Los radicales y logaritmos son herramientas matemáticas fundamentales que necesitas... Mostrar más
Inscríbete para ver los apuntes¡Es gratis!
Acceso a todos los documentos
Mejora tus notas
Únete a millones de estudiantes
Knowunity AI
Asignaturas
Triangle Congruence and Similarity Theorems
Triangle Properties and Classification
Linear Equations and Graphs
Geometric Angle Relationships
Trigonometric Functions and Identities
Equation Solving Techniques
Circle Geometry Fundamentals
Division Operations and Methods
Basic Differentiation Rules
Exponent and Logarithm Properties
Mostrar todos los temas
Human Organ Systems
Reproductive Cell Cycles
Biological Sciences Subdisciplines
Cellular Energy Metabolism
Autotrophic Energy Processes
Inheritance Patterns and Principles
Biomolecular Structure and Organization
Cell Cycle and Division Mechanics
Cellular Organization and Development
Biological Structural Organization
Mostrar todos los temas
Chemical Sciences and Applications
Atomic Structure and Composition
Molecular Electron Structure Representation
Atomic Electron Behavior
Matter Properties and Water
Mole Concept and Calculations
Gas Laws and Behavior
Periodic Table Organization
Chemical Thermodynamics Fundamentals
Chemical Bond Types and Properties
Mostrar todos los temas
European Renaissance and Enlightenment
European Cultural Movements 800-1920
American Revolution Era 1763-1797
American Civil War 1861-1865
Global Imperial Systems
Mongol and Chinese Dynasties
U.S. Presidents and World Leaders
Historical Sources and Documentation
World Wars Era and Impact
World Religious Systems
Mostrar todos los temas
Classic and Contemporary Novels
Literary Character Analysis
Rhetorical Theory and Practice
Classic Literary Narratives
Reading Analysis and Interpretation
Narrative Structure and Techniques
English Language Components
Influential English-Language Authors
Basic Sentence Structure
Narrative Voice and Perspective
Mostrar todos los temas
478
•
Actualizado Mar 24, 2026
•
Angela Barrionuevo
@angelabc_
Los radicales y logaritmos son herramientas matemáticas fundamentales que necesitas... Mostrar más







¿Sabías que multiplicar radicales es más fácil de lo que parece? Cuando multiplicas radicales del mismo índice, simplemente multiplicas lo que está dentro de las raíces y mantienes el radical.
Para dividir radicales, aplicas el mismo principio pero con división. Por ejemplo, √16 : √2 = √8 = 2. La clave está en simplificar siempre el resultado final extrayendo todos los factores posibles.
Cuando trabajas con potencias bajo radicales, recuerda que √ = √. Esta propiedad te ahorrará mucho tiempo en los exámenes. También puedes extraer factores cuando el exponente es mayor o igual al índice de la raíz.
Truco útil: Siempre busca factores perfectos (como 4, 9, 16...) para extraer de la raíz y simplificar tu resultado.

La suma y resta de radicales solo es posible cuando tienes radicales semejantes (mismo índice y mismo radicando). Es como sumar manzanas: 3√2 + 5√2 = 8√2, pero 3√2 + 5√3 no se puede simplificar más.
Para sumar radicales que parecen diferentes, primero extrae todos los factores posibles. Por ejemplo, √8 + √18 = 2√2 + 3√2 = 5√2. Este paso es crucial para identificar términos semejantes.
La racionalización elimina radicales del denominador de las fracciones. Para denominadores simples como √2, multiplicas por √2/√2. Para denominadores con sumas como (√3 + √5), usas el conjugado: multiplicas por (√3 - √5)/(√3 - √5).
Consejo de examen: La racionalización siempre da un resultado "más limpio" y es lo que esperan los profesores en las respuestas finales.

Trabajar con radicales anidados como √√√2³ puede parecer intimidante, pero hay un truco: convierte todo a exponentes fraccionarios. √√√2³ = 2^(3/8), mucho más manejable.
Cuando combines radicales con coeficientes, como 5√6, puedes expresarlo como un único radical: √(5² × 6) = √150. Esta técnica es especialmente útil para verificar respuestas o cuando necesitas una forma específica.
