¿Te suenan las letras mezcladas con números? Eso es el ... Mostrar más
Inscríbete para ver los apuntes¡Es gratis!
Acceso a todos los documentos
Mejora tus notas
Únete a millones de estudiantes
Knowunity AI
Asignaturas
Triangle Congruence and Similarity Theorems
Triangle Properties and Classification
Linear Equations and Graphs
Geometric Angle Relationships
Trigonometric Functions and Identities
Equation Solving Techniques
Circle Geometry Fundamentals
Division Operations and Methods
Basic Differentiation Rules
Exponent and Logarithm Properties
Mostrar todos los temas
Human Organ Systems
Reproductive Cell Cycles
Biological Sciences Subdisciplines
Cellular Energy Metabolism
Autotrophic Energy Processes
Inheritance Patterns and Principles
Biomolecular Structure and Organization
Cell Cycle and Division Mechanics
Cellular Organization and Development
Biological Structural Organization
Mostrar todos los temas
Chemical Sciences and Applications
Atomic Structure and Composition
Molecular Electron Structure Representation
Atomic Electron Behavior
Matter Properties and Water
Mole Concept and Calculations
Gas Laws and Behavior
Periodic Table Organization
Chemical Thermodynamics Fundamentals
Chemical Bond Types and Properties
Mostrar todos los temas
European Renaissance and Enlightenment
European Cultural Movements 800-1920
American Revolution Era 1763-1797
American Civil War 1861-1865
Global Imperial Systems
Mongol and Chinese Dynasties
U.S. Presidents and World Leaders
Historical Sources and Documentation
World Wars Era and Impact
World Religious Systems
Mostrar todos los temas
Classic and Contemporary Novels
Literary Character Analysis
Rhetorical Theory and Practice
Classic Literary Narratives
Reading Analysis and Interpretation
Narrative Structure and Techniques
English Language Components
Influential English-Language Authors
Basic Sentence Structure
Narrative Voice and Perspective
Mostrar todos los temas
376
•
Actualizado Apr 1, 2026
•
NP
@..np..
¿Te suenan las letras mezcladas con números? Eso es el ... Mostrar más










¿Sabías que puedes traducir cualquier frase del lenguaje común al lenguaje matemático? Es como aprender un nuevo idioma, pero mucho más fácil.
Una expresión algebraica es simplemente una forma de escribir con letras y números lo que dices con palabras. Por ejemplo, "el triple de un número" se escribe como 3x, donde x es tu número misterioso.
Los monomios son expresiones algebraicas de una sola pieza, como 5x² o -3xy. Tienen tres partes importantes: el coeficiente (el número de delante), la parte literal (las letras) y el grado (la suma de los exponentes).
¡Dato curioso! El grado te dice qué tan "potente" es tu monomio. Cuanto mayor sea el grado, más rápido crece el valor cuando aumentas x.
Para operar con monomios, solo puedes sumar o restar los que son semejantes (misma parte literal). Es como sumar manzanas con manzanas: 3x + 5x = 8x, pero no puedes sumar 3x + 5y directamente.

Multiplicar y dividir monomios es más fácil de lo que parece. Solo tienes que recordar las reglas de las potencias: cuando multiplicas, sumas los exponentes, y cuando divides, los restas.
Para la multiplicación: (3x²)(5x³) = 15x⁵. Los coeficientes se multiplican (3 × 5 = 15) y los exponentes se suman (2 + 3 = 5).
Los polinomios son como familias de monomios que viven juntos. El grado del polinomio es el exponente más alto que encuentres. Para sumar polinomios, agrupas términos semejantes como si fueras organizando por colores.
¡Truco ninja! Cuando calcules el valor numérico de un polinomio, sustituye la variable por el número dado y calcula paso a paso. P(2) significa que x = 2.
El factor común es tu mejor amigo para simplificar. Es como encontrar qué tienen en común todos los términos para sacarlo fuera del paréntesis.

Los productos notables son fórmulas mágicas que te ahorran mucho tiempo. Son patrones que se repiten constantemente y que debes memorizar como una canción.
Los tres productos notables básicos son:
La factorización es el proceso inverso: partir una expresión en factores más simples. Es como desarmar un puzzle para ver las piezas originales.
¡Consejo de oro! Siempre busca primero el factor común antes de aplicar productos notables. Te simplificará muchísimo el trabajo.
Cuando factorices, pregúntate: "¿Qué tienen todos estos términos en común?" Puede ser un número, una letra, o ambos. Sacarlo fuera es como quitar el denominador común en las fracciones.

