¿Te has preguntado alguna vez cómo funcionan realmente los números?... Mostrar más
Inscríbete para ver los apuntes¡Es gratis!
Acceso a todos los documentos
Mejora tus notas
Únete a millones de estudiantes
Knowunity AI
Asignaturas
Triangle Congruence and Similarity Theorems
Triangle Properties and Classification
Linear Equations and Graphs
Geometric Angle Relationships
Trigonometric Functions and Identities
Equation Solving Techniques
Circle Geometry Fundamentals
Division Operations and Methods
Basic Differentiation Rules
Exponent and Logarithm Properties
Mostrar todos los temas
Human Organ Systems
Reproductive Cell Cycles
Biological Sciences Subdisciplines
Cellular Energy Metabolism
Autotrophic Energy Processes
Inheritance Patterns and Principles
Biomolecular Structure and Organization
Cell Cycle and Division Mechanics
Cellular Organization and Development
Biological Structural Organization
Mostrar todos los temas
Chemical Sciences and Applications
Atomic Structure and Composition
Molecular Electron Structure Representation
Atomic Electron Behavior
Matter Properties and Water
Mole Concept and Calculations
Gas Laws and Behavior
Periodic Table Organization
Chemical Thermodynamics Fundamentals
Chemical Bond Types and Properties
Mostrar todos los temas
European Renaissance and Enlightenment
European Cultural Movements 800-1920
American Revolution Era 1763-1797
American Civil War 1861-1865
Global Imperial Systems
Mongol and Chinese Dynasties
U.S. Presidents and World Leaders
Historical Sources and Documentation
World Wars Era and Impact
World Religious Systems
Mostrar todos los temas
Classic and Contemporary Novels
Literary Character Analysis
Rhetorical Theory and Practice
Classic Literary Narratives
Reading Analysis and Interpretation
Narrative Structure and Techniques
English Language Components
Influential English-Language Authors
Basic Sentence Structure
Narrative Voice and Perspective
Mostrar todos los temas
505
•
Actualizado Mar 21, 2026
•
Elena Pacheco Cordon
@elenapachecocor
¿Te has preguntado alguna vez cómo funcionan realmente los números?... Mostrar más









Los conjuntos numéricos son como familias de números que van creciendo. Empezamos con los naturales (1,2,3...), luego los enteros (añadimos el 0 y negativos), después los racionales , y finalmente los irracionales (√2, π).
Los números reales son la unión de racionales e irracionales. Es decir, ℝ = ℚ ∪ I. Los racionales se pueden escribir como decimal exacto (1,5) o periódico (1,333...).
El valor absoluto |a| siempre da el número en positivo. Si a ≥ 0, entonces |a| = a. Si a < 0, entonces |a| = -a. Por ejemplo: |−4| = 4 y |4| = 4.
💡 Truco: El valor absoluto es como la "distancia" de un número al cero en la recta numérica.

Los intervalos describen conjuntos de números entre dos valores. Un intervalo cerrado [2,6] incluye los extremos (2 ≤ x ≤ 6), mientras que un intervalo abierto (2,6) no los incluye (2 < x < 6).
Los intervalos semiabiertos incluyen solo uno de los extremos: [2,6) o (2,6]. Los corchetes [] significan "incluido" y los paréntesis () significan "no incluido".
Las semirrectas van hacia el infinito. Por ejemplo, [3,+∞) incluye todos los números mayores o iguales a 3, mientras que (−∞,3) incluye todos los menores que 3.
💡 Recuerda: El infinito siempre va con paréntesis, nunca con corchetes.

La unión A∪B incluye números que pertenecen a A o a B (o ambos). Si A=(-1,3] y B=[2,5], entonces A∪B=(-1,5].
La intersección A∩B incluye solo números que están en ambos intervalos. Si A=[-2,3] y B=[1,8], entonces A∩B=[1,3].
El complementario A^c incluye todos los números que NO están en A. Si A=(5,∞), entonces A^c=(-∞,5].
Para intervalos con valor absoluto: |x|≤5 se convierte en -5≤x≤5, es decir, [-5,5]. Si tienes |x-3|≤5, despeja: -5≤x-3≤5, luego suma 3 a todo: -2≤x≤8.
💡 Estrategia: Dibuja siempre los intervalos en una recta para visualizar mejor las operaciones.

La aproximación tiene dos métodos principales. El redondeo mira la cifra siguiente: si es ≥5, suma 1; si es <5, deja igual. El truncamiento simplemente corta los decimales sobrantes.
Los radicales son la operación inversa de las potencias. ∛8 = 2 porque 2³ = 8. La fórmula general es: ⁿ√a = b si y solo si b^n = a.
Con índice par, si a>0 hay dos soluciones (±); si a<0 no hay solución real. Con índice impar, siempre hay una solución: positiva si a>0, negativa si a<0.
Los radicales se pueden escribir como potencias fraccionarias: ⁿ√a^m = a^. Por ejemplo: ⁴√5² = 5^(2/4) = 5^(1/2) = √5.
💡 Conexión: Pensar en radicales como potencias fraccionarias te facilitará mucho las operaciones.