Para las operaciones complejas, agrupa términos semejantes primero. En expresiones como 3√2 - 7√2 + 4√2, el resultado es simplemente 0√2 = 0. No te compliques buscando factores cuando ya tienes términos iguales.
La racionalización con denominadores complejos requiere identificar el conjugado correctamente. Para 2√3 - √2, el conjugado es 2√3 + √2, y al multiplicar obtienes (2√3)² - (√2)² = 12 - 2 = 10.

Los logaritmos son la operación inversa de las potencias, y una vez que entiendas esto, todo será más fácil. Si 10³ = 1000, entonces log 1000 = 3. Es como preguntarse: "¿a qué potencia debo elevar 10 para obtener 1000?"
Las propiedades fundamentales son tus mejores aliadas: log(a × b) = log a + log b, log = log a - log b, y log(aⁿ) = n × log a. Estas reglas te permiten descomponer logaritmos complicados en operaciones simples.
Para calcular logaritmos como log₂ 256, busca la potencia: 256 = 2⁸, por tanto log₂ 256 = 8. Con logaritmos negativos como log₂ 0,25, recuerda que 0,25 = 1/4 = 2⁻², así que la respuesta es -2.
Dato importante: Los logaritmos decimales (base 10) se escriben simplemente como "log", mientras que otros necesitan especificar la base como subíndice.

Usando valores conocidos como log 2 = 0,301 y log 3 = 0,477, puedes calcular muchos otros logaritmos. Para log 24, descompones: 24 = 2³ × 3, entonces log 24 = 3 log 2 + log 3 = 1,38.
El cambio de base es esencial cuando trabajas con logaritmos de bases diferentes. La fórmula log_a b = log b / log a te permite convertir cualquier logaritmo a base 10 (más fácil de calcular).
Para logaritmos como log 5, usa la relación 5 = 10/2, entonces log 5 = log 10 - log 2 = 1 - 0,301 = 0,699. Esta técnica de descomposición es fundamental para resolver problemas sin calculadora.
Los logaritmos de fracciones decimales dan resultados negativos. Por ejemplo, log 0,001 = log 10⁻³ = -3. Recuerda que estás buscando la potencia que hace que 10ˣ = 0,001.
Estrategia de estudio: Memoriza log 2 ≈ 0,3 y log 3 ≈ 0,48, te servirán para calcular muchos otros valores.

Las operaciones combinadas con logaritmos requieren aplicar las propiedades en el orden correcto. Para expresiones como log₃ 7 × log₇ 3, usa el cambio de base: el resultado siempre es 1 cuando las bases se "cancelan" de esta forma.
Los logaritmos anidados como log₂(log₂(log₂ 8)) se resuelven desde dentro hacia fuera: primero log₂ 8 = 3, luego log₂ 3 ≈ 1,58, y finalmente log₂ 1,58. Mantén la calma y trabaja paso a paso.
Para expresar logaritmos como sumas y diferencias, descompone el argumento completamente. Por ejemplo, log(2⁵ × 3⁴/7⁶) = 5 log 2 + 4 log 3 - 6 log 7. Esta forma es mucho más fácil para calcular valores aproximados.
Cuando trabajas con raíces dentro de logaritmos, recuerda que log √ = ½ log a - ½ log b. Las raíces se convierten en exponentes fraccionarios, simplificando mucho el cálculo.
Técnica profesional: Siempre expresa los resultados en su forma más simple, extrayendo factores comunes y racionalizando denominadores cuando sea necesario.
Nuestro compañero de IA está específicamente adaptado a las necesidades de los estudiantes. Basándonos en los millones de contenidos que tenemos en la plataforma, podemos dar a los estudiantes respuestas realmente significativas y relevantes. Pero no se trata solo de respuestas, el compañero también guía a los estudiantes a través de sus retos de aprendizaje diarios, con planes de aprendizaje personalizados, cuestionarios o contenidos en el chat y una personalización del 100% basada en las habilidades y el desarrollo de los estudiantes.
Puedes descargar la app en Google Play Store y Apple App Store.
Sí, tienes acceso gratuito a los contenidos de la aplicación y a nuestro compañero de IA. Para desbloquear determinadas funciones de la aplicación, puedes adquirir Knowunity Pro.
