¡Prepárate para tu selectividad! Este examen de Matemáticas Aplicadas a... Mostrar más
Inscríbete para ver los apuntes¡Es gratis!
Acceso a todos los documentos
Mejora tus notas
Únete a millones de estudiantes
Knowunity AI
Asignaturas
Triangle Congruence and Similarity Theorems
Triangle Properties and Classification
Linear Equations and Graphs
Geometric Angle Relationships
Trigonometric Functions and Identities
Equation Solving Techniques
Circle Geometry Fundamentals
Division Operations and Methods
Basic Differentiation Rules
Exponent and Logarithm Properties
Mostrar todos los temas
Human Organ Systems
Reproductive Cell Cycles
Biological Sciences Subdisciplines
Cellular Energy Metabolism
Autotrophic Energy Processes
Inheritance Patterns and Principles
Biomolecular Structure and Organization
Cell Cycle and Division Mechanics
Cellular Organization and Development
Biological Structural Organization
Mostrar todos los temas
Chemical Sciences and Applications
Atomic Structure and Composition
Molecular Electron Structure Representation
Atomic Electron Behavior
Matter Properties and Water
Mole Concept and Calculations
Gas Laws and Behavior
Periodic Table Organization
Chemical Thermodynamics Fundamentals
Chemical Bond Types and Properties
Mostrar todos los temas
European Renaissance and Enlightenment
European Cultural Movements 800-1920
American Revolution Era 1763-1797
American Civil War 1861-1865
Global Imperial Systems
Mongol and Chinese Dynasties
U.S. Presidents and World Leaders
Historical Sources and Documentation
World Wars Era and Impact
World Religious Systems
Mostrar todos los temas
Classic and Contemporary Novels
Literary Character Analysis
Rhetorical Theory and Practice
Classic Literary Narratives
Reading Analysis and Interpretation
Narrative Structure and Techniques
English Language Components
Influential English-Language Authors
Basic Sentence Structure
Narrative Voice and Perspective
Mostrar todos los temas
362
•
Actualizado Apr 24, 2026
•
lucas romero
@lucasromero_rliklbky
¡Prepárate para tu selectividad! Este examen de Matemáticas Aplicadas a... Mostrar más










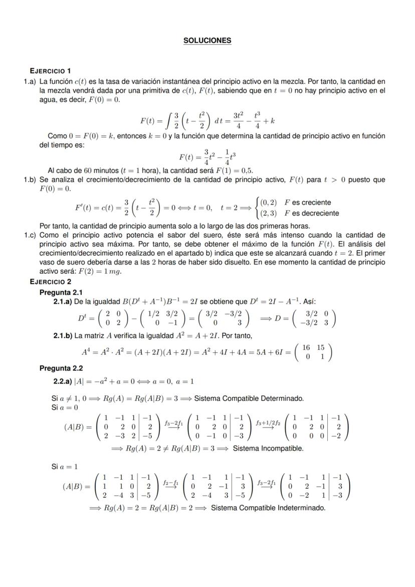
Este examen tiene 4 ejercicios de 2,5 puntos cada uno, con 90 minutos para resolverlo. El primer ejercicio es obligatorio (sin opcionalidad) y trata sobre derivadas e integrales aplicadas a un contexto real.
HidroBio es el contexto del primer ejercicio: un preparado médico donde la tasa de variación del principio activo viene dada por c(t) = 3/2. Necesitas dominar tres conceptos clave: primitivas (para calcular la cantidad total), análisis del crecimiento (usando la derivada) y máximos y mínimos.
Para el apartado (a), calculas la primitiva F(t) = 3t²/4 - t³/4 y evalúas en t=1. Para (b), estudias el signo de c(t) para ver cuándo crece la función. Para (c), encuentras el máximo de F(t) derivando e igualando a cero.
Consejo clave: Recuerda que la derivada de la cantidad es la tasa de variación. Si c(t) > 0, la cantidad aumenta; si c(t) < 0, disminuye.

