiras una piedra al agua), mientras que las estacionarias se limitan a una zona específica. Por dimensiones, pueden ser unidimensionales (cuerda), bidimensionales (ondas en el agua) o tridimensionales (sonido, luz).
💡 Dato curioso: Las ondas electromagnéticas pueden viajar por el espacio porque no necesitan un medio material, por eso podemos ver la luz del Sol.

Acceso a todos los documentos
Mejora tus notas
Únete a millones de estudiantes
Cuando el foco emisor vibra con movimiento armónico simple, todas las partículas del medio vibran de la misma manera. La ecuación general es y = A sen, donde el signo menos indica propagación en sentido positivo del eje x.
Las características fundamentales incluyen: longitud de onda (λ) - distancia entre dos puntos consecutivos en el mismo estado; periodo (T) - tiempo para recorrer una λ; frecuencia (ν) = 1/T; y número de ondas (k) = 2π/λ.
La velocidad de propagación v = λ/T es constante y solo depende del medio, no del foco. No confundas esto con la velocidad de vibración , que es variable y representa cómo se mueve cada punto de la onda.
💡 Fórmula clave: Recuerda que v = λf. Esta relación te permitirá resolver la mayoría de problemas básicos de ondas.

Acceso a todos los documentos
Mejora tus notas
Únete a millones de estudiantes
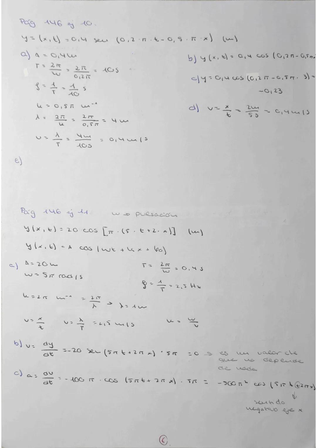
Para resolver ejercicios de ondas, identifica primero los datos: amplitud (A), longitud de onda (λ), periodo (T) y fase inicial (φ₀). La fase inicial se calcula comparando la ecuación general con las condiciones iniciales dadas.
Los pasos típicos son: calcular ω = 2π/T, k = 2π/λ, y sustituir en la ecuación y = A sen. Para la velocidad de propagación usa v = λ/T. La velocidad de vibración se obtiene derivando: v = dy/dt.
En problemas complejos, ten cuidado con el signo en la ecuación. Si tienes y = A cos, significa propagación en sentido negativo del eje x. La aceleración se obtiene derivando la velocidad: a = dv/dt.
💡 Estrategia de examen: Siempre verifica las unidades. La frecuencia en Hz, la velocidad en m/s, y las distancias en metros te ayudarán a detectar errores de cálculo.

Acceso a todos los documentos
Mejora tus notas
Únete a millones de estudiantes
Las gráficas y-t muestran cómo varía la elongación de un punto fijo con el tiempo, revelando el periodo T. Las gráficas y-x representan la forma de la onda en un instante dado, mostrando la longitud de onda λ.
Para determinar la amplitud y fase inicial, usa las condiciones iniciales. Si en t=0 y x=0 tienes y=A, entonces φ₀=π/2. Si y=0, entonces φ₀=0. La amplitud siempre es el valor máximo de la función.
Cuando tengas datos de posición, elongación y tiempo, puedes calcular todas las características de la onda. Usa las derivadas para obtener velocidad y aceleración, recordando que a = -Aω²cos.
💡 Consejo práctico: En las gráficas, la amplitud es la altura máxima, el periodo es la distancia horizontal entre dos picos consecutivos, y λ es la distancia entre dos crestas.

Acceso a todos los documentos
Mejora tus notas
Únete a millones de estudiantes
Los ejercicios típicos te dan la ecuación de onda y piden características como amplitud, periodo, frecuencia y velocidad. Compara siempre con la forma estándar y = A sen para extraer los parámetros.
Para calcular velocidad de propagación, usa v = λ/T o v = ω/k. La velocidad de vibración se obtiene derivando respecto al tiempo: v = dy/dt. La aceleración es la segunda derivada: a = d²y/dt².
El sentido de propagación lo determina el signo: ωt - kx indica propagación positiva, ωt + kx indica propagación negativa. Este detalle es crucial para resolver correctamente los ejercicios de selectividad.
💡 Método infalible: Identifica A, ω, k y φ₀ comparando con la ecuación estándar. Después calcula T = 2π/ω, λ = 2π/k, y v = ω/k.

