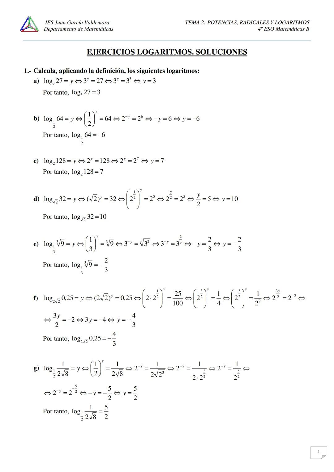
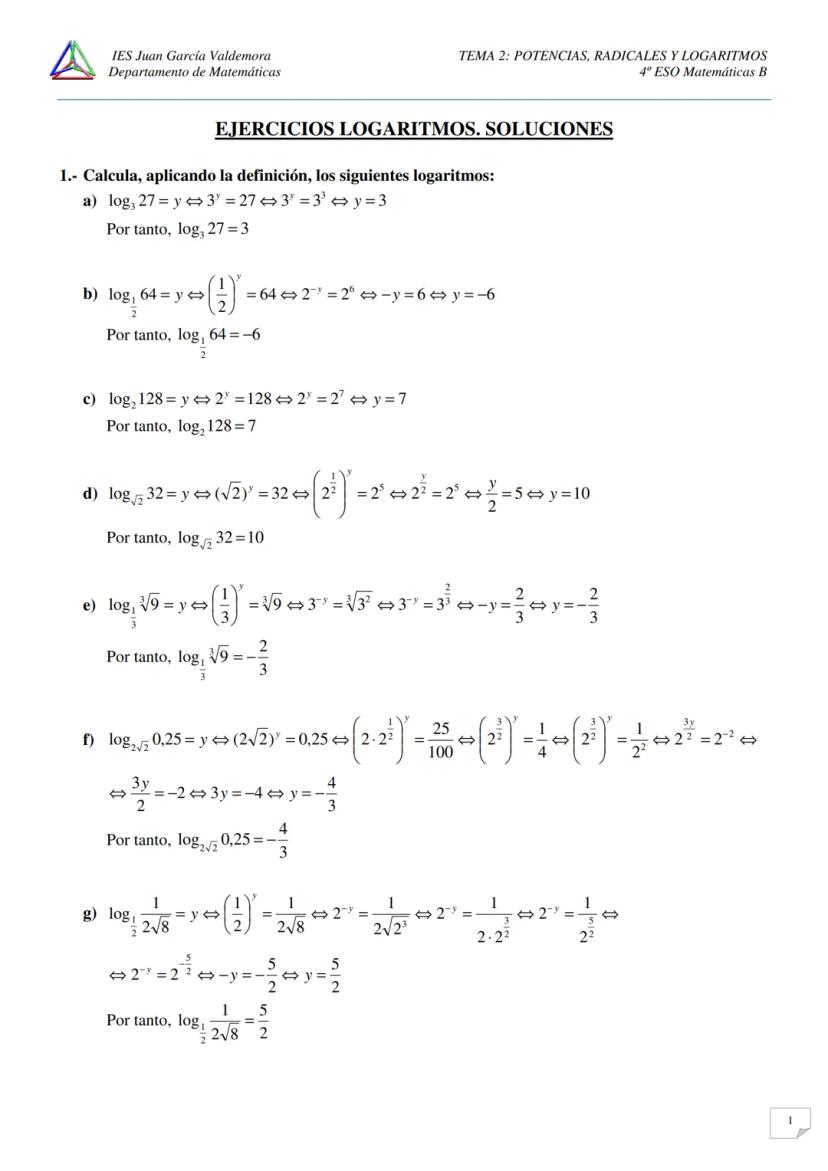
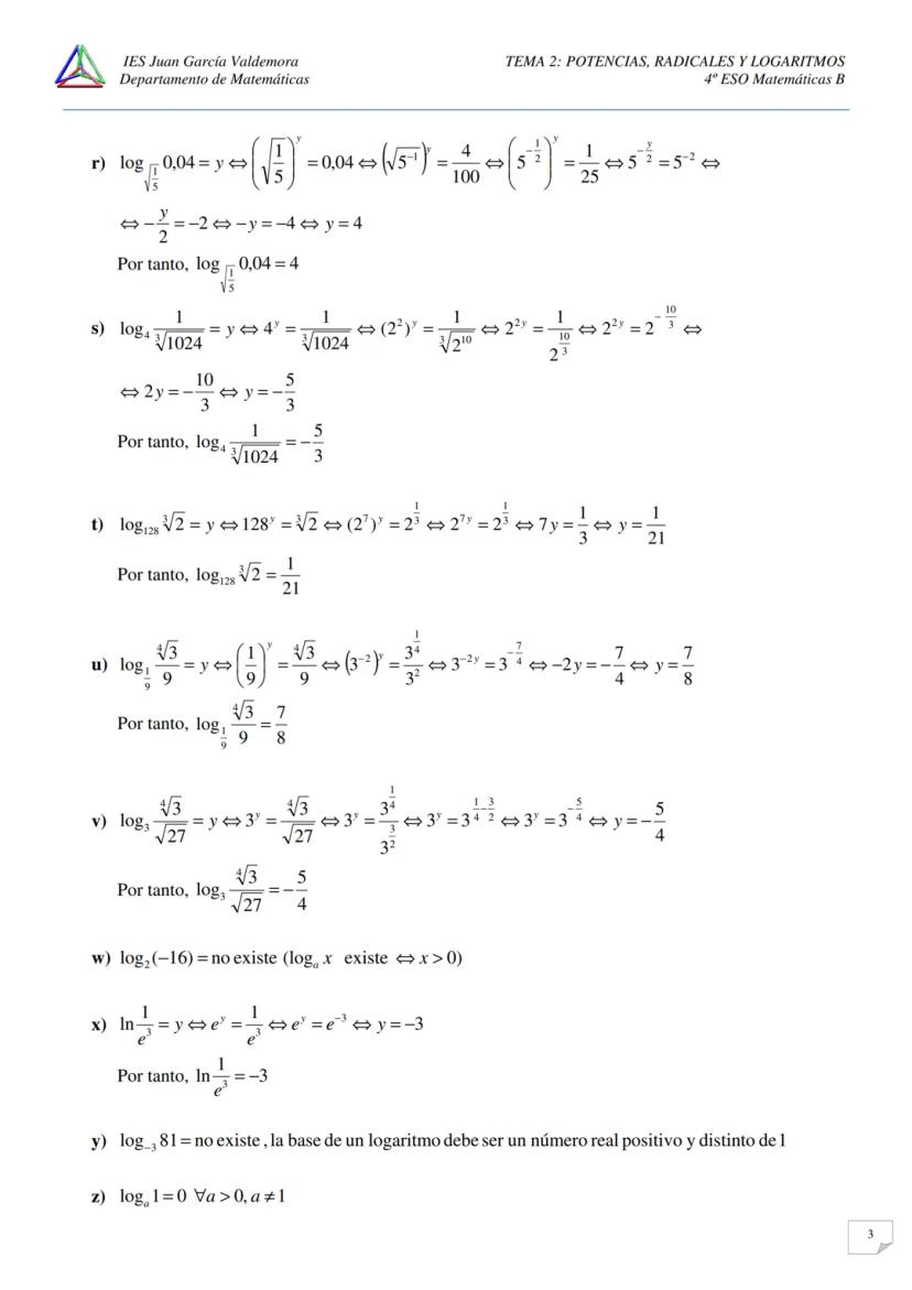