Para simplificar radicales, puedes cambiar el índice, extraer factores o meter factores. Por ejemplo: ⁴√8 = ⁴√(2³) = ⁴√(2·2²) = 2⁴√2.
Para sumar radicales, necesitas mismo índice y mismo radicando. 3√2 + 7√2 = 10√2, pero √2 + √3 se queda así.
Para multiplicar o dividir, necesitas mismo índice: √2 · √3 = √6. Con radicales del mismo radicando: √2 · ³√2 = 2^(1/2) · 2^(1/3) = 2^(5/6).
Las potencias y raíces siguen las reglas: (ⁿ√a)^m = ⁿ√ y ⁿ√(ᵐ√a) = ⁿᵐ√a.
💡 Identidades útiles: Recuerda (a±b)² = a² ± 2ab + b² y = a² - b² para la racionalización.

La racionalización elimina radicales del denominador multiplicando por una expresión conveniente. Para 3/√2, multiplicas por √2/√2: 3√2/2.
Para radicales con índice mayor, completas la potencia. Para 3/³√2, multiplicas por ³√2²/³√2²: 3³√4/2.
Para binomios con radicales, usas el conjugado. Para 3/(5-√2), multiplicas por (5+√2)/(5+√2). El denominador se convierte en 5² - (√2)² = 25 - 2 = 23.
El resultado final es (15+3√2)/23. Esta técnica funciona porque = a² - b², eliminando el radical mixto.
💡 Clave: El conjugado de es , y su producto elimina siempre el radical del denominador.

Para casos complejos como 1/(√2+√3), multiplicas por (√2-√3)/(√2-√3). El denominador queda: (√2)² - (√3)² = 2 - 3 = -1.
Importante: √ ≠ √a + √b. Por ejemplo, √25 = 5, pero √(16+9) ≠ √16 + √9. La raíz de una suma no es la suma de las raíces.
Los logaritmos son la operación inversa de las potencias. log_a b = n significa que a^n = b. La base debe ser positiva y distinta de 1.
Propiedades básicas: log_a 1 = 0, log_a a = 1, y log_a a^n = n. Estas son fundamentales para resolver ecuaciones logarítmicas.
💡 Conexión: Potencia ↔ Logaritmo es como Multiplicación ↔ División. Son operaciones inversas.