Acceso a todos los documentos
Mejora tus notas
Únete a millones de estudiantes
La fase ψ = ωt ± kx + φ₀ describe el estado de vibración de un punto en un momento dado. La diferencia de fase entre dos puntos o dos instantes es fundamental para entender el comportamiento ondulatorio.
Entre dos puntos x₁ y x₂ en el mismo instante: Δψ = k. Entre dos instantes t₁ y t₂ en la misma posición: Δψ = ω. Dos puntos están en fase cuando su diferencia es múltiplo de 2π, y en oposición de fase cuando es múltiplo impar de π.
Para puntos en fase consecutivos, la distancia es λ. Para puntos en oposición de fase consecutivos, la distancia es λ/2. Esto es esencial para problemas de interferencias y ondas estacionarias.
💡 Regla práctica: Si Δψ = π, están en oposición (uno sube cuando el otro baja). Si Δψ = 2π, están en fase (se mueven igual).

Acceso a todos los documentos
Mejora tus notas
Únete a millones de estudiantes
Los ejercicios más complejos combinan varios conceptos. Cuando tengas una cuerda vibrando, el extremo fijo actúa como foco emisor . Usa las condiciones del punto dado para determinar la ecuación completa.
En ondas circulares (como las de una piedra en el agua), la velocidad de propagación es v = r/t, donde r es la distancia al centro y t el tiempo transcurrido. La longitud de onda sigue siendo la distancia entre crestas consecutivas.
Para calcular elongación y velocidad en un punto y momento específicos, sustituye los valores en y(x,t) y en dy/dt respectivamente. Presta atención a las unidades y al sistema de referencia utilizado.
💡 Error común: No confundas la velocidad de la onda (constante, depende del medio) con la velocidad de vibración de las partículas (variable, depende del tiempo).

Acceso a todos los documentos
Mejora tus notas
Únete a millones de estudiantes
Cuando analices la diferencia de fase temporal, usa Δψ = ωΔt. Para diferencia de fase espacial, emplea Δψ = kΔx. Estas fórmulas son fundamentales para determinar cómo se relacionan diferentes puntos de la onda.
Los puntos en fase consecutivos están separados por λ, mientras que los puntos en oposición de fase consecutivos se separan por λ/2. En problemas de examen, te pueden pedir estas distancias específicas.
La fase inicial φ₀ se determina usando las condiciones iniciales. Si en t = 0 y x = 0 la elongación es máxima, entonces φ₀ = π/2. Si es cero y creciente, φ₀ = 0.
💡 Técnica de resolución: Siempre dibuja un esquema de la onda para visualizar mejor las relaciones de fase entre diferentes puntos.

