¡Hola! Las matemáticas de bachillerato pueden parecer un montón de... Mostrar más
Inscríbete para ver los apuntes¡Es gratis!
Acceso a todos los documentos
Mejora tus notas
Únete a millones de estudiantes
Knowunity AI
Asignaturas
Triangle Congruence and Similarity Theorems
Triangle Properties and Classification
Linear Equations and Graphs
Geometric Angle Relationships
Trigonometric Functions and Identities
Equation Solving Techniques
Circle Geometry Fundamentals
Division Operations and Methods
Basic Differentiation Rules
Exponent and Logarithm Properties
Mostrar todos los temas
Human Organ Systems
Reproductive Cell Cycles
Biological Sciences Subdisciplines
Cellular Energy Metabolism
Autotrophic Energy Processes
Inheritance Patterns and Principles
Biomolecular Structure and Organization
Cell Cycle and Division Mechanics
Cellular Organization and Development
Biological Structural Organization
Mostrar todos los temas
Chemical Sciences and Applications
Atomic Structure and Composition
Molecular Electron Structure Representation
Atomic Electron Behavior
Matter Properties and Water
Mole Concept and Calculations
Gas Laws and Behavior
Periodic Table Organization
Chemical Thermodynamics Fundamentals
Chemical Bond Types and Properties
Mostrar todos los temas
European Renaissance and Enlightenment
European Cultural Movements 800-1920
American Revolution Era 1763-1797
American Civil War 1861-1865
Global Imperial Systems
Mongol and Chinese Dynasties
U.S. Presidents and World Leaders
Historical Sources and Documentation
World Wars Era and Impact
World Religious Systems
Mostrar todos los temas
Classic and Contemporary Novels
Literary Character Analysis
Rhetorical Theory and Practice
Classic Literary Narratives
Reading Analysis and Interpretation
Narrative Structure and Techniques
English Language Components
Influential English-Language Authors
Basic Sentence Structure
Narrative Voice and Perspective
Mostrar todos los temas
2,975
•
Actualizado Apr 10, 2026
•
Eva Alves González
@evaalvesgonzlez
¡Hola! Las matemáticas de bachillerato pueden parecer un montón de... Mostrar más











Esta página muestra una mezcla de fórmulas fundamentales que te van a acompañar durante todo bachillerato. Aquí tienes desde el teorema del binomio hasta derivadas básicas como .
Las fórmulas geométricas como el área del círculo y los cálculos con el teorema de Pitágoras son la base para problemas más complejos. Fíjate que aparecen cálculos como cm, que muestran cómo aplicar estas fórmulas en ejercicios reales.
También encuentras elementos de análisis matemático como límites y la famosa fórmula cuadrática . Estas fórmulas te van a servir tanto para selectividad como para entender conceptos más avanzados.
Consejo clave: Guarda estas fórmulas en tu memoria a largo plazo practicándolas regularmente, no solo memorizándolas.

Las matrices son básicamente tablas de números organizadas en filas y columnas, y son mucho más útiles de lo que parecen al principio. Una matriz se escribe como donde es la fila y la columna.
Tienes varios tipos importantes: las matrices cuadradas (mismo número de filas que de columnas), las matrices identidad (con unos en la diagonal principal y ceros en el resto), y las matrices transpuestas (donde cambias filas por columnas). Por ejemplo, si , entonces .
Las matrices simétricas cumplen que , mientras que las antisimétricas cumplen . Para sumar o restar matrices, simplemente sumas o restas elemento a elemento, pero ojo: las matrices deben tener el mismo tamaño.
Truco visual: Imagina las matrices como hojas de cálculo - cada casilla tiene una dirección específica (fila, columna).

El determinante es un número que se calcula a partir de una matriz cuadrada y te dice mucho sobre sus propiedades. Para una matriz 2×2: .
Para matrices 3×3 la cosa se complica un poco, pero el patrón es similar. Los determinantes son clave porque si , la matriz tiene inversa; si , no la tiene.
Los conceptos de menor complementario y adjunto son fundamentales para calcular determinantes grandes y matrices inversas. El menor complementario se obtiene eliminando la fila y columna , mientras que el adjunto es .
Estrategia de examen: Si ves una fila o columna con muchos ceros, desarrolla el determinante por esa fila para simplificar los cálculos.

