Los polinomios y fracciones algebraicas son herramientas matemáticas fundamentales que... Mostrar más
Inscríbete para ver los apuntes¡Es gratis!
Acceso a todos los documentos
Mejora tus notas
Únete a millones de estudiantes
Knowunity AI
Asignaturas
Triangle Congruence and Similarity Theorems
Triangle Properties and Classification
Linear Equations and Graphs
Geometric Angle Relationships
Trigonometric Functions and Identities
Equation Solving Techniques
Circle Geometry Fundamentals
Division Operations and Methods
Basic Differentiation Rules
Exponent and Logarithm Properties
Mostrar todos los temas
Human Organ Systems
Reproductive Cell Cycles
Biological Sciences Subdisciplines
Cellular Energy Metabolism
Autotrophic Energy Processes
Inheritance Patterns and Principles
Biomolecular Structure and Organization
Cell Cycle and Division Mechanics
Cellular Organization and Development
Biological Structural Organization
Mostrar todos los temas
Chemical Sciences and Applications
Atomic Structure and Composition
Molecular Electron Structure Representation
Atomic Electron Behavior
Matter Properties and Water
Mole Concept and Calculations
Gas Laws and Behavior
Periodic Table Organization
Chemical Thermodynamics Fundamentals
Chemical Bond Types and Properties
Mostrar todos los temas
European Renaissance and Enlightenment
European Cultural Movements 800-1920
American Revolution Era 1763-1797
American Civil War 1861-1865
Global Imperial Systems
Mongol and Chinese Dynasties
U.S. Presidents and World Leaders
Historical Sources and Documentation
World Wars Era and Impact
World Religious Systems
Mostrar todos los temas
Classic and Contemporary Novels
Literary Character Analysis
Rhetorical Theory and Practice
Classic Literary Narratives
Reading Analysis and Interpretation
Narrative Structure and Techniques
English Language Components
Influential English-Language Authors
Basic Sentence Structure
Narrative Voice and Perspective
Mostrar todos los temas
440
•
Actualizado May 11, 2026
•
Hafsa
@hafsa_mxjr
Los polinomios y fracciones algebraicas son herramientas matemáticas fundamentales que... Mostrar más











Un polinomio es una expresión algebraica formada por términos llamados monomios. Por ejemplo, en $3x^5 + 14x^4 - \frac{1}{2}x^3 + \sqrt{7}x^2 + 4$, tenemos un polinomio de grado 5, donde cada término tiene un grado específico.
Para sumar o restar polinomios, simplemente agrupamos los términos del mismo grado. Por ejemplo:
💡 Recuerda que restar un polinomio es equivalente a sumar su opuesto:
El grado de un monomio depende del exponente de la variable: 4 es de grado 0, mientras que 4x es de grado 1.

Para multiplicar polinomios, multiplicamos cada término del primer polinomio por cada término del segundo y luego sumamos los resultados. Por ejemplo:
Para extraer factor común, identificamos un factor que aparezca en todos los términos: $10x^2y^2-5x^2y+20x^2y = 5x^2y$
La división de polinomios se realiza mediante el algoritmo de la división, ordenando los polinomios de mayor a menor grado. El resultado será un cociente y, posiblemente, un resto.
🔍 Las identidades notables son muy útiles para simplificar operaciones: , ,
Dominar estas operaciones te permitirá resolver problemas complejos con mayor facilidad.

La Regla de Ruffini es un método rápido para dividir un polinomio entre un binomio de la forma . Esta técnica simplifica enormemente el proceso de división cuando el divisor tiene esta forma específica.
Para aplicarla, colocamos los coeficientes del polinomio en una fila. Por ejemplo, para :
El resultado nos da el cociente y el resto .
💡 El resultado de la división se expresa como:
Dominar la Regla de Ruffini te ahorrará tiempo en muchos problemas y es esencial para factorizar polinomios.

Calcular el valor numérico de un polinomio significa sustituir la variable por un número específico y realizar las operaciones. Por ejemplo, para , si :
El Teorema del Resto es una herramienta poderosa que establece: si dividimos un polinomio entre , el resto de la división es exactamente igual al valor . Es decir, .
Este teorema también se puede aplicar mediante la Regla de Ruffini, lo que facilita el cálculo del valor numérico de polinomios.
🔑 Aplicación práctica: El Teorema del Resto te permite evaluar rápidamente un polinomio en un punto sin necesidad de sustituir y calcular directamente.
Este concepto es fundamental para encontrar raíces de polinomios y comprobar si un número es solución de una ecuación polinómica.