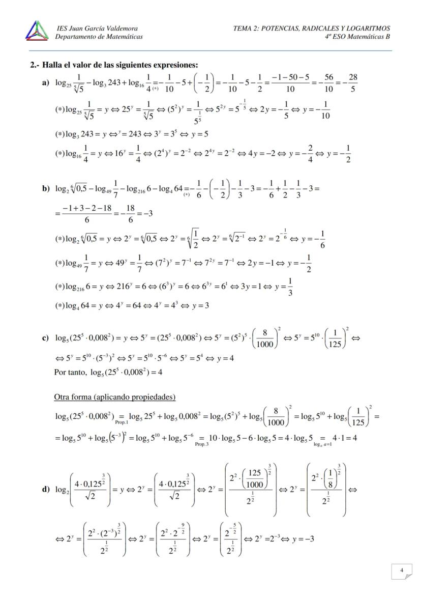
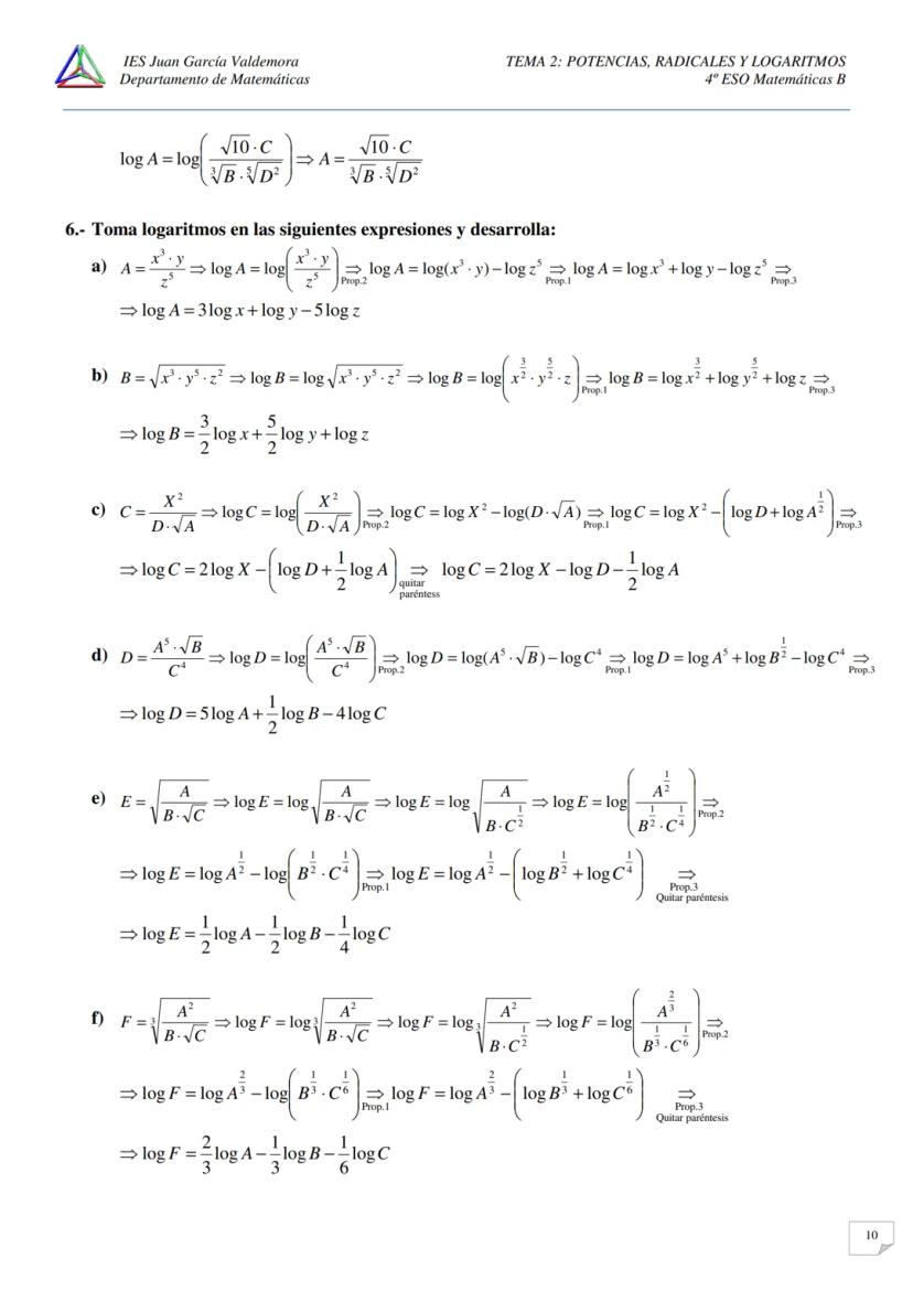
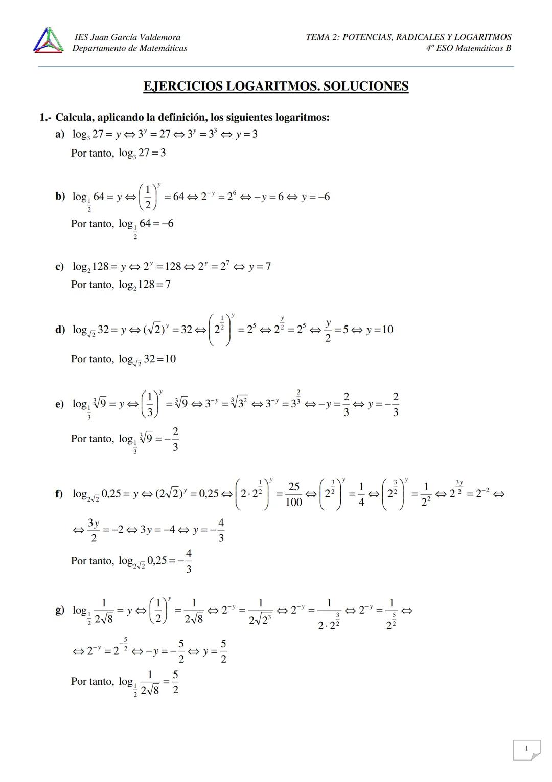