Para calcular la matriz adjunta, necesitas encontrar todos los adjuntos y organizarlos en una nueva matriz. Es un proceso laborioso pero sistemático que dominarás con práctica.
La matriz inversa se calcula con la fórmula , pero solo existe si . Una vez que tienes la inversa, puedes resolver ecuaciones matriciales fácilmente.
El rango de una matriz es el número de filas (o columnas) linealmente independientes. Si , entonces (el orden de la matriz). Si , entonces y tienes que calcular determinantes de submatrices más pequeñas hasta encontrar uno que no sea cero.
Consejo práctico: Para matrices grandes, usa calculadora científica o software para verificar tus cálculos de determinantes.

Los sistemas de ecuaciones lineales pueden tener una solución (sistema compatible determinado), infinitas soluciones (sistema compatible indeterminado) o ninguna solución (sistema incompatible).
El método de Gauss consiste en convertir el sistema en una matriz escalonada mediante operaciones elementales entre filas. Es el método más sistemático y menos propenso a errores de cálculo.
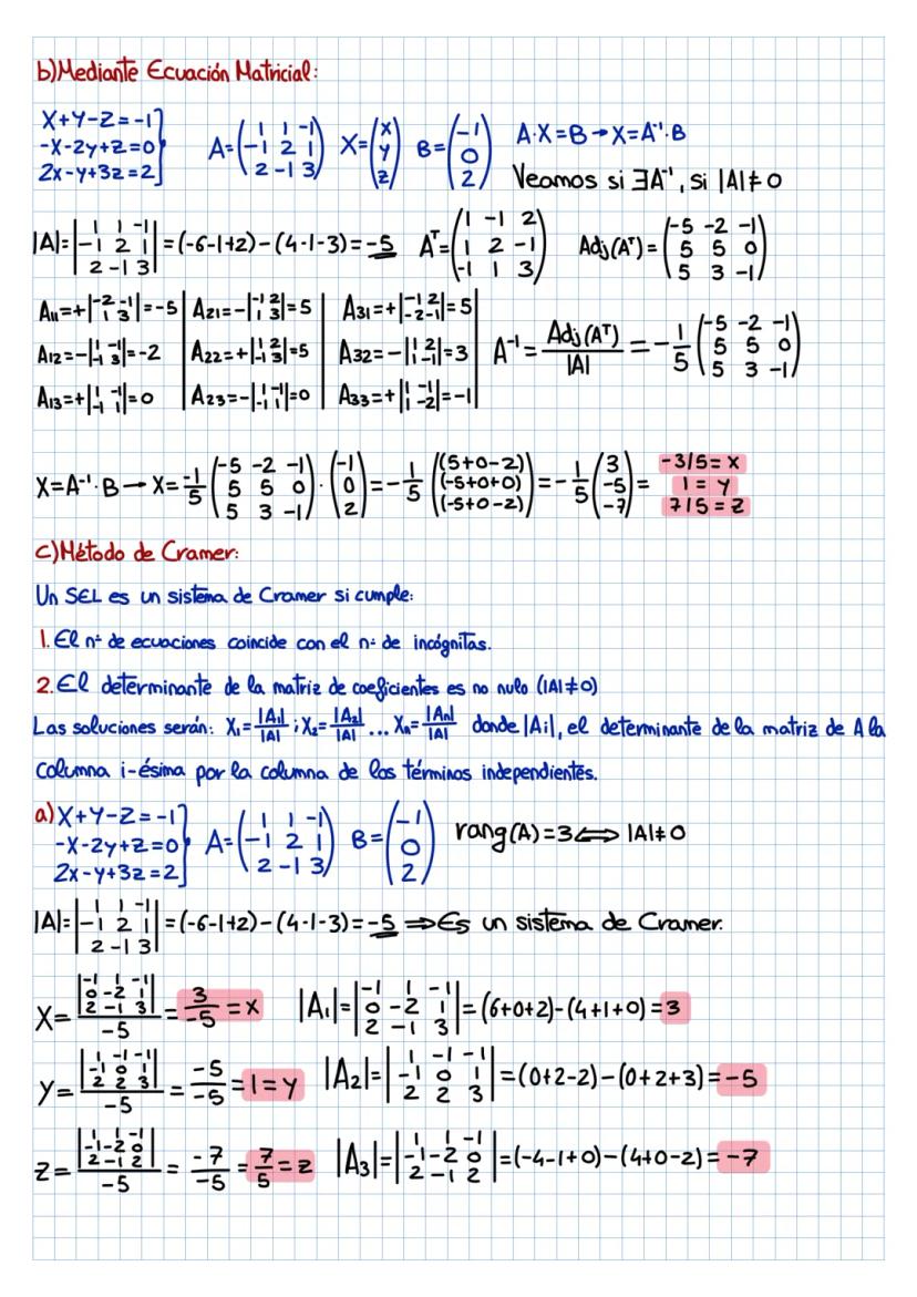
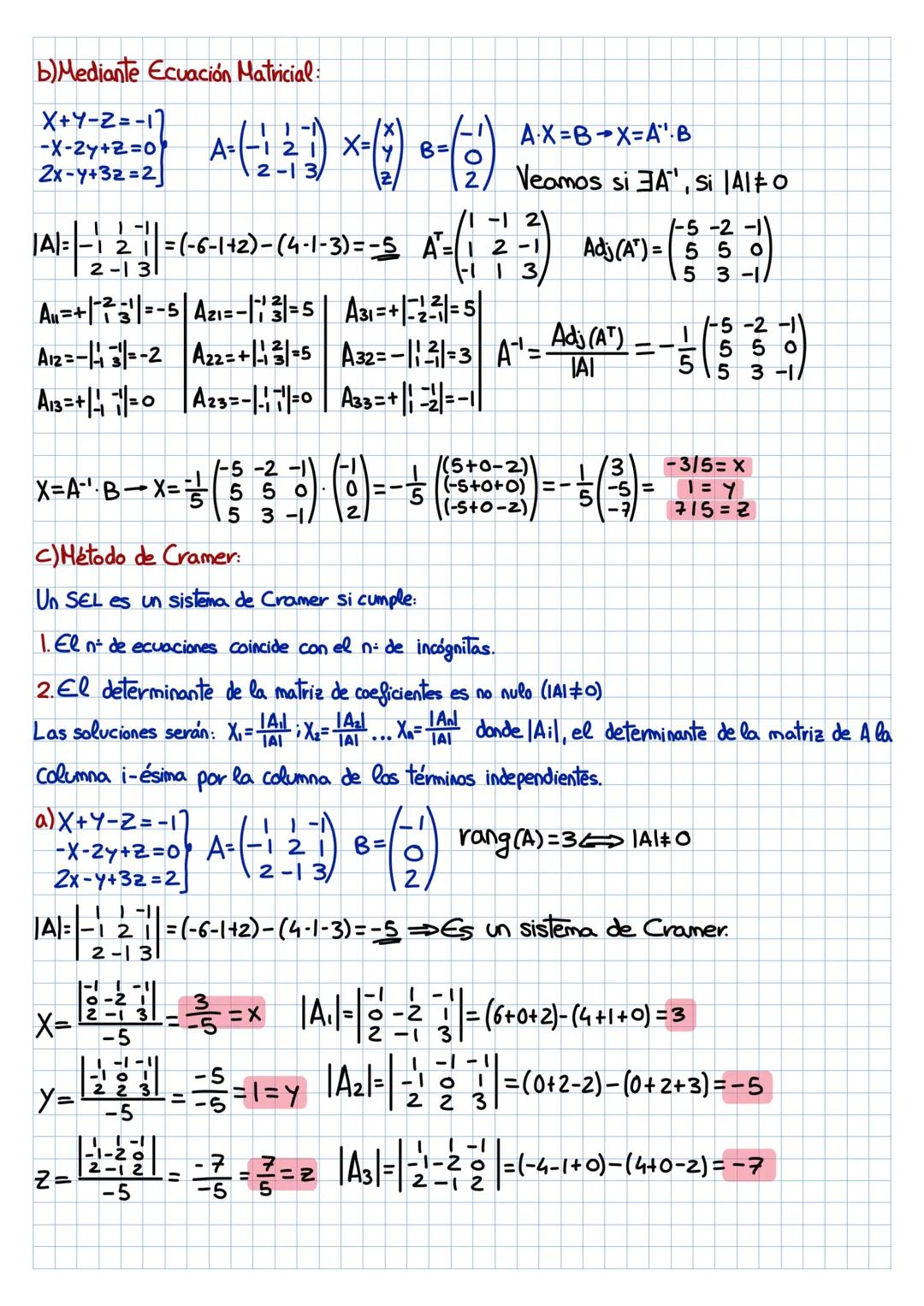
El método de Cramer funciona cuando el número de ecuaciones coincide con el de incógnitas y . Las soluciones son: , donde es el determinante que se obtiene cambiando la columna por la de términos independientes.
Tip de eficiencia: Si el determinante principal es cero, ni te molestes con Cramer - usa Gauss directamente.