Una raíz de un polinomio es un valor para el cual . En otras palabras, si sustituimos la variable por ese valor, el resultado del polinomio es cero.
Por ejemplo, en el polinomio , el valor es una raíz porque . De manera similar, para , podemos comprobar que es una raíz porque .
💡 Las raíces de un polinomio son fundamentales porque nos permiten factorizarlo como producto de binomios de primer grado.
La búsqueda de raíces es esencial para resolver ecuaciones polinómicas y para comprender el comportamiento de las funciones polinómicas.

Para encontrar las raíces de un polinomio podemos probar con posibles valores. Por ejemplo, con , los posibles divisores del término independiente son: ±1, ±2, ±3 y ±6.
Al probar con estos valores:
Una vez identificadas las raíces (2 y 3), podemos factorizar el polinomio como:
🔍 La factorización de un polinomio te da una visión más profunda de su comportamiento y te permite resolver ecuaciones de forma más elegante.
Recuerda siempre comprobar tus resultados sustituyendo los valores encontrados en la expresión original.

Factorizar un polinomio significa expresarlo como un producto de polinomios de menor grado. Es una habilidad crucial que te permitirá simplificar expresiones y resolver ecuaciones más fácilmente.
Existen varias técnicas para factorizar:
Por ejemplo, para factorizar , podemos:
💪 Dominar la factorización te dará una gran ventaja en matemáticas, ya que permite simplificar problemas complejos.
Recuerda que el objetivo es llegar a factores irreducibles o del menor grado posible.

Veamos ejemplos prácticos de factorizaciones completas paso a paso:
Ejemplo 3: Para
3 4 -1 -2
-3 -1 2
3 1 -2 0
Ejemplo 4: Para
🔑 La clave para factorizar correctamente es aplicar las técnicas en el orden adecuado: primero sacar factor común, luego buscar raíces o aplicar identidades notables.
Con práctica, podrás identificar rápidamente el método más eficiente para cada polinomio.

La multiplicidad de una raíz indica cuántas veces aparece ese factor en la descomposición del polinomio. Por ejemplo, en , la raíz tiene multiplicidad 2, mientras que y tienen multiplicidad 1.
Para construir un polinomio a partir de sus raíces, simplemente multiplicamos los factores correspondientes elevados a su multiplicidad:
Otro ejemplo: para factorizar :
💡 Construir polinomios a partir de sus raíces es el proceso inverso a la factorización, y es muy útil en problemas de modelización matemática.
Estas técnicas te permiten analizar y manipular polinomios con precisión.