Las tres propiedades fundamentales simplifican cálculos complejos. Primera: log_a(b·c) = log_a b + log_a c. Los logaritmos convierten productos en sumas.
Segunda: log_a = log_a b - log_a c. Las divisiones se convierten en restas. Tercera: log_a b^n = n · log_a b. Las potencias "bajan" como factores.
El cambio de base permite calcular cualquier logaritmo: log_a b = /. Normalmente usamos base 10: log_2 4 = log 4/log 2.
Para verificar: log_2 4 = x significa 2^x = 4 = 2², por tanto x = 2. Los logaritmos decimales (base 10) se escriben solo como "log" sin especificar la base.
💡 Aplicación: Los logaritmos son esenciales en ciencias para manejar números muy grandes o muy pequeños (pH, escala de Richter, etc.).
Nuestro compañero de IA está específicamente adaptado a las necesidades de los estudiantes. Basándonos en los millones de contenidos que tenemos en la plataforma, podemos dar a los estudiantes respuestas realmente significativas y relevantes. Pero no se trata solo de respuestas, el compañero también guía a los estudiantes a través de sus retos de aprendizaje diarios, con planes de aprendizaje personalizados, cuestionarios o contenidos en el chat y una personalización del 100% basada en las habilidades y el desarrollo de los estudiantes.
Puedes descargar la app en Google Play Store y Apple App Store.
Sí, tienes acceso gratuito a los contenidos de la aplicación y a nuestro compañero de IA. Para desbloquear determinadas funciones de la aplicación, puedes adquirir Knowunity Pro.
Sintexis de Lengua Castellana. Incluye las oraciones simples, los complementos y todas las oraciones compuestas
App Store
Google Play
La app es muy fácil de usar y está muy bien diseñada. Hasta ahora he encontrado todo lo que estaba buscando y he podido aprender mucho de las presentaciones. Definitivamente utilizaré la aplicación para un examen de clase. Y, por supuesto, también me sirve mucho de inspiración.
Pablo
usuario de iOS
Esta app es realmente genial. Hay tantos apuntes de clase y ayuda [...]. Tengo problemas con matemáticas, por ejemplo, y la aplicación tiene muchas opciones de ayuda. Gracias a Knowunity, he mejorado en mates. Se la recomiendo a todo el mundo.
Elena
usuaria de Android
Vaya, estoy realmente sorprendida. Acabo de probar la app porque la he visto anunciada muchas veces y me he quedado absolutamente alucinada. Esta app es LA AYUDA que quieres para el insti y, sobre todo, ofrece muchísimas cosas, como ejercicios y hojas informativas, que a mí personalmente me han sido MUY útiles.
Ana
usuaria de iOS
Está app es muy buena, tiene apuntes que son de mucha ayuda y su IA es fantástica, te explica a la perfección y muy fácil de entender lo que necesites, te ayuda con los deberes, te hace esquemas... en definitiva es una muy buena opción!
Sophia
usuario de Android
Me encanta!!! Me resuelve todo con detalle y me da la explicación correcta. Tiene un montón de funciones, ami me ha ido genial!! Os la recomiendo!!!
Marta
usuaria de Android
La uso casi diariamente, sirve para todas las asignaturas. Yo, por ejemplo la utilizo más en inglés porque se me da bastante mal, ¡Todas las respuestas están correctas! Consta con personas reales que suben sus apuntes y IA para que puedas hacer los deberes muchísimo más fácil, la recomiendo.
Izan
usuario de iOS
¡La app es buenísima! Sólo tengo que introducir el tema en la barra de búsqueda y recibo la respuesta muy rápido. No tengo que ver 10 vídeos de YouTube para entender algo, así que me ahorro tiempo. ¡Muy recomendable!
Sara
usuaria de Android
En el instituto era muy malo en matemáticas, pero gracias a la app, ahora saco mejores notas. Os agradezco mucho que hayáis creado la aplicación.
Roberto
usuario de Android
Esto no es como Chatgpt, es MUCHISMO MEJOR, te hace unos resúmenes espectaculares y gracias a esta app pase de sacar 5-6 a sacar 8-9.
Julyana
usuaria de Android
Es la mejor aplicación del mundo, la uso para revisar los deberes a mi hijo.
Javier
usuario de Android
LOS QUIZ Y FLASHCARDS SON SÚPER ÚTILES Y ME ENCANTA Knowunity IA. ADEMÁS ES LITERALMENTE COMO CHATGPT PERO MÁS LISTO!! ME AYUDÓ TAMBIÉN CON MIS PROBLEMAS DE MÁSCARA!! Y CON MIS ASIGNATURAS DE VERDAD! OBVIO 😍😁😲🤑💗✨🎀😮
Erick
usuario de Android
Me me encanta esta app, todo lo que tiene es de calidad ya que antes de ser publicado es revisado por un equipo de profesionales. Me ha ido genial esta aplicación ya que gracias a ella puedo estudiar mucho mejor, sin tener que agobiarme porque mi profesor no ha hecho teoría o porque no entiendo su teoría. Le doy un 10 de 10!
Mar
usuaria de iOS
La app es muy fácil de usar y está muy bien diseñada. Hasta ahora he encontrado todo lo que estaba buscando y he podido aprender mucho de las presentaciones. Definitivamente utilizaré la aplicación para un examen de clase. Y, por supuesto, también me sirve mucho de inspiración.
Pablo
usuario de iOS
Esta app es realmente genial. Hay tantos apuntes de clase y ayuda [...]. Tengo problemas con matemáticas, por ejemplo, y la aplicación tiene muchas opciones de ayuda. Gracias a Knowunity, he mejorado en mates. Se la recomiendo a todo el mundo.
Elena
usuaria de Android
Vaya, estoy realmente sorprendida. Acabo de probar la app porque la he visto anunciada muchas veces y me he quedado absolutamente alucinada. Esta app es LA AYUDA que quieres para el insti y, sobre todo, ofrece muchísimas cosas, como ejercicios y hojas informativas, que a mí personalmente me han sido MUY útiles.
Ana
usuaria de iOS
Está app es muy buena, tiene apuntes que son de mucha ayuda y su IA es fantástica, te explica a la perfección y muy fácil de entender lo que necesites, te ayuda con los deberes, te hace esquemas... en definitiva es una muy buena opción!
Sophia
usuario de Android
Me encanta!!! Me resuelve todo con detalle y me da la explicación correcta. Tiene un montón de funciones, ami me ha ido genial!! Os la recomiendo!!!
Marta
usuaria de Android
La uso casi diariamente, sirve para todas las asignaturas. Yo, por ejemplo la utilizo más en inglés porque se me da bastante mal, ¡Todas las respuestas están correctas! Consta con personas reales que suben sus apuntes y IA para que puedas hacer los deberes muchísimo más fácil, la recomiendo.
Izan
usuario de iOS
¡La app es buenísima! Sólo tengo que introducir el tema en la barra de búsqueda y recibo la respuesta muy rápido. No tengo que ver 10 vídeos de YouTube para entender algo, así que me ahorro tiempo. ¡Muy recomendable!
Sara
usuaria de Android
En el instituto era muy malo en matemáticas, pero gracias a la app, ahora saco mejores notas. Os agradezco mucho que hayáis creado la aplicación.
Roberto
usuario de Android
Esto no es como Chatgpt, es MUCHISMO MEJOR, te hace unos resúmenes espectaculares y gracias a esta app pase de sacar 5-6 a sacar 8-9.
Julyana
usuaria de Android
Es la mejor aplicación del mundo, la uso para revisar los deberes a mi hijo.
Javier
usuario de Android
LOS QUIZ Y FLASHCARDS SON SÚPER ÚTILES Y ME ENCANTA Knowunity IA. ADEMÁS ES LITERALMENTE COMO CHATGPT PERO MÁS LISTO!! ME AYUDÓ TAMBIÉN CON MIS PROBLEMAS DE MÁSCARA!! Y CON MIS ASIGNATURAS DE VERDAD! OBVIO 😍😁😲🤑💗✨🎀😮
Erick
usuario de Android
Me me encanta esta app, todo lo que tiene es de calidad ya que antes de ser publicado es revisado por un equipo de profesionales. Me ha ido genial esta aplicación ya que gracias a ella puedo estudiar mucho mejor, sin tener que agobiarme porque mi profesor no ha hecho teoría o porque no entiendo su teoría. Le doy un 10 de 10!
Mar
usuaria de iOS
Elena Pacheco Cordon
@elenapachecocor
¿Te has preguntado alguna vez cómo funcionan realmente los números? Los números realesson la base de todo lo que estudiarás en matemáticas avanzadas. Desde entender por qué √2 no se puede escribir como fracción hasta dominar logaritmos, este tema... Mostrar más