Sintexis de Lengua Castellana. Incluye las oraciones simples, los complementos y todas las oraciones compuestas
App Store
Google Play
La app es muy fácil de usar y está muy bien diseñada. Hasta ahora he encontrado todo lo que estaba buscando y he podido aprender mucho de las presentaciones. Definitivamente utilizaré la aplicación para un examen de clase. Y, por supuesto, también me sirve mucho de inspiración.
Pablo
usuario de iOS
Esta app es realmente genial. Hay tantos apuntes de clase y ayuda [...]. Tengo problemas con matemáticas, por ejemplo, y la aplicación tiene muchas opciones de ayuda. Gracias a Knowunity, he mejorado en mates. Se la recomiendo a todo el mundo.
Elena
usuaria de Android
Vaya, estoy realmente sorprendida. Acabo de probar la app porque la he visto anunciada muchas veces y me he quedado absolutamente alucinada. Esta app es LA AYUDA que quieres para el insti y, sobre todo, ofrece muchísimas cosas, como ejercicios y hojas informativas, que a mí personalmente me han sido MUY útiles.
Ana
usuaria de iOS
Está app es muy buena, tiene apuntes que son de mucha ayuda y su IA es fantástica, te explica a la perfección y muy fácil de entender lo que necesites, te ayuda con los deberes, te hace esquemas... en definitiva es una muy buena opción!
Sophia
usuario de Android
Me encanta!!! Me resuelve todo con detalle y me da la explicación correcta. Tiene un montón de funciones, ami me ha ido genial!! Os la recomiendo!!!
Marta
usuaria de Android
La uso casi diariamente, sirve para todas las asignaturas. Yo, por ejemplo la utilizo más en inglés porque se me da bastante mal, ¡Todas las respuestas están correctas! Consta con personas reales que suben sus apuntes y IA para que puedas hacer los deberes muchísimo más fácil, la recomiendo.
Izan
usuario de iOS
¡La app es buenísima! Sólo tengo que introducir el tema en la barra de búsqueda y recibo la respuesta muy rápido. No tengo que ver 10 vídeos de YouTube para entender algo, así que me ahorro tiempo. ¡Muy recomendable!
Sara
usuaria de Android
En el instituto era muy malo en matemáticas, pero gracias a la app, ahora saco mejores notas. Os agradezco mucho que hayáis creado la aplicación.
Roberto
usuario de Android
Esto no es como Chatgpt, es MUCHISMO MEJOR, te hace unos resúmenes espectaculares y gracias a esta app pase de sacar 5-6 a sacar 8-9.
Julyana
usuaria de Android
Es la mejor aplicación del mundo, la uso para revisar los deberes a mi hijo.
Javier
usuario de Android
LOS QUIZ Y FLASHCARDS SON SÚPER ÚTILES Y ME ENCANTA Knowunity IA. ADEMÁS ES LITERALMENTE COMO CHATGPT PERO MÁS LISTO!! ME AYUDÓ TAMBIÉN CON MIS PROBLEMAS DE MÁSCARA!! Y CON MIS ASIGNATURAS DE VERDAD! OBVIO 😍😁😲🤑💗✨🎀😮
Erick
usuario de Android
Me me encanta esta app, todo lo que tiene es de calidad ya que antes de ser publicado es revisado por un equipo de profesionales. Me ha ido genial esta aplicación ya que gracias a ella puedo estudiar mucho mejor, sin tener que agobiarme porque mi profesor no ha hecho teoría o porque no entiendo su teoría. Le doy un 10 de 10!
Mar
usuaria de iOS
La app es muy fácil de usar y está muy bien diseñada. Hasta ahora he encontrado todo lo que estaba buscando y he podido aprender mucho de las presentaciones. Definitivamente utilizaré la aplicación para un examen de clase. Y, por supuesto, también me sirve mucho de inspiración.
Pablo
usuario de iOS
Esta app es realmente genial. Hay tantos apuntes de clase y ayuda [...]. Tengo problemas con matemáticas, por ejemplo, y la aplicación tiene muchas opciones de ayuda. Gracias a Knowunity, he mejorado en mates. Se la recomiendo a todo el mundo.