La ecuación matricial se resuelve como , pero solo si existe . Este método es elegante pero requiere calcular la matriz inversa completa.
Para sistemas con parámetros, debes analizar diferentes casos según los valores del parámetro. Cuando el determinante se anula, el sistema puede volverse incompatible o indeterminado dependiendo del rango de la matriz ampliada.
Los sistemas compatibles indeterminados tienen infinitas soluciones que dependen de parámetros libres. El número de grados de libertad es , donde es el número de incógnitas.
Estrategia para parámetros: Primero encuentra qué valores anulan el determinante, luego analiza cada caso por separado.

La programación lineal te ayuda a encontrar el máximo o mínimo de una función sujeta a restricciones. Empiezas convirtiendo las inecuaciones en ecuaciones para encontrar las rectas frontera.
Para resolver un sistema de inecuaciones, dibujas cada recta y determinas qué lado satisface la inecuación probando con un punto de prueba (normalmente el origen). La región factible es donde se solapan todas las condiciones.
Los vértices de la región factible son los puntos donde se cruzan las rectas frontera. Estos puntos son candidatos para el máximo o mínimo de tu función objetivo, según el teorema fundamental de la programación lineal.
Truco gráfico: Usa diferentes colores para sombrear cada inecuación - la región donde coinciden todos los colores es tu región factible.