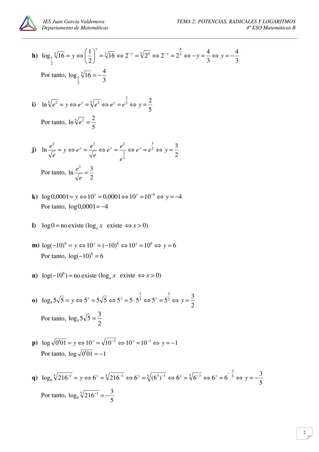
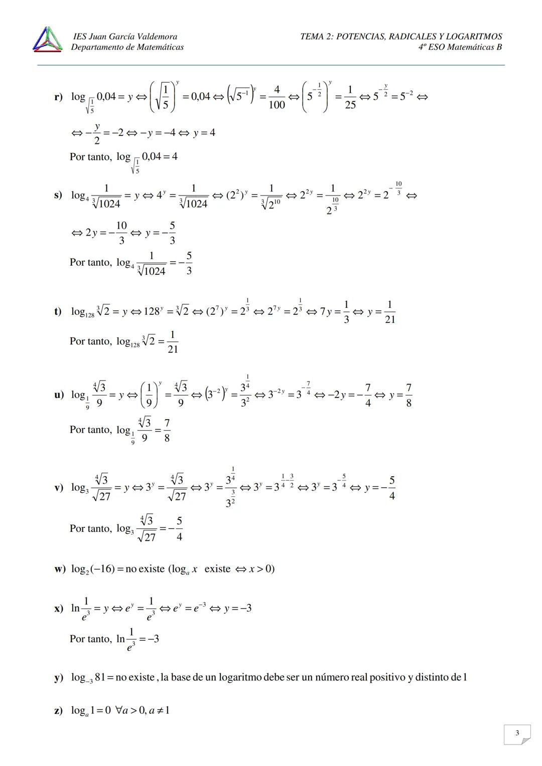
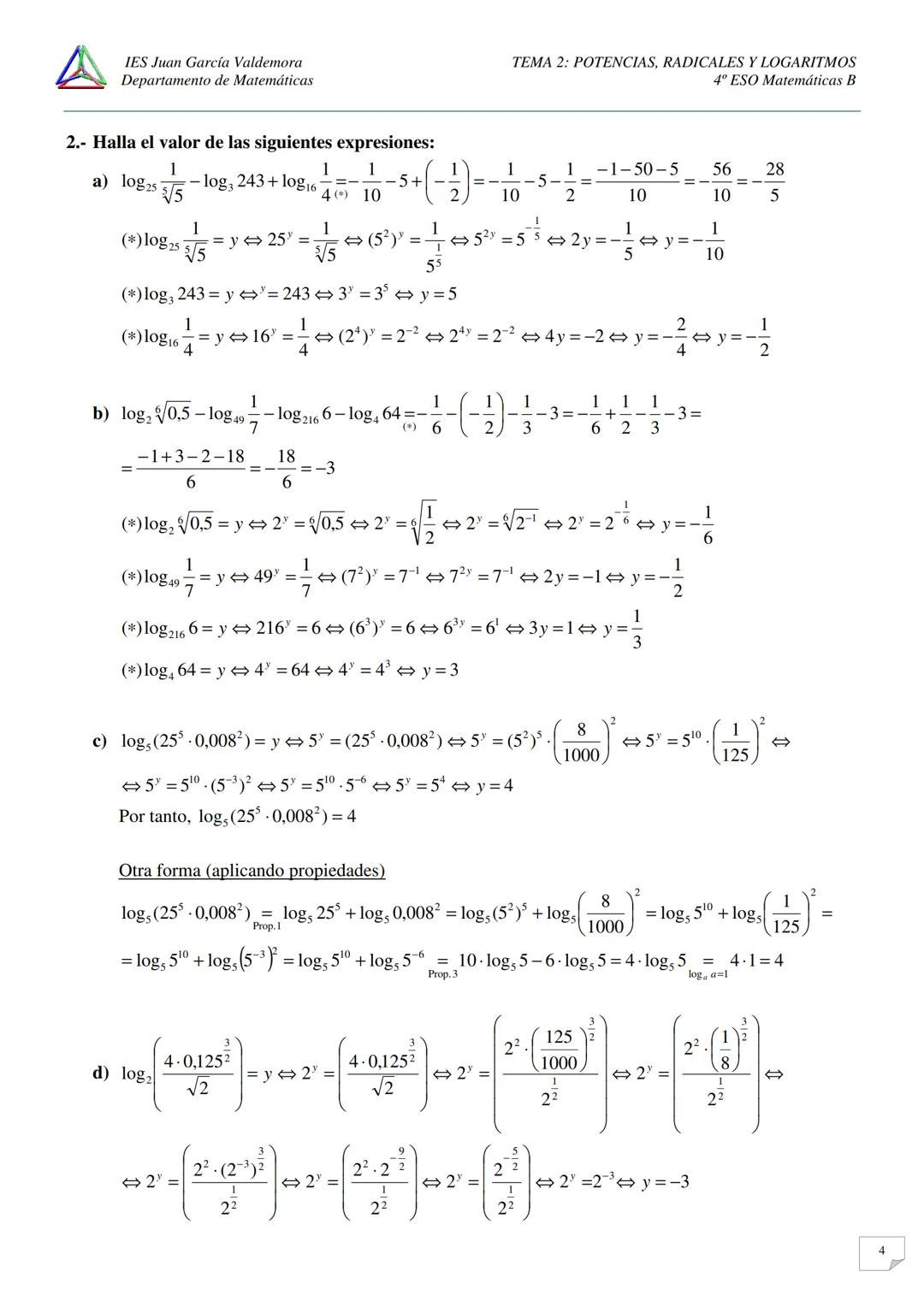
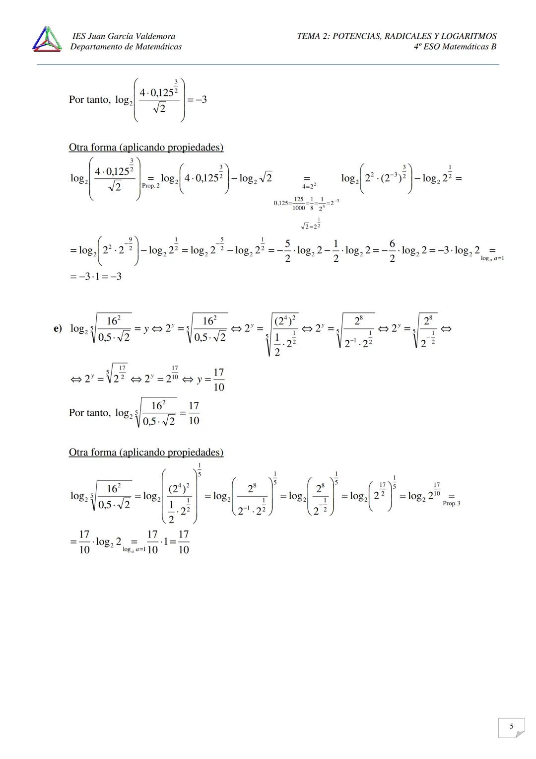