Elena
usuaria de Android
Vaya, estoy realmente sorprendida. Acabo de probar la app porque la he visto anunciada muchas veces y me he quedado absolutamente alucinada. Esta app es LA AYUDA que quieres para el insti y, sobre todo, ofrece muchísimas cosas, como ejercicios y hojas informativas, que a mí personalmente me han sido MUY útiles.
Ana
usuaria de iOS
Está app es muy buena, tiene apuntes que son de mucha ayuda y su IA es fantástica, te explica a la perfección y muy fácil de entender lo que necesites, te ayuda con los deberes, te hace esquemas... en definitiva es una muy buena opción!
Sophia
usuario de Android
Me encanta!!! Me resuelve todo con detalle y me da la explicación correcta. Tiene un montón de funciones, ami me ha ido genial!! Os la recomiendo!!!
Marta
usuaria de Android
La uso casi diariamente, sirve para todas las asignaturas. Yo, por ejemplo la utilizo más en inglés porque se me da bastante mal, ¡Todas las respuestas están correctas! Consta con personas reales que suben sus apuntes y IA para que puedas hacer los deberes muchísimo más fácil, la recomiendo.
Izan
usuario de iOS
¡La app es buenísima! Sólo tengo que introducir el tema en la barra de búsqueda y recibo la respuesta muy rápido. No tengo que ver 10 vídeos de YouTube para entender algo, así que me ahorro tiempo. ¡Muy recomendable!
Sara
usuaria de Android
En el instituto era muy malo en matemáticas, pero gracias a la app, ahora saco mejores notas. Os agradezco mucho que hayáis creado la aplicación.
Roberto
usuario de Android
Esto no es como Chatgpt, es MUCHISMO MEJOR, te hace unos resúmenes espectaculares y gracias a esta app pase de sacar 5-6 a sacar 8-9.
Julyana
usuaria de Android
Es la mejor aplicación del mundo, la uso para revisar los deberes a mi hijo.
Javier
usuario de Android
LOS QUIZ Y FLASHCARDS SON SÚPER ÚTILES Y ME ENCANTA Knowunity IA. ADEMÁS ES LITERALMENTE COMO CHATGPT PERO MÁS LISTO!! ME AYUDÓ TAMBIÉN CON MIS PROBLEMAS DE MÁSCARA!! Y CON MIS ASIGNATURAS DE VERDAD! OBVIO 😍😁😲🤑💗✨🎀😮
Erick
usuario de Android
Me me encanta esta app, todo lo que tiene es de calidad ya que antes de ser publicado es revisado por un equipo de profesionales. Me ha ido genial esta aplicación ya que gracias a ella puedo estudiar mucho mejor, sin tener que agobiarme porque mi profesor no ha hecho teoría o porque no entiendo su teoría. Le doy un 10 de 10!
Mar
usuaria de iOS
Angela Barrionuevo
@angelabc_
Los radicales y logaritmos son herramientas matemáticas fundamentales que necesitas dominar para resolver ecuaciones complejas y simplificar expresiones. Estas operaciones te permitirán trabajar con potencias fraccionarias y resolver problemas de crecimiento exponencial de forma eficiente.

Acceso a todos los documentos
Mejora tus notas
Únete a millones de estudiantes
¿Sabías que multiplicar radicales es más fácil de lo que parece? Cuando multiplicas radicales del mismo índice, simplemente multiplicas lo que está dentro de las raíces y mantienes el radical.
Para dividir radicales, aplicas el mismo principio pero con división. Por ejemplo, √16 : √2 = √8 = 2. La clave está en simplificar siempre el resultado final extrayendo todos los factores posibles.
Cuando trabajas con potencias bajo radicales, recuerda que √ = √. Esta propiedad te ahorrará mucho tiempo en los exámenes. También puedes extraer factores cuando el exponente es mayor o igual al índice de la raíz.
Truco útil: Siempre busca factores perfectos (como 4, 9, 16...) para extraer de la raíz y simplificar tu resultado.

Acceso a todos los documentos
Mejora tus notas
Únete a millones de estudiantes
La suma y resta de radicales solo es posible cuando tienes radicales semejantes (mismo índice y mismo radicando). Es como sumar manzanas: 3√2 + 5√2 = 8√2, pero 3√2 + 5√3 no se puede simplificar más.