Si es una raíz de un polinomio , entonces es un factor (divisor) de . Por ejemplo, si factorizamos , entonces , y son divisores del polinomio.
Para calcular el máximo común divisor (m.c.d.) y el mínimo común múltiplo (m.c.m.) de dos polinomios, seguimos estos pasos:
Ejemplo: Para y
🔍 Un polinomio como se considera irreducible en los números reales porque no puede factorizarse en polinomios de menor grado con coeficientes reales.
Estos conceptos son fundamentales para simplificar fracciones algebraicas.
Nuestro compañero de IA está específicamente adaptado a las necesidades de los estudiantes. Basándonos en los millones de contenidos que tenemos en la plataforma, podemos dar a los estudiantes respuestas realmente significativas y relevantes. Pero no se trata solo de respuestas, el compañero también guía a los estudiantes a través de sus retos de aprendizaje diarios, con planes de aprendizaje personalizados, cuestionarios o contenidos en el chat y una personalización del 100% basada en las habilidades y el desarrollo de los estudiantes.
Puedes descargar la app en Google Play Store y Apple App Store.
Sí, tienes acceso gratuito a los contenidos de la aplicación y a nuestro compañero de IA. Para desbloquear determinadas funciones de la aplicación, puedes adquirir Knowunity Pro.
App Store
Google Play
La app es muy fácil de usar y está muy bien diseñada. Hasta ahora he encontrado todo lo que estaba buscando y he podido aprender mucho de las presentaciones. Definitivamente utilizaré la aplicación para un examen de clase. Y, por supuesto, también me sirve mucho de inspiración.
Pablo
usuario de iOS
Esta app es realmente genial. Hay tantos apuntes de clase y ayuda [...]. Tengo problemas con matemáticas, por ejemplo, y la aplicación tiene muchas opciones de ayuda. Gracias a Knowunity, he mejorado en mates. Se la recomiendo a todo el mundo.
Elena
usuaria de Android
Vaya, estoy realmente sorprendida. Acabo de probar la app porque la he visto anunciada muchas veces y me he quedado absolutamente alucinada. Esta app es LA AYUDA que quieres para el insti y, sobre todo, ofrece muchísimas cosas, como ejercicios y hojas informativas, que a mí personalmente me han sido MUY útiles.
Ana
usuaria de iOS
Está app es muy buena, tiene apuntes que son de mucha ayuda y su IA es fantástica, te explica a la perfección y muy fácil de entender lo que necesites, te ayuda con los deberes, te hace esquemas... en definitiva es una muy buena opción!
Sophia
usuario de Android
Me encanta!!! Me resuelve todo con detalle y me da la explicación correcta. Tiene un montón de funciones, ami me ha ido genial!! Os la recomiendo!!!
Marta
usuaria de Android
La uso casi diariamente, sirve para todas las asignaturas. Yo, por ejemplo la utilizo más en inglés porque se me da bastante mal, ¡Todas las respuestas están correctas! Consta con personas reales que suben sus apuntes y IA para que puedas hacer los deberes muchísimo más fácil, la recomiendo.
Izan
usuario de iOS
¡La app es buenísima! Sólo tengo que introducir el tema en la barra de búsqueda y recibo la respuesta muy rápido. No tengo que ver 10 vídeos de YouTube para entender algo, así que me ahorro tiempo. ¡Muy recomendable!
Sara
usuaria de Android
En el instituto era muy malo en matemáticas, pero gracias a la app, ahora saco mejores notas. Os agradezco mucho que hayáis creado la aplicación.
Roberto
usuario de Android
Esto no es como Chatgpt, es MUCHISMO MEJOR, te hace unos resúmenes espectaculares y gracias a esta app pase de sacar 5-6 a sacar 8-9.
Julyana
usuaria de Android
Es la mejor aplicación del mundo, la uso para revisar los deberes a mi hijo.
Javier
usuario de Android
LOS QUIZ Y FLASHCARDS SON SÚPER ÚTILES Y ME ENCANTA Knowunity IA. ADEMÁS ES LITERALMENTE COMO CHATGPT PERO MÁS LISTO!! ME AYUDÓ TAMBIÉN CON MIS PROBLEMAS DE MÁSCARA!! Y CON MIS ASIGNATURAS DE VERDAD! OBVIO 😍😁😲🤑💗✨🎀😮
Erick
usuario de Android
Me me encanta esta app, todo lo que tiene es de calidad ya que antes de ser publicado es revisado por un equipo de profesionales. Me ha ido genial esta aplicación ya que gracias a ella puedo estudiar mucho mejor, sin tener que agobiarme porque mi profesor no ha hecho teoría o porque no entiendo su teoría. Le doy un 10 de 10!
Mar
usuaria de iOS
La app es muy fácil de usar y está muy bien diseñada. Hasta ahora he encontrado todo lo que estaba buscando y he podido aprender mucho de las presentaciones. Definitivamente utilizaré la aplicación para un examen de clase. Y, por supuesto, también me sirve mucho de inspiración.
Pablo
usuario de iOS
Esta app es realmente genial. Hay tantos apuntes de clase y ayuda [...]. Tengo problemas con matemáticas, por ejemplo, y la aplicación tiene muchas opciones de ayuda. Gracias a Knowunity, he mejorado en mates. Se la recomiendo a todo el mundo.
Elena
usuaria de Android
Vaya, estoy realmente sorprendida. Acabo de probar la app porque la he visto anunciada muchas veces y me he quedado absolutamente alucinada. Esta app es LA AYUDA que quieres para el insti y, sobre todo, ofrece muchísimas cosas, como ejercicios y hojas informativas, que a mí personalmente me han sido MUY útiles.
Ana
usuaria de iOS
Está app es muy buena, tiene apuntes que son de mucha ayuda y su IA es fantástica, te explica a la perfección y muy fácil de entender lo que necesites, te ayuda con los deberes, te hace esquemas... en definitiva es una muy buena opción!
Sophia
usuario de Android
Me encanta!!! Me resuelve todo con detalle y me da la explicación correcta. Tiene un montón de funciones, ami me ha ido genial!! Os la recomiendo!!!
Marta
usuaria de Android
La uso casi diariamente, sirve para todas las asignaturas. Yo, por ejemplo la utilizo más en inglés porque se me da bastante mal, ¡Todas las respuestas están correctas! Consta con personas reales que suben sus apuntes y IA para que puedas hacer los deberes muchísimo más fácil, la recomiendo.
Izan
usuario de iOS
¡La app es buenísima! Sólo tengo que introducir el tema en la barra de búsqueda y recibo la respuesta muy rápido. No tengo que ver 10 vídeos de YouTube para entender algo, así que me ahorro tiempo. ¡Muy recomendable!
Sara
usuaria de Android
En el instituto era muy malo en matemáticas, pero gracias a la app, ahora saco mejores notas. Os agradezco mucho que hayáis creado la aplicación.
Roberto
usuario de Android
Esto no es como Chatgpt, es MUCHISMO MEJOR, te hace unos resúmenes espectaculares y gracias a esta app pase de sacar 5-6 a sacar 8-9.
Julyana
usuaria de Android
Es la mejor aplicación del mundo, la uso para revisar los deberes a mi hijo.
Javier
usuario de Android
LOS QUIZ Y FLASHCARDS SON SÚPER ÚTILES Y ME ENCANTA Knowunity IA. ADEMÁS ES LITERALMENTE COMO CHATGPT PERO MÁS LISTO!! ME AYUDÓ TAMBIÉN CON MIS PROBLEMAS DE MÁSCARA!! Y CON MIS ASIGNATURAS DE VERDAD! OBVIO 😍😁😲🤑💗✨🎀😮
Erick
usuario de Android
Me me encanta esta app, todo lo que tiene es de calidad ya que antes de ser publicado es revisado por un equipo de profesionales. Me ha ido genial esta aplicación ya que gracias a ella puedo estudiar mucho mejor, sin tener que agobiarme porque mi profesor no ha hecho teoría o porque no entiendo su teoría. Le doy un 10 de 10!
Mar
usuaria de iOS
Hafsa
@hafsa_mxjr
Los polinomios y fracciones algebraicas son herramientas matemáticas fundamentales que te permitirán resolver una gran variedad de problemas. Estas expresiones algebraicas tienen aplicaciones prácticas en numerosos campos y forman una base sólida para tus estudios matemáticos futuros.