Aquí eliges entre matrices (2.1) o sistemas de ecuaciones (2.2). Ambos son fundamentales en selectividad.
En matrices, trabajas con operaciones básicas: calcular inversas, resolver ecuaciones matriciales como BB⁻¹ = 2I, y potencias usando relaciones como A² = A + 2I. La clave está en despejar paso a paso y aplicar las propiedades correctamente.
En sistemas, haces la discusión según el parámetro a. Calculas el determinante de la matriz de coeficientes, encuentras los valores críticos , y analizas cada caso: compatible determinado, incompatible o compatible indeterminado usando el teorema de Rouché-Frobenius.
Para a = 1, el sistema es compatible indeterminado, así que expresas la solución en función de un parámetro λ.
Truco importante: En sistemas, siempre compara el rango de la matriz de coeficientes con el rango de la matriz ampliada para determinar la compatibilidad.

Aquí eliges entre dos problemas de estadística inferencial. Ambos tratan sobre el compromiso con el reciclaje en diferentes municipios.
En la opción 3.1, trabajas con una distribución binomial B(600, 0,7) y su aproximación normal. Calculas la esperanza para personas no comprometidas (180) y usas la aproximación N(420, 11,225) con corrección por continuidad para probabilidades.
En la opción 3.2, construyes intervalos de confianza al 90% usando la fórmula p̂ ± z_{α/2}√ y calculas el tamaño muestral mínimo para un error del 3% con confianza del 95%.
Las fórmulas clave son: para intervalos de confianza necesitas z_{0.05} = 1,645, y para tamaño muestral usas n > ².
Recuerda: La tabla Z de la página 3 es tu mejor aliada. Úsala para encontrar las probabilidades y valores críticos que necesitas.

El último ejercicio te ofrece dos problemas de probabilidad: uno con sucesos generales y otro con el teorema de Bayes.
En la opción 4.1, tienes datos como P(A∪B) = 1, P(B) = 0,8 y P(Ā) = 0,55. Usas las fórmulas básicas de probabilidad: P(A|B) = P(A∩B)/P(B) y las relaciones entre unión, intersección y complementarios.
En la opción 4.2, aplicas el teorema de la probabilidad total y Bayes con los premios Grammy Latino. Defines sucesos (dúos, grupos, solistas) con sus probabilidades a priori y condicionadas para ganar el premio.
La probabilidad total es P(G) = P(G|A)·P(A) + P(G|B)·P(B) + P(G|C)·P(C), y Bayes es P(C|G) = P(G|C)·P(C)/P(G).
Estrategia ganadora: En problemas de Bayes, siempre dibuja un diagrama de árbol o tabla para visualizar todas las probabilidades y evitar errores de cálculo.





