Radicales , racionalización , y simplificación 4º eso
Inscríbete para ver los apuntes¡Es gratis!
Acceso a todos los documentos
Mejora tus notas
Únete a millones de estudiantes
Al registrarte aceptas las Condiciones del servicio y la Política de privacidad.








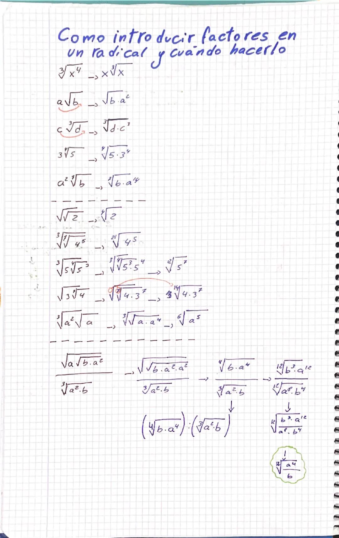
![# Radicales
1. Como extraer
factores de un radical?
Indice $\rightarrow \sqrt[3]{5^+} = 5 \frac{7}{3}$
Radicando
1. factoriza el radican](/_next/image?url=https%3A%2F%2Fcontent-eu-central-1.knowunity.com%2FCONTENT%2FoYiTGpznDdLrYoEHKfku_image_page_1.webp&w=2048&q=75)
![# Radicales
1. Como extraer
factores de un radical?
Indice $\rightarrow \sqrt[3]{5^+} = 5 \frac{7}{3}$
Radicando
1. factoriza el radican](/_next/image?url=https%3A%2F%2Fcontent-eu-central-1.knowunity.com%2FCONTENT%2FoYiTGpznDdLrYoEHKfku_image_page_2.webp&w=2048&q=75)
![# Radicales
1. Como extraer
factores de un radical?
Indice $\rightarrow \sqrt[3]{5^+} = 5 \frac{7}{3}$
Radicando
1. factoriza el radican](/_next/image?url=https%3A%2F%2Fcontent-eu-central-1.knowunity.com%2FCONTENT%2FoYiTGpznDdLrYoEHKfku_image_page_3.webp&w=2048&q=75)
![# Radicales
1. Como extraer
factores de un radical?
Indice $\rightarrow \sqrt[3]{5^+} = 5 \frac{7}{3}$
Radicando
1. factoriza el radican](/_next/image?url=https%3A%2F%2Fcontent-eu-central-1.knowunity.com%2FCONTENT%2FoYiTGpznDdLrYoEHKfku_image_page_4.webp&w=2048&q=75)
![# Radicales
1. Como extraer
factores de un radical?
Indice $\rightarrow \sqrt[3]{5^+} = 5 \frac{7}{3}$
Radicando
1. factoriza el radican](/_next/image?url=https%3A%2F%2Fcontent-eu-central-1.knowunity.com%2FCONTENT%2FoYiTGpznDdLrYoEHKfku_image_page_5.webp&w=2048&q=75)
![# Radicales
1. Como extraer
factores de un radical?
Indice $\rightarrow \sqrt[3]{5^+} = 5 \frac{7}{3}$
Radicando
1. factoriza el radican](/_next/image?url=https%3A%2F%2Fcontent-eu-central-1.knowunity.com%2FCONTENT%2FoYiTGpznDdLrYoEHKfku_image_page_6.webp&w=2048&q=75)
![# Radicales
1. Como extraer
factores de un radical?
Indice $\rightarrow \sqrt[3]{5^+} = 5 \frac{7}{3}$
Radicando
1. factoriza el radican](/_next/image?url=https%3A%2F%2Fcontent-eu-central-1.knowunity.com%2FCONTENT%2FoYiTGpznDdLrYoEHKfku_image_page_7.webp&w=2048&q=75)