Acceso a todos los documentos
Mejora tus notas
Únete a millones de estudiantes
Los conjuntos numéricos son como familias de números que van creciendo. Empezamos con los naturales (1,2,3...), luego los enteros (añadimos el 0 y negativos), después los racionales , y finalmente los irracionales (√2, π).
Los números reales son la unión de racionales e irracionales. Es decir, ℝ = ℚ ∪ I. Los racionales se pueden escribir como decimal exacto (1,5) o periódico (1,333...).
El valor absoluto |a| siempre da el número en positivo. Si a ≥ 0, entonces |a| = a. Si a < 0, entonces |a| = -a. Por ejemplo: |−4| = 4 y |4| = 4.
💡 Truco: El valor absoluto es como la "distancia" de un número al cero en la recta numérica.

Acceso a todos los documentos
Mejora tus notas
Únete a millones de estudiantes
Los intervalos describen conjuntos de números entre dos valores. Un intervalo cerrado [2,6] incluye los extremos (2 ≤ x ≤ 6), mientras que un intervalo abierto (2,6) no los incluye (2 < x < 6).
Los intervalos semiabiertos incluyen solo uno de los extremos: [2,6) o (2,6]. Los corchetes [] significan "incluido" y los paréntesis () significan "no incluido".
Las semirrectas van hacia el infinito. Por ejemplo, [3,+∞) incluye todos los números mayores o iguales a 3, mientras que (−∞,3) incluye todos los menores que 3.
💡 Recuerda: El infinito siempre va con paréntesis, nunca con corchetes.

Acceso a todos los documentos
Mejora tus notas
Únete a millones de estudiantes
La unión A∪B incluye números que pertenecen a A o a B (o ambos). Si A=(-1,3] y B=[2,5], entonces A∪B=(-1,5].
La intersección A∩B incluye solo números que están en ambos intervalos. Si A=[-2,3] y B=[1,8], entonces A∩B=[1,3].
El complementario A^c incluye todos los números que NO están en A. Si A=(5,∞), entonces A^c=(-∞,5].
Para intervalos con valor absoluto: |x|≤5 se convierte en -5≤x≤5, es decir, [-5,5]. Si tienes |x-3|≤5, despeja: -5≤x-3≤5, luego suma 3 a todo: -2≤x≤8.
💡 Estrategia: Dibuja siempre los intervalos en una recta para visualizar mejor las operaciones.