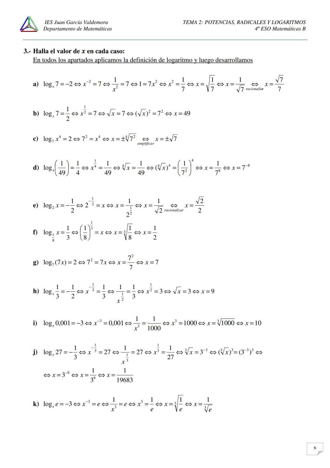
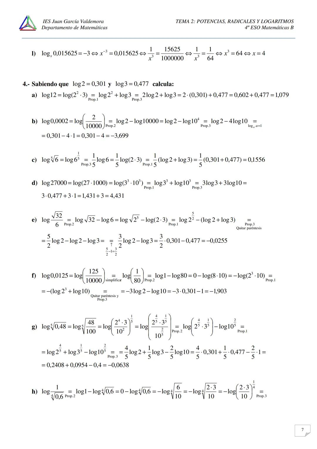
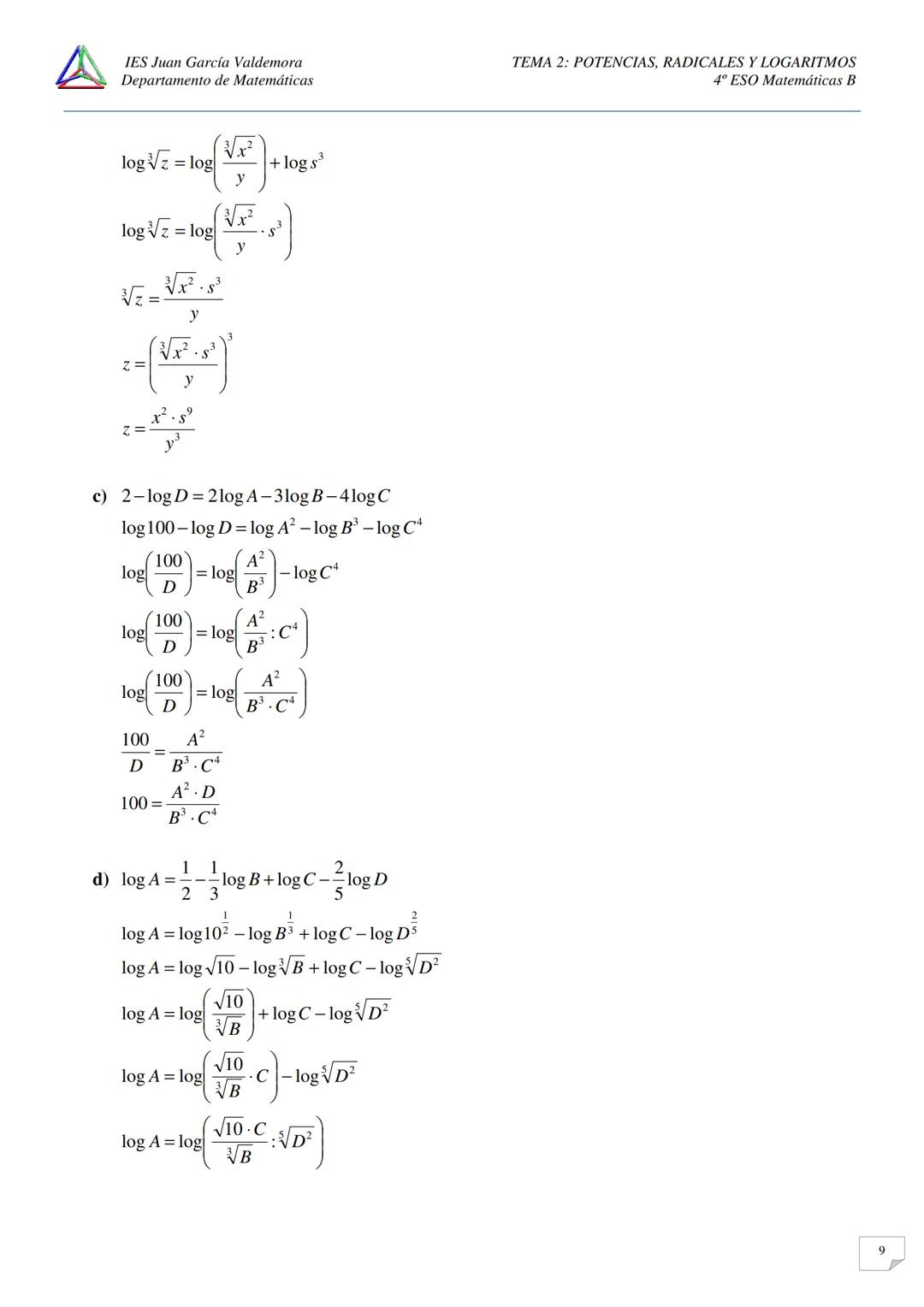