Nuestro compañero de IA está específicamente adaptado a las necesidades de los estudiantes. Basándonos en los millones de contenidos que tenemos en la plataforma, podemos dar a los estudiantes respuestas realmente significativas y relevantes. Pero no se trata solo de respuestas, el compañero también guía a los estudiantes a través de sus retos de aprendizaje diarios, con planes de aprendizaje personalizados, cuestionarios o contenidos en el chat y una personalización del 100% basada en las habilidades y el desarrollo de los estudiantes.
Puedes descargar la app en Google Play Store y Apple App Store.
Sí, tienes acceso gratuito a los contenidos de la aplicación y a nuestro compañero de IA. Para desbloquear determinadas funciones de la aplicación, puedes adquirir Knowunity Pro.
App Store
Google Play
La app es muy fácil de usar y está muy bien diseñada. Hasta ahora he encontrado todo lo que estaba buscando y he podido aprender mucho de las presentaciones. Definitivamente utilizaré la aplicación para un examen de clase. Y, por supuesto, también me sirve mucho de inspiración.
Pablo
usuario de iOS
Esta app es realmente genial. Hay tantos apuntes de clase y ayuda [...]. Tengo problemas con matemáticas, por ejemplo, y la aplicación tiene muchas opciones de ayuda. Gracias a Knowunity, he mejorado en mates. Se la recomiendo a todo el mundo.
Elena
usuaria de Android
Vaya, estoy realmente sorprendida. Acabo de probar la app porque la he visto anunciada muchas veces y me he quedado absolutamente alucinada. Esta app es LA AYUDA que quieres para el insti y, sobre todo, ofrece muchísimas cosas, como ejercicios y hojas informativas, que a mí personalmente me han sido MUY útiles.
Ana
usuaria de iOS
Está app es muy buena, tiene apuntes que son de mucha ayuda y su IA es fantástica, te explica a la perfección y muy fácil de entender lo que necesites, te ayuda con los deberes, te hace esquemas... en definitiva es una muy buena opción!
Sophia
usuario de Android
Me encanta!!! Me resuelve todo con detalle y me da la explicación correcta. Tiene un montón de funciones, ami me ha ido genial!! Os la recomiendo!!!
Marta
usuaria de Android
La uso casi diariamente, sirve para todas las asignaturas. Yo, por ejemplo la utilizo más en inglés porque se me da bastante mal, ¡Todas las respuestas están correctas! Consta con personas reales que suben sus apuntes y IA para que puedas hacer los deberes muchísimo más fácil, la recomiendo.
Izan
usuario de iOS
¡La app es buenísima! Sólo tengo que introducir el tema en la barra de búsqueda y recibo la respuesta muy rápido. No tengo que ver 10 vídeos de YouTube para entender algo, así que me ahorro tiempo. ¡Muy recomendable!
Sara
usuaria de Android
En el instituto era muy malo en matemáticas, pero gracias a la app, ahora saco mejores notas. Os agradezco mucho que hayáis creado la aplicación.
Roberto
usuario de Android
Esto no es como Chatgpt, es MUCHISMO MEJOR, te hace unos resúmenes espectaculares y gracias a esta app pase de sacar 5-6 a sacar 8-9.
Julyana
usuaria de Android
Es la mejor aplicación del mundo, la uso para revisar los deberes a mi hijo.
Javier
usuario de Android
LOS QUIZ Y FLASHCARDS SON SÚPER ÚTILES Y ME ENCANTA Knowunity IA. ADEMÁS ES LITERALMENTE COMO CHATGPT PERO MÁS LISTO!! ME AYUDÓ TAMBIÉN CON MIS PROBLEMAS DE MÁSCARA!! Y CON MIS ASIGNATURAS DE VERDAD! OBVIO 😍😁😲🤑💗✨🎀😮
Erick
usuario de Android
Me me encanta esta app, todo lo que tiene es de calidad ya que antes de ser publicado es revisado por un equipo de profesionales. Me ha ido genial esta aplicación ya que gracias a ella puedo estudiar mucho mejor, sin tener que agobiarme porque mi profesor no ha hecho teoría o porque no entiendo su teoría. Le doy un 10 de 10!
Mar
usuaria de iOS
La app es muy fácil de usar y está muy bien diseñada. Hasta ahora he encontrado todo lo que estaba buscando y he podido aprender mucho de las presentaciones. Definitivamente utilizaré la aplicación para un examen de clase. Y, por supuesto, también me sirve mucho de inspiración.
Pablo
usuario de iOS
Esta app es realmente genial. Hay tantos apuntes de clase y ayuda [...]. Tengo problemas con matemáticas, por ejemplo, y la aplicación tiene muchas opciones de ayuda. Gracias a Knowunity, he mejorado en mates. Se la recomiendo a todo el mundo.
Elena
usuaria de Android
Vaya, estoy realmente sorprendida. Acabo de probar la app porque la he visto anunciada muchas veces y me he quedado absolutamente alucinada. Esta app es LA AYUDA que quieres para el insti y, sobre todo, ofrece muchísimas cosas, como ejercicios y hojas informativas, que a mí personalmente me han sido MUY útiles.
Ana
usuaria de iOS
Está app es muy buena, tiene apuntes que son de mucha ayuda y su IA es fantástica, te explica a la perfección y muy fácil de entender lo que necesites, te ayuda con los deberes, te hace esquemas... en definitiva es una muy buena opción!
Sophia
usuario de Android
Me encanta!!! Me resuelve todo con detalle y me da la explicación correcta. Tiene un montón de funciones, ami me ha ido genial!! Os la recomiendo!!!
Marta
usuaria de Android
La uso casi diariamente, sirve para todas las asignaturas. Yo, por ejemplo la utilizo más en inglés porque se me da bastante mal, ¡Todas las respuestas están correctas! Consta con personas reales que suben sus apuntes y IA para que puedas hacer los deberes muchísimo más fácil, la recomiendo.
Izan
usuario de iOS
¡La app es buenísima! Sólo tengo que introducir el tema en la barra de búsqueda y recibo la respuesta muy rápido. No tengo que ver 10 vídeos de YouTube para entender algo, así que me ahorro tiempo. ¡Muy recomendable!
Sara
usuaria de Android
En el instituto era muy malo en matemáticas, pero gracias a la app, ahora saco mejores notas. Os agradezco mucho que hayáis creado la aplicación.
Roberto
usuario de Android
Esto no es como Chatgpt, es MUCHISMO MEJOR, te hace unos resúmenes espectaculares y gracias a esta app pase de sacar 5-6 a sacar 8-9.
Julyana
usuaria de Android
Es la mejor aplicación del mundo, la uso para revisar los deberes a mi hijo.
Javier
usuario de Android
LOS QUIZ Y FLASHCARDS SON SÚPER ÚTILES Y ME ENCANTA Knowunity IA. ADEMÁS ES LITERALMENTE COMO CHATGPT PERO MÁS LISTO!! ME AYUDÓ TAMBIÉN CON MIS PROBLEMAS DE MÁSCARA!! Y CON MIS ASIGNATURAS DE VERDAD! OBVIO 😍😁😲🤑💗✨🎀😮
Erick
usuario de Android
Me me encanta esta app, todo lo que tiene es de calidad ya que antes de ser publicado es revisado por un equipo de profesionales. Me ha ido genial esta aplicación ya que gracias a ella puedo estudiar mucho mejor, sin tener que agobiarme porque mi profesor no ha hecho teoría o porque no entiendo su teoría. Le doy un 10 de 10!
Mar
usuaria de iOS
lucas romero
@lucasromero_rliklbky
¡Prepárate para tu selectividad! Este examen de Matemáticas Aplicadas a las Ciencias Sociales II combina todo lo que has estudiado: análisis de funciones, matrices, estadística y probabilidad. Te lo explicamos de forma clara para que llegues con confianza a tu... Mostrar más