Acceso a todos los documentos
Mejora tus notas
Únete a millones de estudiantes
La aproximación tiene dos métodos principales. El redondeo mira la cifra siguiente: si es ≥5, suma 1; si es <5, deja igual. El truncamiento simplemente corta los decimales sobrantes.
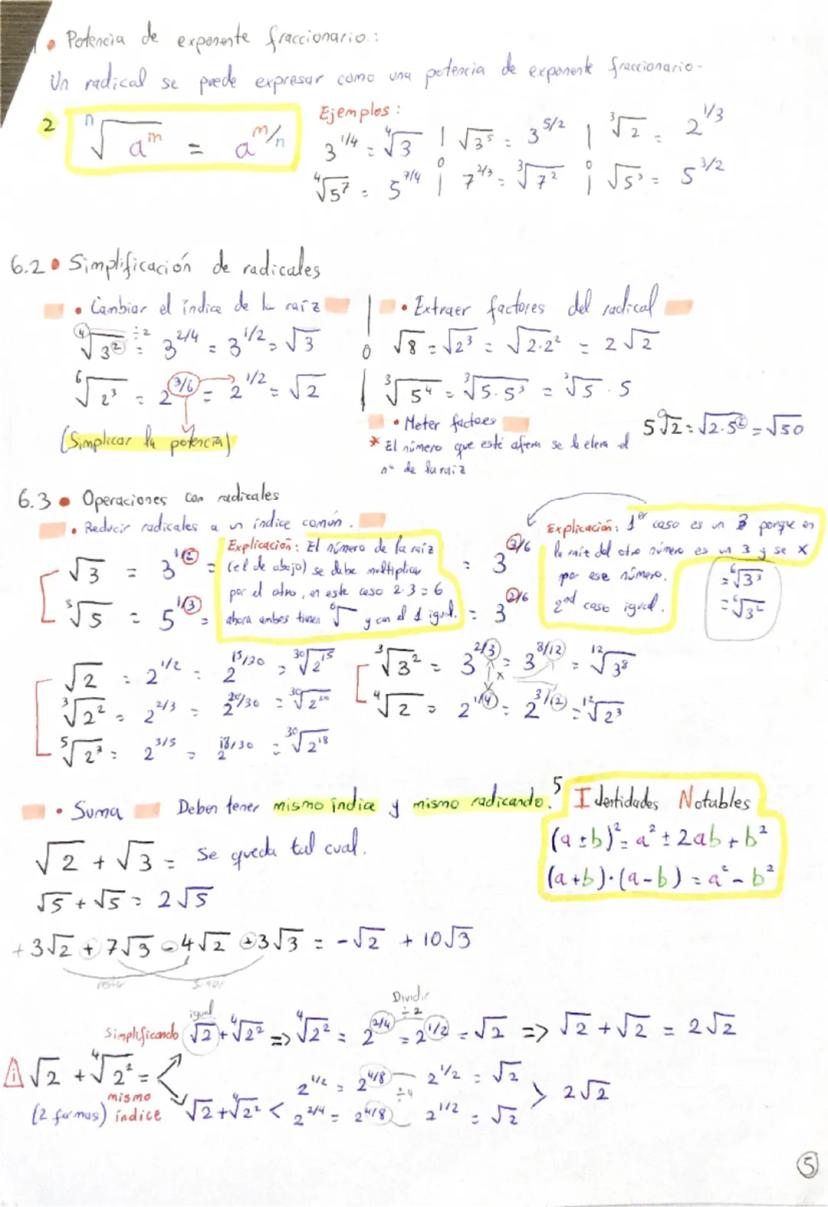
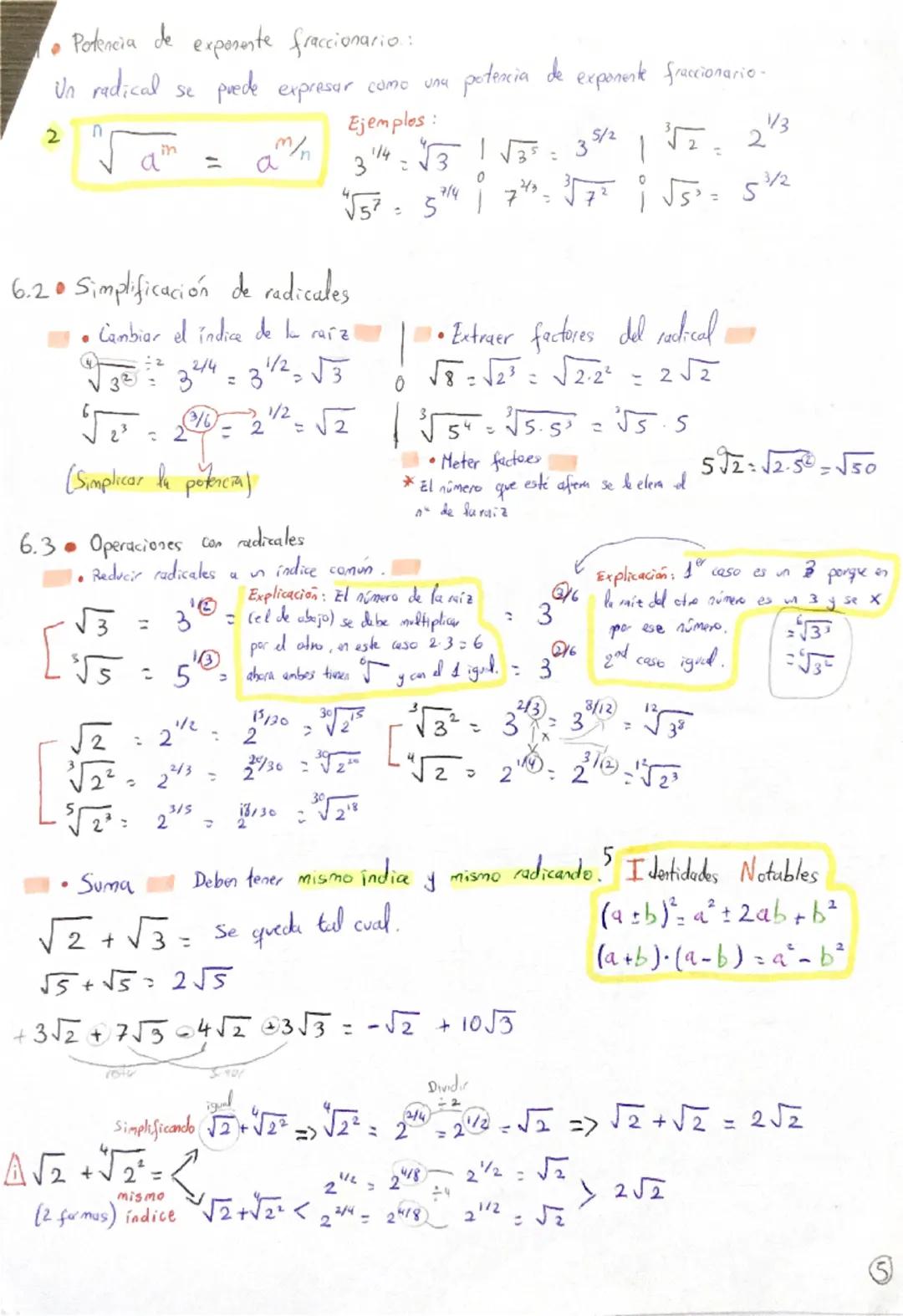
Los radicales son la operación inversa de las potencias. ∛8 = 2 porque 2³ = 8. La fórmula general es: ⁿ√a = b si y solo si b^n = a.
Con índice par, si a>0 hay dos soluciones (±); si a<0 no hay solución real. Con índice impar, siempre hay una solución: positiva si a>0, negativa si a<0.
Los radicales se pueden escribir como potencias fraccionarias: ⁿ√a^m = a^. Por ejemplo: ⁴√5² = 5^(2/4) = 5^(1/2) = √5.
💡 Conexión: Pensar en radicales como potencias fraccionarias te facilitará mucho las operaciones.