Acceso a todos los documentos
Mejora tus notas
Únete a millones de estudiantes
Un polinomio es una expresión algebraica formada por términos llamados monomios. Por ejemplo, en $3x^5 + 14x^4 - \frac{1}{2}x^3 + \sqrt{7}x^2 + 4$, tenemos un polinomio de grado 5, donde cada término tiene un grado específico.
Para sumar o restar polinomios, simplemente agrupamos los términos del mismo grado. Por ejemplo:
💡 Recuerda que restar un polinomio es equivalente a sumar su opuesto:
El grado de un monomio depende del exponente de la variable: 4 es de grado 0, mientras que 4x es de grado 1.

Acceso a todos los documentos
Mejora tus notas
Únete a millones de estudiantes
Para multiplicar polinomios, multiplicamos cada término del primer polinomio por cada término del segundo y luego sumamos los resultados. Por ejemplo:
Para extraer factor común, identificamos un factor que aparezca en todos los términos: $10x^2y^2-5x^2y+20x^2y = 5x^2y$
La división de polinomios se realiza mediante el algoritmo de la división, ordenando los polinomios de mayor a menor grado. El resultado será un cociente y, posiblemente, un resto.
🔍 Las identidades notables son muy útiles para simplificar operaciones: , ,
Dominar estas operaciones te permitirá resolver problemas complejos con mayor facilidad.