Nuestro compañero de IA está específicamente adaptado a las necesidades de los estudiantes. Basándonos en los millones de contenidos que tenemos en la plataforma, podemos dar a los estudiantes respuestas realmente significativas y relevantes. Pero no se trata solo de respuestas, el compañero también guía a los estudiantes a través de sus retos de aprendizaje diarios, con planes de aprendizaje personalizados, cuestionarios o contenidos en el chat y una personalización del 100% basada en las habilidades y el desarrollo de los estudiantes.
Puedes descargar la app en Google Play Store y Apple App Store.
Sí, tienes acceso gratuito a los contenidos de la aplicación y a nuestro compañero de IA. Para desbloquear determinadas funciones de la aplicación, puedes adquirir Knowunity Pro.
App Store
Google Play
La app es muy fácil de usar y está muy bien diseñada. Hasta ahora he encontrado todo lo que estaba buscando y he podido aprender mucho de las presentaciones. Definitivamente utilizaré la aplicación para un examen de clase. Y, por supuesto, también me sirve mucho de inspiración.
Pablo
usuario de iOS
Esta app es realmente genial. Hay tantos apuntes de clase y ayuda [...]. Tengo problemas con matemáticas, por ejemplo, y la aplicación tiene muchas opciones de ayuda. Gracias a Knowunity, he mejorado en mates. Se la recomiendo a todo el mundo.
Elena
usuaria de Android
Vaya, estoy realmente sorprendida. Acabo de probar la app porque la he visto anunciada muchas veces y me he quedado absolutamente alucinada. Esta app es LA AYUDA que quieres para el insti y, sobre todo, ofrece muchísimas cosas, como ejercicios y hojas informativas, que a mí personalmente me han sido MUY útiles.
Ana
usuaria de iOS
Está app es muy buena, tiene apuntes que son de mucha ayuda y su IA es fantástica, te explica a la perfección y muy fácil de entender lo que necesites, te ayuda con los deberes, te hace esquemas... en definitiva es una muy buena opción!
Sophia
usuario de Android
Me encanta!!! Me resuelve todo con detalle y me da la explicación correcta. Tiene un montón de funciones, ami me ha ido genial!! Os la recomiendo!!!
Marta
usuaria de Android
La uso casi diariamente, sirve para todas las asignaturas. Yo, por ejemplo la utilizo más en inglés porque se me da bastante mal, ¡Todas las respuestas están correctas! Consta con personas reales que suben sus apuntes y IA para que puedas hacer los deberes muchísimo más fácil, la recomiendo.
Izan
usuario de iOS
¡La app es buenísima! Sólo tengo que introducir el tema en la barra de búsqueda y recibo la respuesta muy rápido. No tengo que ver 10 vídeos de YouTube para entender algo, así que me ahorro tiempo. ¡Muy recomendable!
Sara
usuaria de Android
En el instituto era muy malo en matemáticas, pero gracias a la app, ahora saco mejores notas. Os agradezco mucho que hayáis creado la aplicación.
Roberto
usuario de Android
Esto no es como Chatgpt, es MUCHISMO MEJOR, te hace unos resúmenes espectaculares y gracias a esta app pase de sacar 5-6 a sacar 8-9.
Julyana
usuaria de Android
Es la mejor aplicación del mundo, la uso para revisar los deberes a mi hijo.
Javier
usuario de Android
LOS QUIZ Y FLASHCARDS SON SÚPER ÚTILES Y ME ENCANTA Knowunity IA. ADEMÁS ES LITERALMENTE COMO CHATGPT PERO MÁS LISTO!! ME AYUDÓ TAMBIÉN CON MIS PROBLEMAS DE MÁSCARA!! Y CON MIS ASIGNATURAS DE VERDAD! OBVIO 😍😁😲🤑💗✨🎀😮
Erick
usuario de Android
Me me encanta esta app, todo lo que tiene es de calidad ya que antes de ser publicado es revisado por un equipo de profesionales. Me ha ido genial esta aplicación ya que gracias a ella puedo estudiar mucho mejor, sin tener que agobiarme porque mi profesor no ha hecho teoría o porque no entiendo su teoría. Le doy un 10 de 10!
Mar
usuaria de iOS
La app es muy fácil de usar y está muy bien diseñada. Hasta ahora he encontrado todo lo que estaba buscando y he podido aprender mucho de las presentaciones. Definitivamente utilizaré la aplicación para un examen de clase. Y, por supuesto, también me sirve mucho de inspiración.
Pablo
usuario de iOS
Esta app es realmente genial. Hay tantos apuntes de clase y ayuda [...]. Tengo problemas con matemáticas, por ejemplo, y la aplicación tiene muchas opciones de ayuda. Gracias a Knowunity, he mejorado en mates. Se la recomiendo a todo el mundo.
Elena
usuaria de Android
Vaya, estoy realmente sorprendida. Acabo de probar la app porque la he visto anunciada muchas veces y me he quedado absolutamente alucinada. Esta app es LA AYUDA que quieres para el insti y, sobre todo, ofrece muchísimas cosas, como ejercicios y hojas informativas, que a mí personalmente me han sido MUY útiles.
Ana
usuaria de iOS
Está app es muy buena, tiene apuntes que son de mucha ayuda y su IA es fantástica, te explica a la perfección y muy fácil de entender lo que necesites, te ayuda con los deberes, te hace esquemas... en definitiva es una muy buena opción!
Sophia
usuario de Android
Me encanta!!! Me resuelve todo con detalle y me da la explicación correcta. Tiene un montón de funciones, ami me ha ido genial!! Os la recomiendo!!!
Marta
usuaria de Android
La uso casi diariamente, sirve para todas las asignaturas. Yo, por ejemplo la utilizo más en inglés porque se me da bastante mal, ¡Todas las respuestas están correctas! Consta con personas reales que suben sus apuntes y IA para que puedas hacer los deberes muchísimo más fácil, la recomiendo.
Izan
usuario de iOS
¡La app es buenísima! Sólo tengo que introducir el tema en la barra de búsqueda y recibo la respuesta muy rápido. No tengo que ver 10 vídeos de YouTube para entender algo, así que me ahorro tiempo. ¡Muy recomendable!
Sara
usuaria de Android
En el instituto era muy malo en matemáticas, pero gracias a la app, ahora saco mejores notas. Os agradezco mucho que hayáis creado la aplicación.
Roberto
usuario de Android
Esto no es como Chatgpt, es MUCHISMO MEJOR, te hace unos resúmenes espectaculares y gracias a esta app pase de sacar 5-6 a sacar 8-9.
Julyana
usuaria de Android
Es la mejor aplicación del mundo, la uso para revisar los deberes a mi hijo.
Javier
usuario de Android
LOS QUIZ Y FLASHCARDS SON SÚPER ÚTILES Y ME ENCANTA Knowunity IA. ADEMÁS ES LITERALMENTE COMO CHATGPT PERO MÁS LISTO!! ME AYUDÓ TAMBIÉN CON MIS PROBLEMAS DE MÁSCARA!! Y CON MIS ASIGNATURAS DE VERDAD! OBVIO 😍😁😲🤑💗✨🎀😮
Erick
usuario de Android
Me me encanta esta app, todo lo que tiene es de calidad ya que antes de ser publicado es revisado por un equipo de profesionales. Me ha ido genial esta aplicación ya que gracias a ella puedo estudiar mucho mejor, sin tener que agobiarme porque mi profesor no ha hecho teoría o porque no entiendo su teoría. Le doy un 10 de 10!
Mar
usuaria de iOS
Eva Alves González
@evaalvesgonzlez
¡Hola! Las matemáticas de bachillerato pueden parecer un montón de fórmulas sueltas, pero en realidad son herramientas súper útiles que se conectan entre sí. Vamos a ver los conceptos más importantes de matrices, determinantes, sistemas de ecuaciones y programación lineal... Mostrar más