Acceso a todos los documentos
Mejora tus notas
Únete a millones de estudiantes
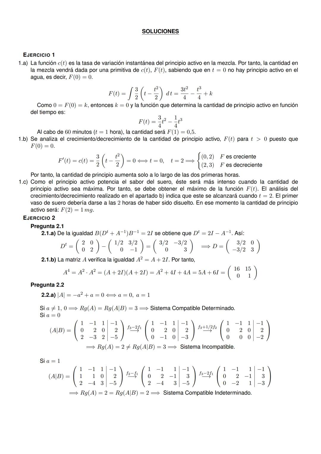
Este examen tiene 4 ejercicios de 2,5 puntos cada uno, con 90 minutos para resolverlo. El primer ejercicio es obligatorio (sin opcionalidad) y trata sobre derivadas e integrales aplicadas a un contexto real.
HidroBio es el contexto del primer ejercicio: un preparado médico donde la tasa de variación del principio activo viene dada por c(t) = 3/2. Necesitas dominar tres conceptos clave: primitivas (para calcular la cantidad total), análisis del crecimiento (usando la derivada) y máximos y mínimos.
Para el apartado (a), calculas la primitiva F(t) = 3t²/4 - t³/4 y evalúas en t=1. Para (b), estudias el signo de c(t) para ver cuándo crece la función. Para (c), encuentras el máximo de F(t) derivando e igualando a cero.
Consejo clave: Recuerda que la derivada de la cantidad es la tasa de variación. Si c(t) > 0, la cantidad aumenta; si c(t) < 0, disminuye.