Acceso a todos los documentos
Mejora tus notas
Únete a millones de estudiantes
La energía total de una onda armónica es Et = ½mω²A², igual que en el MAS. Esta energía se transmite de partícula a partícula sin que haya transporte neto de materia, solo de energía.
La potencia P = E/t representa la energía transmitida por unidad de tiempo (en watts). La intensidad I = P/S es la energía por unidad de tiempo que atraviesa la unidad de superficie perpendicular a la propagación .
Para ondas esféricas (como la luz del Sol), la superficie es S = 4πr². La intensidad disminuye con el cuadrado de la distancia. En ejercicios prácticos, multiplica la intensidad por la superficie y el tiempo para obtener la energía total recibida.
💡 Aplicación real: La intensidad solar en la Tierra es aproximadamente 1000 W/m², un dato útil para problemas de energía solar y climatología.
Nuestro compañero de IA está específicamente adaptado a las necesidades de los estudiantes. Basándonos en los millones de contenidos que tenemos en la plataforma, podemos dar a los estudiantes respuestas realmente significativas y relevantes. Pero no se trata solo de respuestas, el compañero también guía a los estudiantes a través de sus retos de aprendizaje diarios, con planes de aprendizaje personalizados, cuestionarios o contenidos en el chat y una personalización del 100% basada en las habilidades y el desarrollo de los estudiantes.
Puedes descargar la app en Google Play Store y Apple App Store.
Sí, tienes acceso gratuito a los contenidos de la aplicación y a nuestro compañero de IA. Para desbloquear determinadas funciones de la aplicación, puedes adquirir Knowunity Pro.
46
Herramientas Inteligentes NUEVO
Transforma estos apuntes en: ✓ 50+ Preguntas de Práctica ✓ Flashcards Interactivas ✓ Examen Completo de Práctica ✓ Esquemas de Ensayo
formulario de física de movimiento armónico simple, movimiento ondulatorio y ondas del sonido
TEMA 2: MOVIMIENTO ONDULATORIO 1. Concepto de onda 2. Tipos de onda 3. Magnitudes características de los tipos de ondas 4. Ecuación de las ondas armónicas 5. El sonido
Viene lo más importante Recomiendo hacer muchos ejercicios del tema
Ondas, luz y sonido
Sintexis de Lengua Castellana. Incluye las oraciones simples, los complementos y todas las oraciones compuestas
App Store
Google Play
La app es muy fácil de usar y está muy bien diseñada. Hasta ahora he encontrado todo lo que estaba buscando y he podido aprender mucho de las presentaciones. Definitivamente utilizaré la aplicación para un examen de clase. Y, por supuesto, también me sirve mucho de inspiración.
Pablo
usuario de iOS
Esta app es realmente genial. Hay tantos apuntes de clase y ayuda [...]. Tengo problemas con matemáticas, por ejemplo, y la aplicación tiene muchas opciones de ayuda. Gracias a Knowunity, he mejorado en mates. Se la recomiendo a todo el mundo.
Elena
usuaria de Android
Vaya, estoy realmente sorprendida. Acabo de probar la app porque la he visto anunciada muchas veces y me he quedado absolutamente alucinada. Esta app es LA AYUDA que quieres para el insti y, sobre todo, ofrece muchísimas cosas, como ejercicios y hojas informativas, que a mí personalmente me han sido MUY útiles.
Ana
usuaria de iOS
Está app es muy buena, tiene apuntes que son de mucha ayuda y su IA es fantástica, te explica a la perfección y muy fácil de entender lo que necesites, te ayuda con los deberes, te hace esquemas... en definitiva es una muy buena opción!
Sophia
usuario de Android
Me encanta!!! Me resuelve todo con detalle y me da la explicación correcta. Tiene un montón de funciones, ami me ha ido genial!! Os la recomiendo!!!
Marta
usuaria de Android
La uso casi diariamente, sirve para todas las asignaturas. Yo, por ejemplo la utilizo más en inglés porque se me da bastante mal, ¡Todas las respuestas están correctas! Consta con personas reales que suben sus apuntes y IA para que puedas hacer los deberes muchísimo más fácil, la recomiendo.
Izan
usuario de iOS
¡La app es buenísima! Sólo tengo que introducir el tema en la barra de búsqueda y recibo la respuesta muy rápido. No tengo que ver 10 vídeos de YouTube para entender algo, así que me ahorro tiempo. ¡Muy recomendable!