Acceso a todos los documentos
Mejora tus notas
Únete a millones de estudiantes
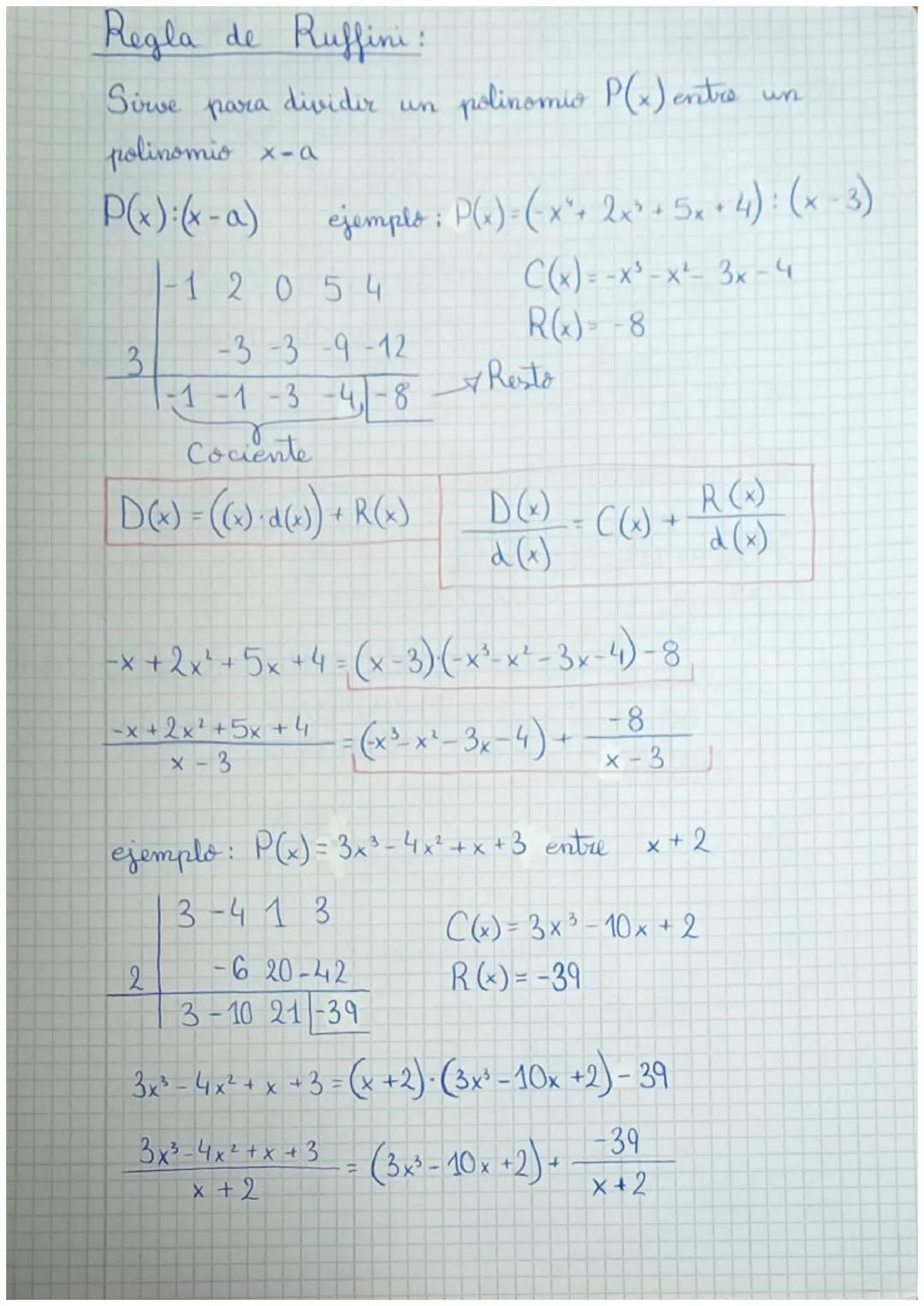
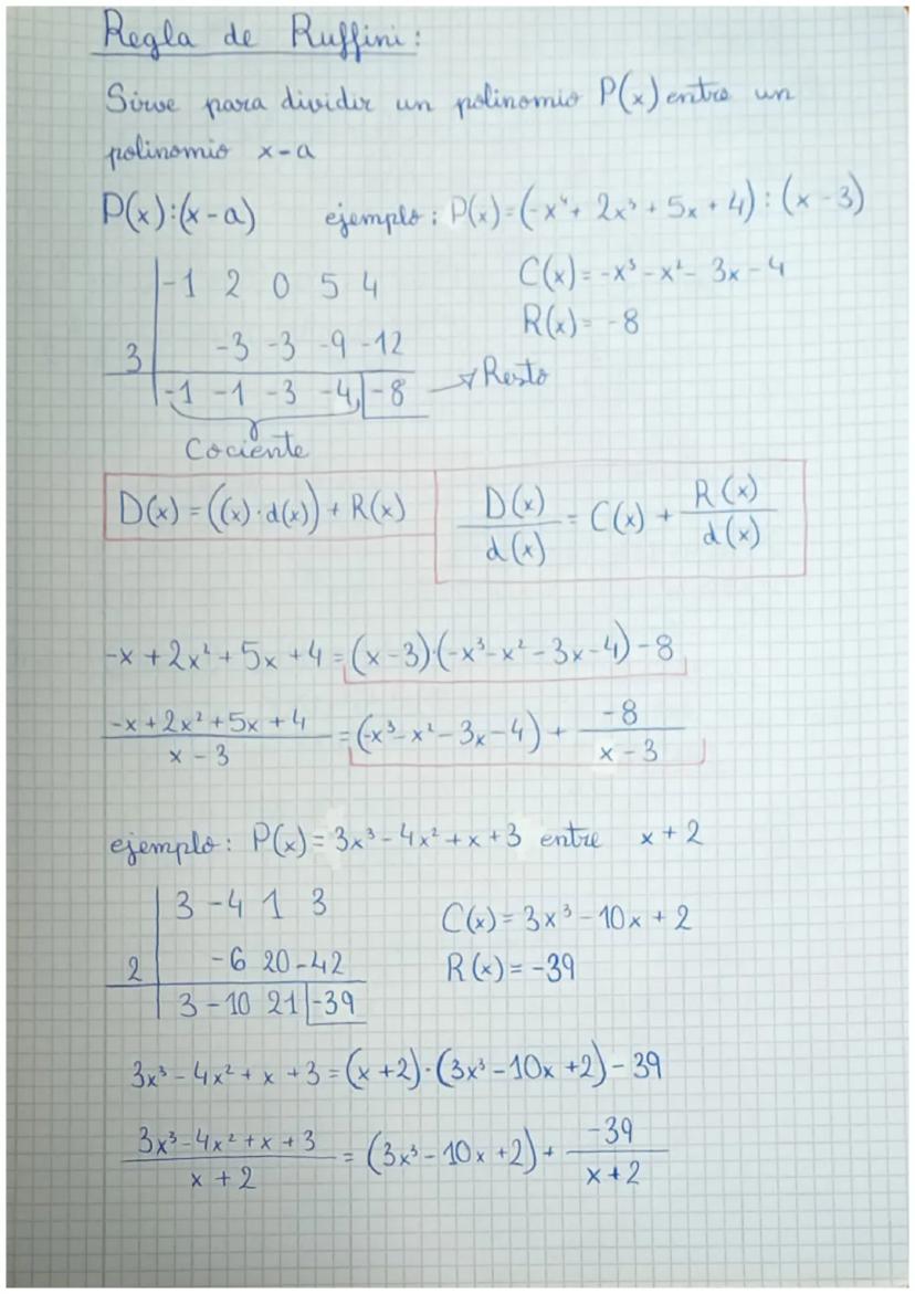
La Regla de Ruffini es un método rápido para dividir un polinomio entre un binomio de la forma . Esta técnica simplifica enormemente el proceso de división cuando el divisor tiene esta forma específica.
Para aplicarla, colocamos los coeficientes del polinomio en una fila. Por ejemplo, para :
El resultado nos da el cociente y el resto .
💡 El resultado de la división se expresa como:
Dominar la Regla de Ruffini te ahorrará tiempo en muchos problemas y es esencial para factorizar polinomios.