Acceso a todos los documentos
Mejora tus notas
Únete a millones de estudiantes
Esta página muestra una mezcla de fórmulas fundamentales que te van a acompañar durante todo bachillerato. Aquí tienes desde el teorema del binomio hasta derivadas básicas como .
Las fórmulas geométricas como el área del círculo y los cálculos con el teorema de Pitágoras son la base para problemas más complejos. Fíjate que aparecen cálculos como cm, que muestran cómo aplicar estas fórmulas en ejercicios reales.
También encuentras elementos de análisis matemático como límites y la famosa fórmula cuadrática . Estas fórmulas te van a servir tanto para selectividad como para entender conceptos más avanzados.
Consejo clave: Guarda estas fórmulas en tu memoria a largo plazo practicándolas regularmente, no solo memorizándolas.

Acceso a todos los documentos
Mejora tus notas
Únete a millones de estudiantes
Las matrices son básicamente tablas de números organizadas en filas y columnas, y son mucho más útiles de lo que parecen al principio. Una matriz se escribe como donde es la fila y la columna.
Tienes varios tipos importantes: las matrices cuadradas (mismo número de filas que de columnas), las matrices identidad (con unos en la diagonal principal y ceros en el resto), y las matrices transpuestas (donde cambias filas por columnas). Por ejemplo, si , entonces .
Las matrices simétricas cumplen que , mientras que las antisimétricas cumplen . Para sumar o restar matrices, simplemente sumas o restas elemento a elemento, pero ojo: las matrices deben tener el mismo tamaño.
Truco visual: Imagina las matrices como hojas de cálculo - cada casilla tiene una dirección específica (fila, columna).

Acceso a todos los documentos
Mejora tus notas
Únete a millones de estudiantes
El determinante es un número que se calcula a partir de una matriz cuadrada y te dice mucho sobre sus propiedades. Para una matriz 2×2: .
Para matrices 3×3 la cosa se complica un poco, pero el patrón es similar. Los determinantes son clave porque si , la matriz tiene inversa; si , no la tiene.
Los conceptos de menor complementario y adjunto son fundamentales para calcular determinantes grandes y matrices inversas. El menor complementario se obtiene eliminando la fila y columna , mientras que el adjunto es .
Estrategia de examen: Si ves una fila o columna con muchos ceros, desarrolla el determinante por esa fila para simplificar los cálculos.

Acceso a todos los documentos
Mejora tus notas
Únete a millones de estudiantes
Para calcular la matriz adjunta, necesitas encontrar todos los adjuntos y organizarlos en una nueva matriz. Es un proceso laborioso pero sistemático que dominarás con práctica.
La matriz inversa se calcula con la fórmula , pero solo existe si . Una vez que tienes la inversa, puedes resolver ecuaciones matriciales fácilmente.
El rango de una matriz es el número de filas (o columnas) linealmente independientes. Si , entonces (el orden de la matriz). Si , entonces y tienes que calcular determinantes de submatrices más pequeñas hasta encontrar uno que no sea cero.
Consejo práctico: Para matrices grandes, usa calculadora científica o software para verificar tus cálculos de determinantes.

Acceso a todos los documentos
Mejora tus notas
Únete a millones de estudiantes
Los sistemas de ecuaciones lineales pueden tener una solución (sistema compatible determinado), infinitas soluciones (sistema compatible indeterminado) o ninguna solución (sistema incompatible).
El método de Gauss consiste en convertir el sistema en una matriz escalonada mediante operaciones elementales entre filas. Es el método más sistemático y menos propenso a errores de cálculo.
El método de Cramer funciona cuando el número de ecuaciones coincide con el de incógnitas y . Las soluciones son: , donde es el determinante que se obtiene cambiando la columna por la de términos independientes.
Tip de eficiencia: Si el determinante principal es cero, ni te molestes con Cramer - usa Gauss directamente.

Acceso a todos los documentos
Mejora tus notas
Únete a millones de estudiantes
La ecuación matricial se resuelve como , pero solo si existe . Este método es elegante pero requiere calcular la matriz inversa completa.
Para sistemas con parámetros, debes analizar diferentes casos según los valores del parámetro. Cuando el determinante se anula, el sistema puede volverse incompatible o indeterminado dependiendo del rango de la matriz ampliada.
Los sistemas compatibles indeterminados tienen infinitas soluciones que dependen de parámetros libres. El número de grados de libertad es , donde es el número de incógnitas.
Estrategia para parámetros: Primero encuentra qué valores anulan el determinante, luego analiza cada caso por separado.