Acceso a todos los documentos
Mejora tus notas
Únete a millones de estudiantes
Para simplificar radicales, puedes cambiar el índice, extraer factores o meter factores. Por ejemplo: ⁴√8 = ⁴√(2³) = ⁴√(2·2²) = 2⁴√2.
Para sumar radicales, necesitas mismo índice y mismo radicando. 3√2 + 7√2 = 10√2, pero √2 + √3 se queda así.
Para multiplicar o dividir, necesitas mismo índice: √2 · √3 = √6. Con radicales del mismo radicando: √2 · ³√2 = 2^(1/2) · 2^(1/3) = 2^(5/6).
Las potencias y raíces siguen las reglas: (ⁿ√a)^m = ⁿ√ y ⁿ√(ᵐ√a) = ⁿᵐ√a.
💡 Identidades útiles: Recuerda (a±b)² = a² ± 2ab + b² y = a² - b² para la racionalización.

Acceso a todos los documentos
Mejora tus notas
Únete a millones de estudiantes
La racionalización elimina radicales del denominador multiplicando por una expresión conveniente. Para 3/√2, multiplicas por √2/√2: 3√2/2.
Para radicales con índice mayor, completas la potencia. Para 3/³√2, multiplicas por ³√2²/³√2²: 3³√4/2.
Para binomios con radicales, usas el conjugado. Para 3/(5-√2), multiplicas por (5+√2)/(5+√2). El denominador se convierte en 5² - (√2)² = 25 - 2 = 23.
El resultado final es (15+3√2)/23. Esta técnica funciona porque = a² - b², eliminando el radical mixto.
💡 Clave: El conjugado de es , y su producto elimina siempre el radical del denominador.