Sara
usuaria de Android
En el instituto era muy malo en matemáticas, pero gracias a la app, ahora saco mejores notas. Os agradezco mucho que hayáis creado la aplicación.
Roberto
usuario de Android
Esto no es como Chatgpt, es MUCHISMO MEJOR, te hace unos resúmenes espectaculares y gracias a esta app pase de sacar 5-6 a sacar 8-9.
Julyana
usuaria de Android
Es la mejor aplicación del mundo, la uso para revisar los deberes a mi hijo.
Javier
usuario de Android
LOS QUIZ Y FLASHCARDS SON SÚPER ÚTILES Y ME ENCANTA Knowunity IA. ADEMÁS ES LITERALMENTE COMO CHATGPT PERO MÁS LISTO!! ME AYUDÓ TAMBIÉN CON MIS PROBLEMAS DE MÁSCARA!! Y CON MIS ASIGNATURAS DE VERDAD! OBVIO 😍😁😲🤑💗✨🎀😮
Erick
usuario de Android
Me me encanta esta app, todo lo que tiene es de calidad ya que antes de ser publicado es revisado por un equipo de profesionales. Me ha ido genial esta aplicación ya que gracias a ella puedo estudiar mucho mejor, sin tener que agobiarme porque mi profesor no ha hecho teoría o porque no entiendo su teoría. Le doy un 10 de 10!
Mar
usuaria de iOS
La app es muy fácil de usar y está muy bien diseñada. Hasta ahora he encontrado todo lo que estaba buscando y he podido aprender mucho de las presentaciones. Definitivamente utilizaré la aplicación para un examen de clase. Y, por supuesto, también me sirve mucho de inspiración.
Pablo
usuario de iOS
Esta app es realmente genial. Hay tantos apuntes de clase y ayuda [...]. Tengo problemas con matemáticas, por ejemplo, y la aplicación tiene muchas opciones de ayuda. Gracias a Knowunity, he mejorado en mates. Se la recomiendo a todo el mundo.
Elena
usuaria de Android
Vaya, estoy realmente sorprendida. Acabo de probar la app porque la he visto anunciada muchas veces y me he quedado absolutamente alucinada. Esta app es LA AYUDA que quieres para el insti y, sobre todo, ofrece muchísimas cosas, como ejercicios y hojas informativas, que a mí personalmente me han sido MUY útiles.
Ana
usuaria de iOS
Está app es muy buena, tiene apuntes que son de mucha ayuda y su IA es fantástica, te explica a la perfección y muy fácil de entender lo que necesites, te ayuda con los deberes, te hace esquemas... en definitiva es una muy buena opción!
Sophia
usuario de Android
Me encanta!!! Me resuelve todo con detalle y me da la explicación correcta. Tiene un montón de funciones, ami me ha ido genial!! Os la recomiendo!!!
Marta
usuaria de Android
La uso casi diariamente, sirve para todas las asignaturas. Yo, por ejemplo la utilizo más en inglés porque se me da bastante mal, ¡Todas las respuestas están correctas! Consta con personas reales que suben sus apuntes y IA para que puedas hacer los deberes muchísimo más fácil, la recomiendo.
Izan
usuario de iOS
¡La app es buenísima! Sólo tengo que introducir el tema en la barra de búsqueda y recibo la respuesta muy rápido. No tengo que ver 10 vídeos de YouTube para entender algo, así que me ahorro tiempo. ¡Muy recomendable!
Sara
usuaria de Android
En el instituto era muy malo en matemáticas, pero gracias a la app, ahora saco mejores notas. Os agradezco mucho que hayáis creado la aplicación.
Roberto
usuario de Android
Esto no es como Chatgpt, es MUCHISMO MEJOR, te hace unos resúmenes espectaculares y gracias a esta app pase de sacar 5-6 a sacar 8-9.
Julyana
usuaria de Android
Es la mejor aplicación del mundo, la uso para revisar los deberes a mi hijo.
Javier
usuario de Android
LOS QUIZ Y FLASHCARDS SON SÚPER ÚTILES Y ME ENCANTA Knowunity IA. ADEMÁS ES LITERALMENTE COMO CHATGPT PERO MÁS LISTO!! ME AYUDÓ TAMBIÉN CON MIS PROBLEMAS DE MÁSCARA!! Y CON MIS ASIGNATURAS DE VERDAD! OBVIO 😍😁😲🤑💗✨🎀😮
Erick
usuario de Android
Me me encanta esta app, todo lo que tiene es de calidad ya que antes de ser publicado es revisado por un equipo de profesionales. Me ha ido genial esta aplicación ya que gracias a ella puedo estudiar mucho mejor, sin tener que agobiarme porque mi profesor no ha hecho teoría o porque no entiendo su teoría. Le doy un 10 de 10!
Mar
usuaria de iOS