Acceso a todos los documentos
Mejora tus notas
Únete a millones de estudiantes
Calcular el valor numérico de un polinomio significa sustituir la variable por un número específico y realizar las operaciones. Por ejemplo, para , si :
El Teorema del Resto es una herramienta poderosa que establece: si dividimos un polinomio entre , el resto de la división es exactamente igual al valor . Es decir, .
Este teorema también se puede aplicar mediante la Regla de Ruffini, lo que facilita el cálculo del valor numérico de polinomios.
🔑 Aplicación práctica: El Teorema del Resto te permite evaluar rápidamente un polinomio en un punto sin necesidad de sustituir y calcular directamente.
Este concepto es fundamental para encontrar raíces de polinomios y comprobar si un número es solución de una ecuación polinómica.

Acceso a todos los documentos
Mejora tus notas
Únete a millones de estudiantes
Una raíz de un polinomio es un valor para el cual . En otras palabras, si sustituimos la variable por ese valor, el resultado del polinomio es cero.
Por ejemplo, en el polinomio , el valor es una raíz porque . De manera similar, para , podemos comprobar que es una raíz porque .
💡 Las raíces de un polinomio son fundamentales porque nos permiten factorizarlo como producto de binomios de primer grado.
La búsqueda de raíces es esencial para resolver ecuaciones polinómicas y para comprender el comportamiento de las funciones polinómicas.

Acceso a todos los documentos
Mejora tus notas
Únete a millones de estudiantes
Para encontrar las raíces de un polinomio podemos probar con posibles valores. Por ejemplo, con , los posibles divisores del término independiente son: ±1, ±2, ±3 y ±6.
Al probar con estos valores:
Una vez identificadas las raíces (2 y 3), podemos factorizar el polinomio como:
🔍 La factorización de un polinomio te da una visión más profunda de su comportamiento y te permite resolver ecuaciones de forma más elegante.
Recuerda siempre comprobar tus resultados sustituyendo los valores encontrados en la expresión original.

Acceso a todos los documentos
Mejora tus notas
Únete a millones de estudiantes
Factorizar un polinomio significa expresarlo como un producto de polinomios de menor grado. Es una habilidad crucial que te permitirá simplificar expresiones y resolver ecuaciones más fácilmente.
Existen varias técnicas para factorizar:
Por ejemplo, para factorizar , podemos:
💪 Dominar la factorización te dará una gran ventaja en matemáticas, ya que permite simplificar problemas complejos.
Recuerda que el objetivo es llegar a factores irreducibles o del menor grado posible.

Acceso a todos los documentos
Mejora tus notas
Únete a millones de estudiantes
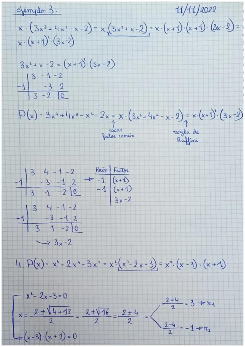
Veamos ejemplos prácticos de factorizaciones completas paso a paso:
Ejemplo 3: Para
3 4 -1 -2
-3 -1 2
3 1 -2 0
Ejemplo 4: Para
🔑 La clave para factorizar correctamente es aplicar las técnicas en el orden adecuado: primero sacar factor común, luego buscar raíces o aplicar identidades notables.
Con práctica, podrás identificar rápidamente el método más eficiente para cada polinomio.