Acceso a todos los documentos
Mejora tus notas
Únete a millones de estudiantes
Para casos complejos como 1/(√2+√3), multiplicas por (√2-√3)/(√2-√3). El denominador queda: (√2)² - (√3)² = 2 - 3 = -1.
Importante: √ ≠ √a + √b. Por ejemplo, √25 = 5, pero √(16+9) ≠ √16 + √9. La raíz de una suma no es la suma de las raíces.
Los logaritmos son la operación inversa de las potencias. log_a b = n significa que a^n = b. La base debe ser positiva y distinta de 1.
Propiedades básicas: log_a 1 = 0, log_a a = 1, y log_a a^n = n. Estas son fundamentales para resolver ecuaciones logarítmicas.
💡 Conexión: Potencia ↔ Logaritmo es como Multiplicación ↔ División. Son operaciones inversas.

Acceso a todos los documentos
Mejora tus notas
Únete a millones de estudiantes
Las tres propiedades fundamentales simplifican cálculos complejos. Primera: log_a(b·c) = log_a b + log_a c. Los logaritmos convierten productos en sumas.
Segunda: log_a = log_a b - log_a c. Las divisiones se convierten en restas. Tercera: log_a b^n = n · log_a b. Las potencias "bajan" como factores.
El cambio de base permite calcular cualquier logaritmo: log_a b = /. Normalmente usamos base 10: log_2 4 = log 4/log 2.
Para verificar: log_2 4 = x significa 2^x = 4 = 2², por tanto x = 2. Los logaritmos decimales (base 10) se escriben solo como "log" sin especificar la base.
💡 Aplicación: Los logaritmos son esenciales en ciencias para manejar números muy grandes o muy pequeños (pH, escala de Richter, etc.).
Nuestro compañero de IA está específicamente adaptado a las necesidades de los estudiantes. Basándonos en los millones de contenidos que tenemos en la plataforma, podemos dar a los estudiantes respuestas realmente significativas y relevantes. Pero no se trata solo de respuestas, el compañero también guía a los estudiantes a través de sus retos de aprendizaje diarios, con planes de aprendizaje personalizados, cuestionarios o contenidos en el chat y una personalización del 100% basada en las habilidades y el desarrollo de los estudiantes.
Puedes descargar la app en Google Play Store y Apple App Store.
Sí, tienes acceso gratuito a los contenidos de la aplicación y a nuestro compañero de IA. Para desbloquear determinadas funciones de la aplicación, puedes adquirir Knowunity Pro.
13
Herramientas Inteligentes NUEVO
Transforma estos apuntes en: ✓ 50+ Preguntas de Práctica ✓ Flashcards Interactivas ✓ Examen Completo de Práctica ✓ Esquemas de Ensayo
Sintexis de Lengua Castellana. Incluye las oraciones simples, los complementos y todas las oraciones compuestas
App Store
Google Play
La app es muy fácil de usar y está muy bien diseñada. Hasta ahora he encontrado todo lo que estaba buscando y he podido aprender mucho de las presentaciones. Definitivamente utilizaré la aplicación para un examen de clase. Y, por supuesto, también me sirve mucho de inspiración.
Pablo
usuario de iOS
Esta app es realmente genial. Hay tantos apuntes de clase y ayuda [...]. Tengo problemas con matemáticas, por ejemplo, y la aplicación tiene muchas opciones de ayuda. Gracias a Knowunity, he mejorado en mates. Se la recomiendo a todo el mundo.
Elena
usuaria de Android
Vaya, estoy realmente sorprendida. Acabo de probar la app porque la he visto anunciada muchas veces y me he quedado absolutamente alucinada. Esta app es LA AYUDA que quieres para el insti y, sobre todo, ofrece muchísimas cosas, como ejercicios y hojas informativas, que a mí personalmente me han sido MUY útiles.
Ana
usuaria de iOS
Está app es muy buena, tiene apuntes que son de mucha ayuda y su IA es fantástica, te explica a la perfección y muy fácil de entender lo que necesites, te ayuda con los deberes, te hace esquemas... en definitiva es una muy buena opción!
Sophia
usuario de Android
Me encanta!!! Me resuelve todo con detalle y me da la explicación correcta. Tiene un montón de funciones, ami me ha ido genial!! Os la recomiendo!!!
Marta
usuaria de Android
La uso casi diariamente, sirve para todas las asignaturas. Yo, por ejemplo la utilizo más en inglés porque se me da bastante mal, ¡Todas las respuestas están correctas! Consta con personas reales que suben sus apuntes y IA para que puedas hacer los deberes muchísimo más fácil, la recomiendo.
Izan