Acceso a todos los documentos
Mejora tus notas
Únete a millones de estudiantes
Aquí eliges entre matrices (2.1) o sistemas de ecuaciones (2.2). Ambos son fundamentales en selectividad.
En matrices, trabajas con operaciones básicas: calcular inversas, resolver ecuaciones matriciales como BB⁻¹ = 2I, y potencias usando relaciones como A² = A + 2I. La clave está en despejar paso a paso y aplicar las propiedades correctamente.
En sistemas, haces la discusión según el parámetro a. Calculas el determinante de la matriz de coeficientes, encuentras los valores críticos , y analizas cada caso: compatible determinado, incompatible o compatible indeterminado usando el teorema de Rouché-Frobenius.
Para a = 1, el sistema es compatible indeterminado, así que expresas la solución en función de un parámetro λ.
Truco importante: En sistemas, siempre compara el rango de la matriz de coeficientes con el rango de la matriz ampliada para determinar la compatibilidad.

Acceso a todos los documentos
Mejora tus notas
Únete a millones de estudiantes
Aquí eliges entre dos problemas de estadística inferencial. Ambos tratan sobre el compromiso con el reciclaje en diferentes municipios.
En la opción 3.1, trabajas con una distribución binomial B(600, 0,7) y su aproximación normal. Calculas la esperanza para personas no comprometidas (180) y usas la aproximación N(420, 11,225) con corrección por continuidad para probabilidades.
En la opción 3.2, construyes intervalos de confianza al 90% usando la fórmula p̂ ± z_{α/2}√ y calculas el tamaño muestral mínimo para un error del 3% con confianza del 95%.
Las fórmulas clave son: para intervalos de confianza necesitas z_{0.05} = 1,645, y para tamaño muestral usas n > ².
Recuerda: La tabla Z de la página 3 es tu mejor aliada. Úsala para encontrar las probabilidades y valores críticos que necesitas.

Acceso a todos los documentos
Mejora tus notas
Únete a millones de estudiantes
El último ejercicio te ofrece dos problemas de probabilidad: uno con sucesos generales y otro con el teorema de Bayes.
En la opción 4.1, tienes datos como P(A∪B) = 1, P(B) = 0,8 y P(Ā) = 0,55. Usas las fórmulas básicas de probabilidad: P(A|B) = P(A∩B)/P(B) y las relaciones entre unión, intersección y complementarios.
En la opción 4.2, aplicas el teorema de la probabilidad total y Bayes con los premios Grammy Latino. Defines sucesos (dúos, grupos, solistas) con sus probabilidades a priori y condicionadas para ganar el premio.
La probabilidad total es P(G) = P(G|A)·P(A) + P(G|B)·P(B) + P(G|C)·P(C), y Bayes es P(C|G) = P(G|C)·P(C)/P(G).
Estrategia ganadora: En problemas de Bayes, siempre dibuja un diagrama de árbol o tabla para visualizar todas las probabilidades y evitar errores de cálculo.