Para sumar radicales que parecen diferentes, primero extrae todos los factores posibles. Por ejemplo, √8 + √18 = 2√2 + 3√2 = 5√2. Este paso es crucial para identificar términos semejantes.
La racionalización elimina radicales del denominador de las fracciones. Para denominadores simples como √2, multiplicas por √2/√2. Para denominadores con sumas como (√3 + √5), usas el conjugado: multiplicas por (√3 - √5)/(√3 - √5).
Consejo de examen: La racionalización siempre da un resultado "más limpio" y es lo que esperan los profesores en las respuestas finales.

Acceso a todos los documentos
Mejora tus notas
Únete a millones de estudiantes
Trabajar con radicales anidados como √√√2³ puede parecer intimidante, pero hay un truco: convierte todo a exponentes fraccionarios. √√√2³ = 2^(3/8), mucho más manejable.
Cuando combines radicales con coeficientes, como 5√6, puedes expresarlo como un único radical: √(5² × 6) = √150. Esta técnica es especialmente útil para verificar respuestas o cuando necesitas una forma específica.
Para las operaciones complejas, agrupa términos semejantes primero. En expresiones como 3√2 - 7√2 + 4√2, el resultado es simplemente 0√2 = 0. No te compliques buscando factores cuando ya tienes términos iguales.
La racionalización con denominadores complejos requiere identificar el conjugado correctamente. Para 2√3 - √2, el conjugado es 2√3 + √2, y al multiplicar obtienes (2√3)² - (√2)² = 12 - 2 = 10.

Acceso a todos los documentos
Mejora tus notas
Únete a millones de estudiantes
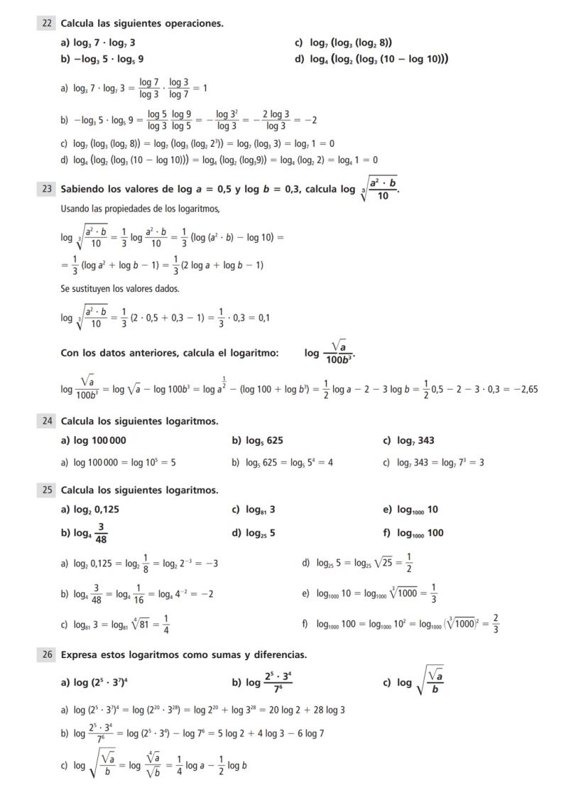
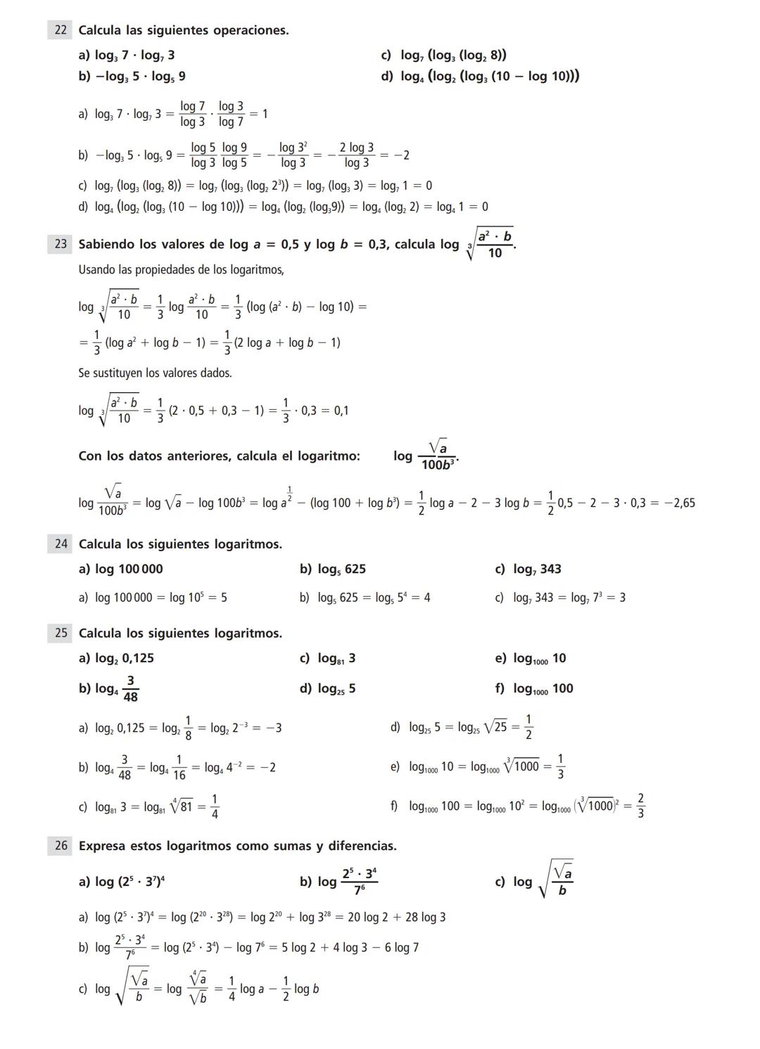
Los logaritmos son la operación inversa de las potencias, y una vez que entiendas esto, todo será más fácil. Si 10³ = 1000, entonces log 1000 = 3. Es como preguntarse: "¿a qué potencia debo elevar 10 para obtener 1000?"