Acceso a todos los documentos
Mejora tus notas
Únete a millones de estudiantes
La multiplicidad de una raíz indica cuántas veces aparece ese factor en la descomposición del polinomio. Por ejemplo, en , la raíz tiene multiplicidad 2, mientras que y tienen multiplicidad 1.
Para construir un polinomio a partir de sus raíces, simplemente multiplicamos los factores correspondientes elevados a su multiplicidad:
Otro ejemplo: para factorizar :
💡 Construir polinomios a partir de sus raíces es el proceso inverso a la factorización, y es muy útil en problemas de modelización matemática.
Estas técnicas te permiten analizar y manipular polinomios con precisión.

Acceso a todos los documentos
Mejora tus notas
Únete a millones de estudiantes
Si es una raíz de un polinomio , entonces es un factor (divisor) de . Por ejemplo, si factorizamos , entonces , y son divisores del polinomio.
Para calcular el máximo común divisor (m.c.d.) y el mínimo común múltiplo (m.c.m.) de dos polinomios, seguimos estos pasos:
Ejemplo: Para y
🔍 Un polinomio como se considera irreducible en los números reales porque no puede factorizarse en polinomios de menor grado con coeficientes reales.
Estos conceptos son fundamentales para simplificar fracciones algebraicas.
Nuestro compañero de IA está específicamente adaptado a las necesidades de los estudiantes. Basándonos en los millones de contenidos que tenemos en la plataforma, podemos dar a los estudiantes respuestas realmente significativas y relevantes. Pero no se trata solo de respuestas, el compañero también guía a los estudiantes a través de sus retos de aprendizaje diarios, con planes de aprendizaje personalizados, cuestionarios o contenidos en el chat y una personalización del 100% basada en las habilidades y el desarrollo de los estudiantes.
Puedes descargar la app en Google Play Store y Apple App Store.
Sí, tienes acceso gratuito a los contenidos de la aplicación y a nuestro compañero de IA. Para desbloquear determinadas funciones de la aplicación, puedes adquirir Knowunity Pro.
8
Herramientas Inteligentes NUEVO
Transforma estos apuntes en: ✓ 50+ Preguntas de Práctica ✓ Flashcards Interactivas ✓ Examen Completo de Práctica ✓ Esquemas de Ensayo
App Store
Google Play
La app es muy fácil de usar y está muy bien diseñada. Hasta ahora he encontrado todo lo que estaba buscando y he podido aprender mucho de las presentaciones. Definitivamente utilizaré la aplicación para un examen de clase. Y, por supuesto, también me sirve mucho de inspiración.
Pablo
usuario de iOS
Esta app es realmente genial. Hay tantos apuntes de clase y ayuda [...]. Tengo problemas con matemáticas, por ejemplo, y la aplicación tiene muchas opciones de ayuda. Gracias a Knowunity, he mejorado en mates. Se la recomiendo a todo el mundo.
Elena
usuaria de Android
Vaya, estoy realmente sorprendida. Acabo de probar la app porque la he visto anunciada muchas veces y me he quedado absolutamente alucinada. Esta app es LA AYUDA que quieres para el insti y, sobre todo, ofrece muchísimas cosas, como ejercicios y hojas informativas, que a mí personalmente me han sido MUY útiles.
Ana
usuaria de iOS
Está app es muy buena, tiene apuntes que son de mucha ayuda y su IA es fantástica, te explica a la perfección y muy fácil de entender lo que necesites, te ayuda con los deberes, te hace esquemas... en definitiva es una muy buena opción!
Sophia
usuario de Android
Me encanta!!! Me resuelve todo con detalle y me da la explicación correcta. Tiene un montón de funciones, ami me ha ido genial!! Os la recomiendo!!!
Marta
usuaria de Android
La uso casi diariamente, sirve para todas las asignaturas. Yo, por ejemplo la utilizo más en inglés porque se me da bastante mal, ¡Todas las respuestas están correctas! Consta con personas reales que suben sus apuntes y IA para que puedas hacer los deberes muchísimo más fácil, la recomiendo.
Izan
usuario de iOS
¡La app es buenísima! Sólo tengo que introducir el tema en la barra de búsqueda y recibo la respuesta muy rápido. No tengo que ver 10 vídeos de YouTube para entender algo, así que me ahorro tiempo. ¡Muy recomendable!