Acceso a todos los documentos
Mejora tus notas
Únete a millones de estudiantes

Acceso a todos los documentos
Mejora tus notas
Únete a millones de estudiantes

Acceso a todos los documentos
Mejora tus notas
Únete a millones de estudiantes

Acceso a todos los documentos
Mejora tus notas
Únete a millones de estudiantes

Acceso a todos los documentos
Mejora tus notas
Únete a millones de estudiantes
Nuestro compañero de IA está específicamente adaptado a las necesidades de los estudiantes. Basándonos en los millones de contenidos que tenemos en la plataforma, podemos dar a los estudiantes respuestas realmente significativas y relevantes. Pero no se trata solo de respuestas, el compañero también guía a los estudiantes a través de sus retos de aprendizaje diarios, con planes de aprendizaje personalizados, cuestionarios o contenidos en el chat y una personalización del 100% basada en las habilidades y el desarrollo de los estudiantes.
Puedes descargar la app en Google Play Store y Apple App Store.
Sí, tienes acceso gratuito a los contenidos de la aplicación y a nuestro compañero de IA. Para desbloquear determinadas funciones de la aplicación, puedes adquirir Knowunity Pro.
8
Herramientas Inteligentes NUEVO
Transforma estos apuntes en: ✓ 50+ Preguntas de Práctica ✓ Flashcards Interactivas ✓ Examen Completo de Práctica ✓ Esquemas de Ensayo
App Store
Google Play
La app es muy fácil de usar y está muy bien diseñada. Hasta ahora he encontrado todo lo que estaba buscando y he podido aprender mucho de las presentaciones. Definitivamente utilizaré la aplicación para un examen de clase. Y, por supuesto, también me sirve mucho de inspiración.
Pablo
usuario de iOS
Esta app es realmente genial. Hay tantos apuntes de clase y ayuda [...]. Tengo problemas con matemáticas, por ejemplo, y la aplicación tiene muchas opciones de ayuda. Gracias a Knowunity, he mejorado en mates. Se la recomiendo a todo el mundo.
Elena
usuaria de Android
Vaya, estoy realmente sorprendida. Acabo de probar la app porque la he visto anunciada muchas veces y me he quedado absolutamente alucinada. Esta app es LA AYUDA que quieres para el insti y, sobre todo, ofrece muchísimas cosas, como ejercicios y hojas informativas, que a mí personalmente me han sido MUY útiles.
Ana
usuaria de iOS
Está app es muy buena, tiene apuntes que son de mucha ayuda y su IA es fantástica, te explica a la perfección y muy fácil de entender lo que necesites, te ayuda con los deberes, te hace esquemas... en definitiva es una muy buena opción!
Sophia
usuario de Android
Me encanta!!! Me resuelve todo con detalle y me da la explicación correcta. Tiene un montón de funciones, ami me ha ido genial!! Os la recomiendo!!!
Marta
usuaria de Android
La uso casi diariamente, sirve para todas las asignaturas. Yo, por ejemplo la utilizo más en inglés porque se me da bastante mal, ¡Todas las respuestas están correctas! Consta con personas reales que suben sus apuntes y IA para que puedas hacer los deberes muchísimo más fácil, la recomiendo.
Izan
usuario de iOS
¡La app es buenísima! Sólo tengo que introducir el tema en la barra de búsqueda y recibo la respuesta muy rápido. No tengo que ver 10 vídeos de YouTube para entender algo, así que me ahorro tiempo. ¡Muy recomendable!
Sara
usuaria de Android
En el instituto era muy malo en matemáticas, pero gracias a la app, ahora saco mejores notas. Os agradezco mucho que hayáis creado la aplicación.
Roberto
usuario de Android
Esto no es como Chatgpt, es MUCHISMO MEJOR, te hace unos resúmenes espectaculares y gracias a esta app pase de sacar 5-6 a sacar 8-9.
Julyana
usuaria de Android