Las propiedades fundamentales son tus mejores aliadas: log(a × b) = log a + log b, log = log a - log b, y log(aⁿ) = n × log a. Estas reglas te permiten descomponer logaritmos complicados en operaciones simples.
Para calcular logaritmos como log₂ 256, busca la potencia: 256 = 2⁸, por tanto log₂ 256 = 8. Con logaritmos negativos como log₂ 0,25, recuerda que 0,25 = 1/4 = 2⁻², así que la respuesta es -2.
Dato importante: Los logaritmos decimales (base 10) se escriben simplemente como "log", mientras que otros necesitan especificar la base como subíndice.

Acceso a todos los documentos
Mejora tus notas
Únete a millones de estudiantes
Usando valores conocidos como log 2 = 0,301 y log 3 = 0,477, puedes calcular muchos otros logaritmos. Para log 24, descompones: 24 = 2³ × 3, entonces log 24 = 3 log 2 + log 3 = 1,38.
El cambio de base es esencial cuando trabajas con logaritmos de bases diferentes. La fórmula log_a b = log b / log a te permite convertir cualquier logaritmo a base 10 (más fácil de calcular).
Para logaritmos como log 5, usa la relación 5 = 10/2, entonces log 5 = log 10 - log 2 = 1 - 0,301 = 0,699. Esta técnica de descomposición es fundamental para resolver problemas sin calculadora.
Los logaritmos de fracciones decimales dan resultados negativos. Por ejemplo, log 0,001 = log 10⁻³ = -3. Recuerda que estás buscando la potencia que hace que 10ˣ = 0,001.
Estrategia de estudio: Memoriza log 2 ≈ 0,3 y log 3 ≈ 0,48, te servirán para calcular muchos otros valores.

Acceso a todos los documentos
Mejora tus notas
Únete a millones de estudiantes
Las operaciones combinadas con logaritmos requieren aplicar las propiedades en el orden correcto. Para expresiones como log₃ 7 × log₇ 3, usa el cambio de base: el resultado siempre es 1 cuando las bases se "cancelan" de esta forma.
Los logaritmos anidados como log₂(log₂(log₂ 8)) se resuelven desde dentro hacia fuera: primero log₂ 8 = 3, luego log₂ 3 ≈ 1,58, y finalmente log₂ 1,58. Mantén la calma y trabaja paso a paso.