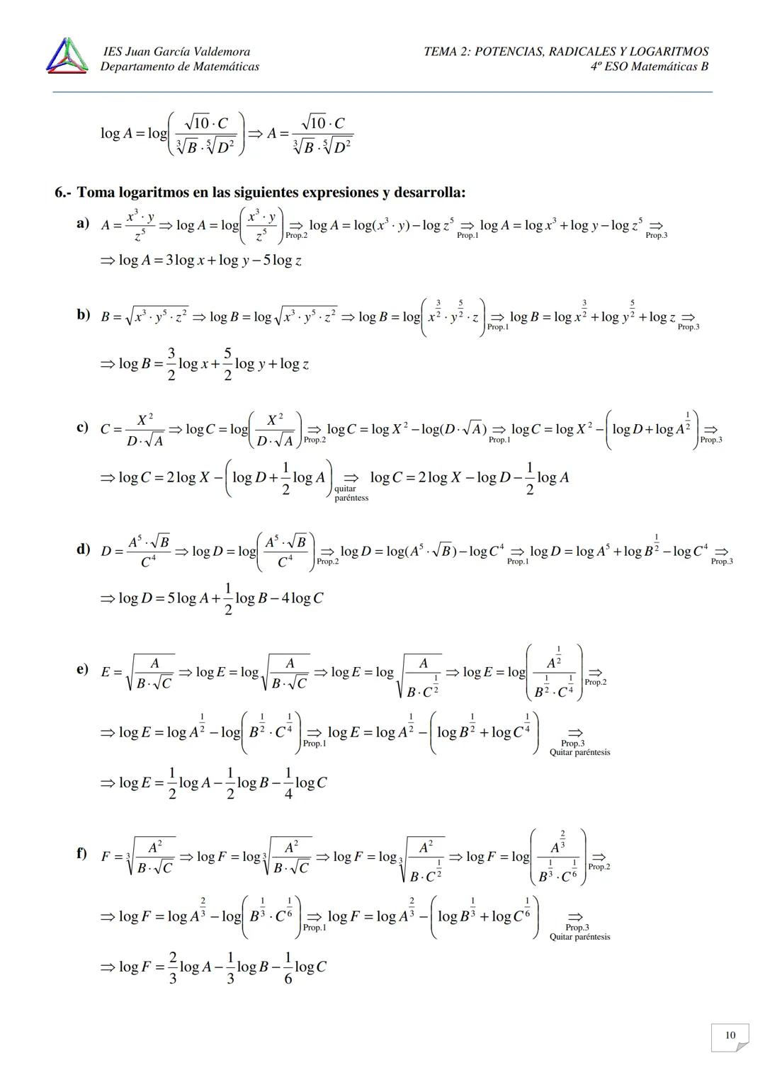
En este documento tienes varios ejemplos sobre logaritmos con sus soluciones,sirven para practicar para algún examen.
Inscríbete para ver los apuntes¡Es gratis!
Acceso a todos los documentos
Mejora tus notas
Únete a millones de estudiantes
Al registrarte aceptas las Condiciones del servicio y la Política de privacidad.




