Acceso a todos los documentos
Mejora tus notas
Únete a millones de estudiantes
La programación lineal te ayuda a encontrar el máximo o mínimo de una función sujeta a restricciones. Empiezas convirtiendo las inecuaciones en ecuaciones para encontrar las rectas frontera.
Para resolver un sistema de inecuaciones, dibujas cada recta y determinas qué lado satisface la inecuación probando con un punto de prueba (normalmente el origen). La región factible es donde se solapan todas las condiciones.
Los vértices de la región factible son los puntos donde se cruzan las rectas frontera. Estos puntos son candidatos para el máximo o mínimo de tu función objetivo, según el teorema fundamental de la programación lineal.
Truco gráfico: Usa diferentes colores para sombrear cada inecuación - la región donde coinciden todos los colores es tu región factible.

Acceso a todos los documentos
Mejora tus notas
Únete a millones de estudiantes

Acceso a todos los documentos
Mejora tus notas
Únete a millones de estudiantes

Acceso a todos los documentos
Mejora tus notas
Únete a millones de estudiantes
Nuestro compañero de IA está específicamente adaptado a las necesidades de los estudiantes. Basándonos en los millones de contenidos que tenemos en la plataforma, podemos dar a los estudiantes respuestas realmente significativas y relevantes. Pero no se trata solo de respuestas, el compañero también guía a los estudiantes a través de sus retos de aprendizaje diarios, con planes de aprendizaje personalizados, cuestionarios o contenidos en el chat y una personalización del 100% basada en las habilidades y el desarrollo de los estudiantes.
Puedes descargar la app en Google Play Store y Apple App Store.
Sí, tienes acceso gratuito a los contenidos de la aplicación y a nuestro compañero de IA. Para desbloquear determinadas funciones de la aplicación, puedes adquirir Knowunity Pro.
83
Herramientas Inteligentes NUEVO
Transforma estos apuntes en: ✓ 50+ Preguntas de Práctica ✓ Flashcards Interactivas ✓ Examen Completo de Práctica ✓ Esquemas de Ensayo
App Store
Google Play
La app es muy fácil de usar y está muy bien diseñada. Hasta ahora he encontrado todo lo que estaba buscando y he podido aprender mucho de las presentaciones. Definitivamente utilizaré la aplicación para un examen de clase. Y, por supuesto, también me sirve mucho de inspiración.
Pablo
usuario de iOS
Esta app es realmente genial. Hay tantos apuntes de clase y ayuda [...]. Tengo problemas con matemáticas, por ejemplo, y la aplicación tiene muchas opciones de ayuda. Gracias a Knowunity, he mejorado en mates. Se la recomiendo a todo el mundo.
Elena
usuaria de Android
Vaya, estoy realmente sorprendida. Acabo de probar la app porque la he visto anunciada muchas veces y me he quedado absolutamente alucinada. Esta app es LA AYUDA que quieres para el insti y, sobre todo, ofrece muchísimas cosas, como ejercicios y hojas informativas, que a mí personalmente me han sido MUY útiles.
Ana
usuaria de iOS
Está app es muy buena, tiene apuntes que son de mucha ayuda y su IA es fantástica, te explica a la perfección y muy fácil de entender lo que necesites, te ayuda con los deberes, te hace esquemas... en definitiva es una muy buena opción!
Sophia
usuario de Android
Me encanta!!! Me resuelve todo con detalle y me da la explicación correcta. Tiene un montón de funciones, ami me ha ido genial!! Os la recomiendo!!!
Marta
usuaria de Android
La uso casi diariamente, sirve para todas las asignaturas. Yo, por ejemplo la utilizo más en inglés porque se me da bastante mal, ¡Todas las respuestas están correctas! Consta con personas reales que suben sus apuntes y IA para que puedas hacer los deberes muchísimo más fácil, la recomiendo.
Izan
usuario de iOS
¡La app es buenísima! Sólo tengo que introducir el tema en la barra de búsqueda y recibo la respuesta muy rápido. No tengo que ver 10 vídeos de YouTube para entender algo, así que me ahorro tiempo. ¡Muy recomendable!
Sara