Para expresar logaritmos como sumas y diferencias, descompone el argumento completamente. Por ejemplo, log(2⁵ × 3⁴/7⁶) = 5 log 2 + 4 log 3 - 6 log 7. Esta forma es mucho más fácil para calcular valores aproximados.
Cuando trabajas con raíces dentro de logaritmos, recuerda que log √ = ½ log a - ½ log b. Las raíces se convierten en exponentes fraccionarios, simplificando mucho el cálculo.
Técnica profesional: Siempre expresa los resultados en su forma más simple, extrayendo factores comunes y racionalizando denominadores cuando sea necesario.
Nuestro compañero de IA está específicamente adaptado a las necesidades de los estudiantes. Basándonos en los millones de contenidos que tenemos en la plataforma, podemos dar a los estudiantes respuestas realmente significativas y relevantes. Pero no se trata solo de respuestas, el compañero también guía a los estudiantes a través de sus retos de aprendizaje diarios, con planes de aprendizaje personalizados, cuestionarios o contenidos en el chat y una personalización del 100% basada en las habilidades y el desarrollo de los estudiantes.
Puedes descargar la app en Google Play Store y Apple App Store.
Sí, tienes acceso gratuito a los contenidos de la aplicación y a nuestro compañero de IA. Para desbloquear determinadas funciones de la aplicación, puedes adquirir Knowunity Pro.
8
Herramientas Inteligentes NUEVO
Transforma estos apuntes en: ✓ 50+ Preguntas de Práctica ✓ Flashcards Interactivas ✓ Examen Completo de Práctica ✓ Esquemas de Ensayo
Sintexis de Lengua Castellana. Incluye las oraciones simples, los complementos y todas las oraciones compuestas
App Store
Google Play
La app es muy fácil de usar y está muy bien diseñada. Hasta ahora he encontrado todo lo que estaba buscando y he podido aprender mucho de las presentaciones. Definitivamente utilizaré la aplicación para un examen de clase. Y, por supuesto, también me sirve mucho de inspiración.
Pablo
usuario de iOS
Esta app es realmente genial. Hay tantos apuntes de clase y ayuda [...]. Tengo problemas con matemáticas, por ejemplo, y la aplicación tiene muchas opciones de ayuda. Gracias a Knowunity, he mejorado en mates. Se la recomiendo a todo el mundo.
Elena
usuaria de Android
Vaya, estoy realmente sorprendida. Acabo de probar la app porque la he visto anunciada muchas veces y me he quedado absolutamente alucinada. Esta app es LA AYUDA que quieres para el insti y, sobre todo, ofrece muchísimas cosas, como ejercicios y hojas informativas, que a mí personalmente me han sido MUY útiles.
Ana
usuaria de iOS
Está app es muy buena, tiene apuntes que son de mucha ayuda y su IA es fantástica, te explica a la perfección y muy fácil de entender lo que necesites, te ayuda con los deberes, te hace esquemas... en definitiva es una muy buena opción!
Sophia
usuario de Android
Me encanta!!! Me resuelve todo con detalle y me da la explicación correcta. Tiene un montón de funciones, ami me ha ido genial!! Os la recomiendo!!!
Marta
usuaria de Android
La uso casi diariamente, sirve para todas las asignaturas. Yo, por ejemplo la utilizo más en inglés porque se me da bastante mal, ¡Todas las respuestas están correctas! Consta con personas reales que suben sus apuntes y IA para que puedas hacer los deberes muchísimo más fácil, la recomiendo.
Izan
usuario de iOS
¡La app es buenísima! Sólo tengo que introducir el tema en la barra de búsqueda y recibo la respuesta muy rápido. No tengo que ver 10 vídeos de YouTube para entender algo, así que me ahorro tiempo. ¡Muy recomendable!
Sara
usuaria de Android
En el instituto era muy malo en matemáticas, pero gracias a la app, ahora saco mejores notas. Os agradezco mucho que hayáis creado la aplicación.
Roberto
usuario de Android
Esto no es como Chatgpt, es MUCHISMO MEJOR, te hace unos resúmenes espectaculares y gracias a esta app pase de sacar 5-6 a sacar 8-9.
Julyana
usuaria de Android
Es la mejor aplicación del mundo, la uso para revisar los deberes a mi hijo.