usuario de iOS
¡La app es buenísima! Sólo tengo que introducir el tema en la barra de búsqueda y recibo la respuesta muy rápido. No tengo que ver 10 vídeos de YouTube para entender algo, así que me ahorro tiempo. ¡Muy recomendable!
Sara
usuaria de Android
En el instituto era muy malo en matemáticas, pero gracias a la app, ahora saco mejores notas. Os agradezco mucho que hayáis creado la aplicación.
Roberto
usuario de Android
Esto no es como Chatgpt, es MUCHISMO MEJOR, te hace unos resúmenes espectaculares y gracias a esta app pase de sacar 5-6 a sacar 8-9.
Julyana
usuaria de Android
Es la mejor aplicación del mundo, la uso para revisar los deberes a mi hijo.
Javier
usuario de Android
LOS QUIZ Y FLASHCARDS SON SÚPER ÚTILES Y ME ENCANTA Knowunity IA. ADEMÁS ES LITERALMENTE COMO CHATGPT PERO MÁS LISTO!! ME AYUDÓ TAMBIÉN CON MIS PROBLEMAS DE MÁSCARA!! Y CON MIS ASIGNATURAS DE VERDAD! OBVIO 😍😁😲🤑💗✨🎀😮
Erick
usuario de Android
Me me encanta esta app, todo lo que tiene es de calidad ya que antes de ser publicado es revisado por un equipo de profesionales. Me ha ido genial esta aplicación ya que gracias a ella puedo estudiar mucho mejor, sin tener que agobiarme porque mi profesor no ha hecho teoría o porque no entiendo su teoría. Le doy un 10 de 10!
Mar
usuaria de iOS
La app es muy fácil de usar y está muy bien diseñada. Hasta ahora he encontrado todo lo que estaba buscando y he podido aprender mucho de las presentaciones. Definitivamente utilizaré la aplicación para un examen de clase. Y, por supuesto, también me sirve mucho de inspiración.
Pablo
usuario de iOS
Esta app es realmente genial. Hay tantos apuntes de clase y ayuda [...]. Tengo problemas con matemáticas, por ejemplo, y la aplicación tiene muchas opciones de ayuda. Gracias a Knowunity, he mejorado en mates. Se la recomiendo a todo el mundo.
Elena
usuaria de Android
Vaya, estoy realmente sorprendida. Acabo de probar la app porque la he visto anunciada muchas veces y me he quedado absolutamente alucinada. Esta app es LA AYUDA que quieres para el insti y, sobre todo, ofrece muchísimas cosas, como ejercicios y hojas informativas, que a mí personalmente me han sido MUY útiles.
Ana
usuaria de iOS
Está app es muy buena, tiene apuntes que son de mucha ayuda y su IA es fantástica, te explica a la perfección y muy fácil de entender lo que necesites, te ayuda con los deberes, te hace esquemas... en definitiva es una muy buena opción!
Sophia
usuario de Android
Me encanta!!! Me resuelve todo con detalle y me da la explicación correcta. Tiene un montón de funciones, ami me ha ido genial!! Os la recomiendo!!!
Marta
usuaria de Android
La uso casi diariamente, sirve para todas las asignaturas. Yo, por ejemplo la utilizo más en inglés porque se me da bastante mal, ¡Todas las respuestas están correctas! Consta con personas reales que suben sus apuntes y IA para que puedas hacer los deberes muchísimo más fácil, la recomiendo.
Izan
usuario de iOS
¡La app es buenísima! Sólo tengo que introducir el tema en la barra de búsqueda y recibo la respuesta muy rápido. No tengo que ver 10 vídeos de YouTube para entender algo, así que me ahorro tiempo. ¡Muy recomendable!
Sara
usuaria de Android
En el instituto era muy malo en matemáticas, pero gracias a la app, ahora saco mejores notas. Os agradezco mucho que hayáis creado la aplicación.
Roberto
usuario de Android
Esto no es como Chatgpt, es MUCHISMO MEJOR, te hace unos resúmenes espectaculares y gracias a esta app pase de sacar 5-6 a sacar 8-9.
Julyana
usuaria de Android
Es la mejor aplicación del mundo, la uso para revisar los deberes a mi hijo.
Javier
usuario de Android
LOS QUIZ Y FLASHCARDS SON SÚPER ÚTILES Y ME ENCANTA Knowunity IA. ADEMÁS ES LITERALMENTE COMO CHATGPT PERO MÁS LISTO!! ME AYUDÓ TAMBIÉN CON MIS PROBLEMAS DE MÁSCARA!! Y CON MIS ASIGNATURAS DE VERDAD! OBVIO 😍😁😲🤑💗✨🎀😮
Erick
usuario de Android
Me me encanta esta app, todo lo que tiene es de calidad ya que antes de ser publicado es revisado por un equipo de profesionales. Me ha ido genial esta aplicación ya que gracias a ella puedo estudiar mucho mejor, sin tener que agobiarme porque mi profesor no ha hecho teoría o porque no entiendo su teoría. Le doy un 10 de 10!
Mar
usuaria de iOS