Sara
usuaria de Android
En el instituto era muy malo en matemáticas, pero gracias a la app, ahora saco mejores notas. Os agradezco mucho que hayáis creado la aplicación.
Roberto
usuario de Android
Esto no es como Chatgpt, es MUCHISMO MEJOR, te hace unos resúmenes espectaculares y gracias a esta app pase de sacar 5-6 a sacar 8-9.
Julyana
usuaria de Android
Es la mejor aplicación del mundo, la uso para revisar los deberes a mi hijo.
Javier
usuario de Android
LOS QUIZ Y FLASHCARDS SON SÚPER ÚTILES Y ME ENCANTA Knowunity IA. ADEMÁS ES LITERALMENTE COMO CHATGPT PERO MÁS LISTO!! ME AYUDÓ TAMBIÉN CON MIS PROBLEMAS DE MÁSCARA!! Y CON MIS ASIGNATURAS DE VERDAD! OBVIO 😍😁😲🤑💗✨🎀😮
Erick
usuario de Android
Me me encanta esta app, todo lo que tiene es de calidad ya que antes de ser publicado es revisado por un equipo de profesionales. Me ha ido genial esta aplicación ya que gracias a ella puedo estudiar mucho mejor, sin tener que agobiarme porque mi profesor no ha hecho teoría o porque no entiendo su teoría. Le doy un 10 de 10!
Mar
usuaria de iOS
La app es muy fácil de usar y está muy bien diseñada. Hasta ahora he encontrado todo lo que estaba buscando y he podido aprender mucho de las presentaciones. Definitivamente utilizaré la aplicación para un examen de clase. Y, por supuesto, también me sirve mucho de inspiración.
Pablo
usuario de iOS
Esta app es realmente genial. Hay tantos apuntes de clase y ayuda [...]. Tengo problemas con matemáticas, por ejemplo, y la aplicación tiene muchas opciones de ayuda. Gracias a Knowunity, he mejorado en mates. Se la recomiendo a todo el mundo.
Elena
usuaria de Android
Vaya, estoy realmente sorprendida. Acabo de probar la app porque la he visto anunciada muchas veces y me he quedado absolutamente alucinada. Esta app es LA AYUDA que quieres para el insti y, sobre todo, ofrece muchísimas cosas, como ejercicios y hojas informativas, que a mí personalmente me han sido MUY útiles.
Ana
usuaria de iOS
Está app es muy buena, tiene apuntes que son de mucha ayuda y su IA es fantástica, te explica a la perfección y muy fácil de entender lo que necesites, te ayuda con los deberes, te hace esquemas... en definitiva es una muy buena opción!
Sophia
usuario de Android
Me encanta!!! Me resuelve todo con detalle y me da la explicación correcta. Tiene un montón de funciones, ami me ha ido genial!! Os la recomiendo!!!
Marta
usuaria de Android
La uso casi diariamente, sirve para todas las asignaturas. Yo, por ejemplo la utilizo más en inglés porque se me da bastante mal, ¡Todas las respuestas están correctas! Consta con personas reales que suben sus apuntes y IA para que puedas hacer los deberes muchísimo más fácil, la recomiendo.
Izan
usuario de iOS
¡La app es buenísima! Sólo tengo que introducir el tema en la barra de búsqueda y recibo la respuesta muy rápido. No tengo que ver 10 vídeos de YouTube para entender algo, así que me ahorro tiempo. ¡Muy recomendable!
Sara
usuaria de Android
En el instituto era muy malo en matemáticas, pero gracias a la app, ahora saco mejores notas. Os agradezco mucho que hayáis creado la aplicación.
Roberto
usuario de Android
Esto no es como Chatgpt, es MUCHISMO MEJOR, te hace unos resúmenes espectaculares y gracias a esta app pase de sacar 5-6 a sacar 8-9.
Julyana
usuaria de Android
Es la mejor aplicación del mundo, la uso para revisar los deberes a mi hijo.
Javier
usuario de Android
LOS QUIZ Y FLASHCARDS SON SÚPER ÚTILES Y ME ENCANTA Knowunity IA. ADEMÁS ES LITERALMENTE COMO CHATGPT PERO MÁS LISTO!! ME AYUDÓ TAMBIÉN CON MIS PROBLEMAS DE MÁSCARA!! Y CON MIS ASIGNATURAS DE VERDAD! OBVIO 😍😁😲🤑💗✨🎀😮
Erick
usuario de Android
Me me encanta esta app, todo lo que tiene es de calidad ya que antes de ser publicado es revisado por un equipo de profesionales. Me ha ido genial esta aplicación ya que gracias a ella puedo estudiar mucho mejor, sin tener que agobiarme porque mi profesor no ha hecho teoría o porque no entiendo su teoría. Le doy un 10 de 10!
Mar
usuaria de iOS