Javier
usuario de Android
LOS QUIZ Y FLASHCARDS SON SÚPER ÚTILES Y ME ENCANTA Knowunity IA. ADEMÁS ES LITERALMENTE COMO CHATGPT PERO MÁS LISTO!! ME AYUDÓ TAMBIÉN CON MIS PROBLEMAS DE MÁSCARA!! Y CON MIS ASIGNATURAS DE VERDAD! OBVIO 😍😁😲🤑💗✨🎀😮
Erick
usuario de Android
Me me encanta esta app, todo lo que tiene es de calidad ya que antes de ser publicado es revisado por un equipo de profesionales. Me ha ido genial esta aplicación ya que gracias a ella puedo estudiar mucho mejor, sin tener que agobiarme porque mi profesor no ha hecho teoría o porque no entiendo su teoría. Le doy un 10 de 10!
Mar
usuaria de iOS
La app es muy fácil de usar y está muy bien diseñada. Hasta ahora he encontrado todo lo que estaba buscando y he podido aprender mucho de las presentaciones. Definitivamente utilizaré la aplicación para un examen de clase. Y, por supuesto, también me sirve mucho de inspiración.
Pablo
usuario de iOS
Esta app es realmente genial. Hay tantos apuntes de clase y ayuda [...]. Tengo problemas con matemáticas, por ejemplo, y la aplicación tiene muchas opciones de ayuda. Gracias a Knowunity, he mejorado en mates. Se la recomiendo a todo el mundo.
Elena
usuaria de Android
Vaya, estoy realmente sorprendida. Acabo de probar la app porque la he visto anunciada muchas veces y me he quedado absolutamente alucinada. Esta app es LA AYUDA que quieres para el insti y, sobre todo, ofrece muchísimas cosas, como ejercicios y hojas informativas, que a mí personalmente me han sido MUY útiles.
Ana
usuaria de iOS
Está app es muy buena, tiene apuntes que son de mucha ayuda y su IA es fantástica, te explica a la perfección y muy fácil de entender lo que necesites, te ayuda con los deberes, te hace esquemas... en definitiva es una muy buena opción!
Sophia
usuario de Android
Me encanta!!! Me resuelve todo con detalle y me da la explicación correcta. Tiene un montón de funciones, ami me ha ido genial!! Os la recomiendo!!!
Marta
usuaria de Android
La uso casi diariamente, sirve para todas las asignaturas. Yo, por ejemplo la utilizo más en inglés porque se me da bastante mal, ¡Todas las respuestas están correctas! Consta con personas reales que suben sus apuntes y IA para que puedas hacer los deberes muchísimo más fácil, la recomiendo.
Izan
usuario de iOS
¡La app es buenísima! Sólo tengo que introducir el tema en la barra de búsqueda y recibo la respuesta muy rápido. No tengo que ver 10 vídeos de YouTube para entender algo, así que me ahorro tiempo. ¡Muy recomendable!
Sara
usuaria de Android
En el instituto era muy malo en matemáticas, pero gracias a la app, ahora saco mejores notas. Os agradezco mucho que hayáis creado la aplicación.
Roberto
usuario de Android
Esto no es como Chatgpt, es MUCHISMO MEJOR, te hace unos resúmenes espectaculares y gracias a esta app pase de sacar 5-6 a sacar 8-9.
Julyana
usuaria de Android
Es la mejor aplicación del mundo, la uso para revisar los deberes a mi hijo.
Javier
usuario de Android
LOS QUIZ Y FLASHCARDS SON SÚPER ÚTILES Y ME ENCANTA Knowunity IA. ADEMÁS ES LITERALMENTE COMO CHATGPT PERO MÁS LISTO!! ME AYUDÓ TAMBIÉN CON MIS PROBLEMAS DE MÁSCARA!! Y CON MIS ASIGNATURAS DE VERDAD! OBVIO 😍😁😲🤑💗✨🎀😮
Erick
usuario de Android
Me me encanta esta app, todo lo que tiene es de calidad ya que antes de ser publicado es revisado por un equipo de profesionales. Me ha ido genial esta aplicación ya que gracias a ella puedo estudiar mucho mejor, sin tener que agobiarme porque mi profesor no ha hecho teoría o porque no entiendo su teoría. Le doy un 10 de 10!
Mar
usuaria de iOS