usuaria de Android
En el instituto era muy malo en matemáticas, pero gracias a la app, ahora saco mejores notas. Os agradezco mucho que hayáis creado la aplicación.
Roberto
usuario de Android
Esto no es como Chatgpt, es MUCHISMO MEJOR, te hace unos resúmenes espectaculares y gracias a esta app pase de sacar 5-6 a sacar 8-9.
Julyana
usuaria de Android
Es la mejor aplicación del mundo, la uso para revisar los deberes a mi hijo.
Javier
usuario de Android
LOS QUIZ Y FLASHCARDS SON SÚPER ÚTILES Y ME ENCANTA Knowunity IA. ADEMÁS ES LITERALMENTE COMO CHATGPT PERO MÁS LISTO!! ME AYUDÓ TAMBIÉN CON MIS PROBLEMAS DE MÁSCARA!! Y CON MIS ASIGNATURAS DE VERDAD! OBVIO 😍😁😲🤑💗✨🎀😮
Erick
usuario de Android
Me me encanta esta app, todo lo que tiene es de calidad ya que antes de ser publicado es revisado por un equipo de profesionales. Me ha ido genial esta aplicación ya que gracias a ella puedo estudiar mucho mejor, sin tener que agobiarme porque mi profesor no ha hecho teoría o porque no entiendo su teoría. Le doy un 10 de 10!
Mar
usuaria de iOS
La app es muy fácil de usar y está muy bien diseñada. Hasta ahora he encontrado todo lo que estaba buscando y he podido aprender mucho de las presentaciones. Definitivamente utilizaré la aplicación para un examen de clase. Y, por supuesto, también me sirve mucho de inspiración.
Pablo
usuario de iOS
Esta app es realmente genial. Hay tantos apuntes de clase y ayuda [...]. Tengo problemas con matemáticas, por ejemplo, y la aplicación tiene muchas opciones de ayuda. Gracias a Knowunity, he mejorado en mates. Se la recomiendo a todo el mundo.
Elena
usuaria de Android
Vaya, estoy realmente sorprendida. Acabo de probar la app porque la he visto anunciada muchas veces y me he quedado absolutamente alucinada. Esta app es LA AYUDA que quieres para el insti y, sobre todo, ofrece muchísimas cosas, como ejercicios y hojas informativas, que a mí personalmente me han sido MUY útiles.
Ana
usuaria de iOS
Está app es muy buena, tiene apuntes que son de mucha ayuda y su IA es fantástica, te explica a la perfección y muy fácil de entender lo que necesites, te ayuda con los deberes, te hace esquemas... en definitiva es una muy buena opción!
Sophia
usuario de Android
Me encanta!!! Me resuelve todo con detalle y me da la explicación correcta. Tiene un montón de funciones, ami me ha ido genial!! Os la recomiendo!!!
Marta
usuaria de Android
La uso casi diariamente, sirve para todas las asignaturas. Yo, por ejemplo la utilizo más en inglés porque se me da bastante mal, ¡Todas las respuestas están correctas! Consta con personas reales que suben sus apuntes y IA para que puedas hacer los deberes muchísimo más fácil, la recomiendo.
Izan
usuario de iOS
¡La app es buenísima! Sólo tengo que introducir el tema en la barra de búsqueda y recibo la respuesta muy rápido. No tengo que ver 10 vídeos de YouTube para entender algo, así que me ahorro tiempo. ¡Muy recomendable!
Sara
usuaria de Android
En el instituto era muy malo en matemáticas, pero gracias a la app, ahora saco mejores notas. Os agradezco mucho que hayáis creado la aplicación.
Roberto
usuario de Android
Esto no es como Chatgpt, es MUCHISMO MEJOR, te hace unos resúmenes espectaculares y gracias a esta app pase de sacar 5-6 a sacar 8-9.
Julyana
usuaria de Android
Es la mejor aplicación del mundo, la uso para revisar los deberes a mi hijo.
Javier
usuario de Android
LOS QUIZ Y FLASHCARDS SON SÚPER ÚTILES Y ME ENCANTA Knowunity IA. ADEMÁS ES LITERALMENTE COMO CHATGPT PERO MÁS LISTO!! ME AYUDÓ TAMBIÉN CON MIS PROBLEMAS DE MÁSCARA!! Y CON MIS ASIGNATURAS DE VERDAD! OBVIO 😍😁😲🤑💗✨🎀😮
Erick
usuario de Android
Me me encanta esta app, todo lo que tiene es de calidad ya que antes de ser publicado es revisado por un equipo de profesionales. Me ha ido genial esta aplicación ya que gracias a ella puedo estudiar mucho mejor, sin tener que agobiarme porque mi profesor no ha hecho teoría o porque no entiendo su teoría. Le doy un 10 de 10!
Mar
usuaria de iOS