Es la mejor aplicación del mundo, la uso para revisar los deberes a mi hijo.
Javier
usuario de Android
LOS QUIZ Y FLASHCARDS SON SÚPER ÚTILES Y ME ENCANTA Knowunity IA. ADEMÁS ES LITERALMENTE COMO CHATGPT PERO MÁS LISTO!! ME AYUDÓ TAMBIÉN CON MIS PROBLEMAS DE MÁSCARA!! Y CON MIS ASIGNATURAS DE VERDAD! OBVIO 😍😁😲🤑💗✨🎀😮
Erick
usuario de Android
Me me encanta esta app, todo lo que tiene es de calidad ya que antes de ser publicado es revisado por un equipo de profesionales. Me ha ido genial esta aplicación ya que gracias a ella puedo estudiar mucho mejor, sin tener que agobiarme porque mi profesor no ha hecho teoría o porque no entiendo su teoría. Le doy un 10 de 10!
Mar
usuaria de iOS
La app es muy fácil de usar y está muy bien diseñada. Hasta ahora he encontrado todo lo que estaba buscando y he podido aprender mucho de las presentaciones. Definitivamente utilizaré la aplicación para un examen de clase. Y, por supuesto, también me sirve mucho de inspiración.
Pablo
usuario de iOS
Esta app es realmente genial. Hay tantos apuntes de clase y ayuda [...]. Tengo problemas con matemáticas, por ejemplo, y la aplicación tiene muchas opciones de ayuda. Gracias a Knowunity, he mejorado en mates. Se la recomiendo a todo el mundo.
Elena
usuaria de Android
Vaya, estoy realmente sorprendida. Acabo de probar la app porque la he visto anunciada muchas veces y me he quedado absolutamente alucinada. Esta app es LA AYUDA que quieres para el insti y, sobre todo, ofrece muchísimas cosas, como ejercicios y hojas informativas, que a mí personalmente me han sido MUY útiles.
Ana
usuaria de iOS
Está app es muy buena, tiene apuntes que son de mucha ayuda y su IA es fantástica, te explica a la perfección y muy fácil de entender lo que necesites, te ayuda con los deberes, te hace esquemas... en definitiva es una muy buena opción!
Sophia
usuario de Android
Me encanta!!! Me resuelve todo con detalle y me da la explicación correcta. Tiene un montón de funciones, ami me ha ido genial!! Os la recomiendo!!!
Marta
usuaria de Android
La uso casi diariamente, sirve para todas las asignaturas. Yo, por ejemplo la utilizo más en inglés porque se me da bastante mal, ¡Todas las respuestas están correctas! Consta con personas reales que suben sus apuntes y IA para que puedas hacer los deberes muchísimo más fácil, la recomiendo.
Izan
usuario de iOS
¡La app es buenísima! Sólo tengo que introducir el tema en la barra de búsqueda y recibo la respuesta muy rápido. No tengo que ver 10 vídeos de YouTube para entender algo, así que me ahorro tiempo. ¡Muy recomendable!
Sara
usuaria de Android
En el instituto era muy malo en matemáticas, pero gracias a la app, ahora saco mejores notas. Os agradezco mucho que hayáis creado la aplicación.
Roberto
usuario de Android
Esto no es como Chatgpt, es MUCHISMO MEJOR, te hace unos resúmenes espectaculares y gracias a esta app pase de sacar 5-6 a sacar 8-9.
Julyana
usuaria de Android
Es la mejor aplicación del mundo, la uso para revisar los deberes a mi hijo.
Javier
usuario de Android
LOS QUIZ Y FLASHCARDS SON SÚPER ÚTILES Y ME ENCANTA Knowunity IA. ADEMÁS ES LITERALMENTE COMO CHATGPT PERO MÁS LISTO!! ME AYUDÓ TAMBIÉN CON MIS PROBLEMAS DE MÁSCARA!! Y CON MIS ASIGNATURAS DE VERDAD! OBVIO 😍😁😲🤑💗✨🎀😮
Erick
usuario de Android
Me me encanta esta app, todo lo que tiene es de calidad ya que antes de ser publicado es revisado por un equipo de profesionales. Me ha ido genial esta aplicación ya que gracias a ella puedo estudiar mucho mejor, sin tener que agobiarme porque mi profesor no ha hecho teoría o porque no entiendo su teoría. Le doy un 10 de 10!
Mar
usuaria de iOS