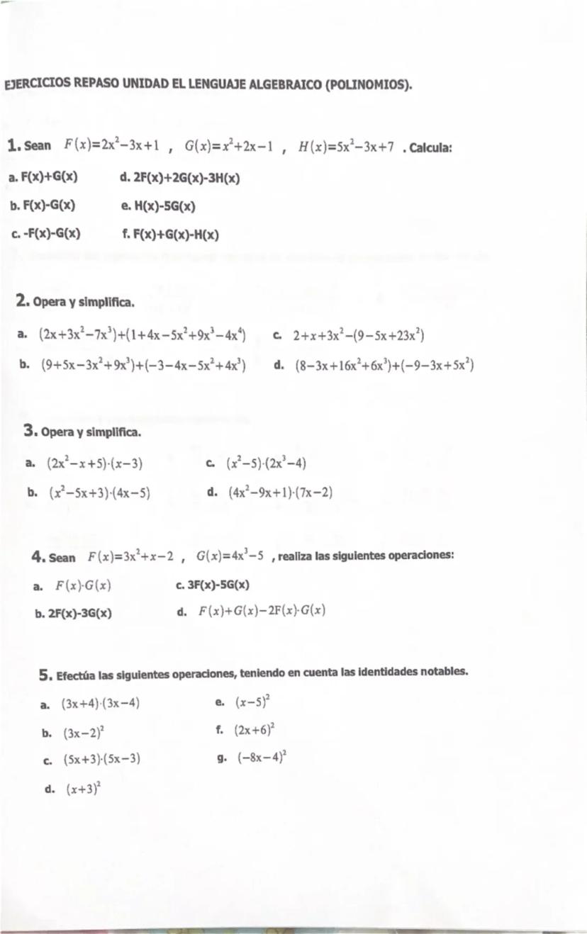
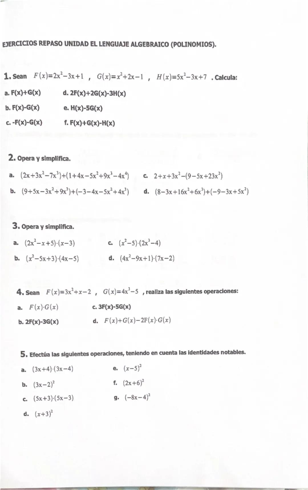
Ahora que controlas lo básico, es hora de hacer operaciones más complejas. Sumar y restar polinomios es como reorganizar tu habitación: cada cosa en su lugar.
Cuando multipliques polinomios, usa la propiedad distributiva: cada término del primer polinomio debe multiplicarse por cada término del segundo. Es trabajo de hormiga, pero sistemático.
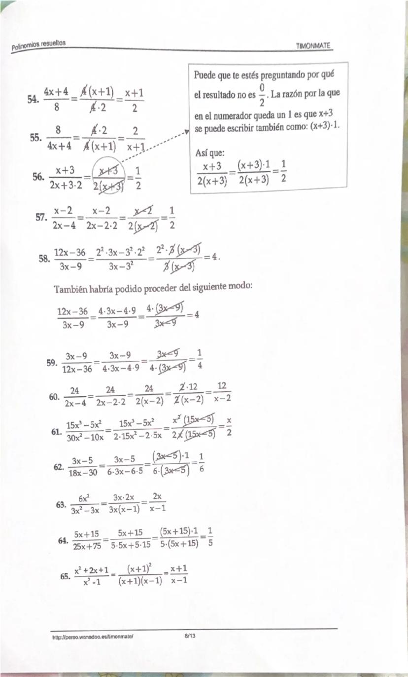
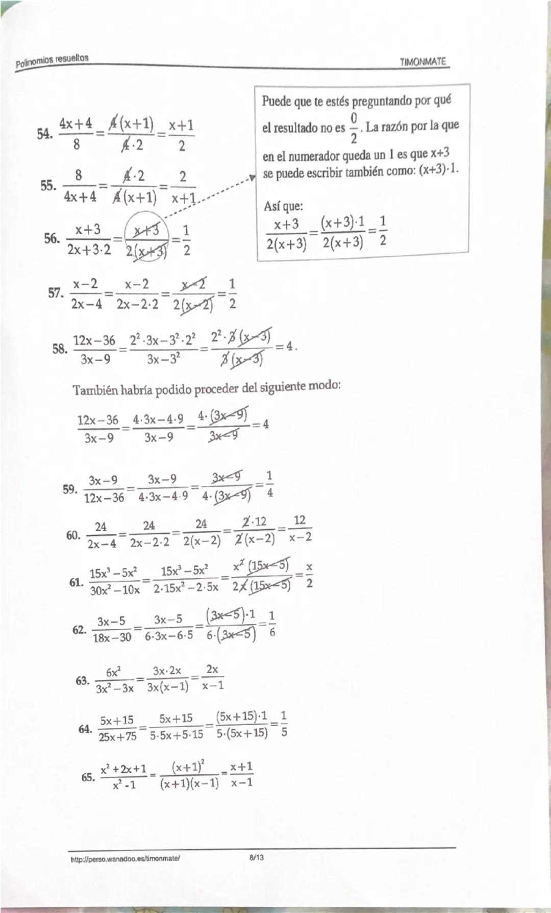
Para las fracciones algebraicas, aplica las mismas reglas que con fracciones numéricas. Puedes simplificar sacando factor común tanto en numerador como denominador.
¡Atención! Las fracciones algebraicas se simplifican igual que las numéricas: divide arriba y abajo por el mismo factor.
Recuerda que no puedes dividir por cero, así que siempre ten cuidado con los valores que pueden hacer cero el denominador. Estos valores se llaman "restricciones" del dominio.

Las fracciones algebraicas son como las fracciones normales, pero con letras. La clave está en factorizar numerador y denominador para encontrar términos comunes que puedas cancelar.
Para sumar fracciones algebraicas, necesitas encontrar el denominador común. Es exactamente igual que con fracciones numéricas: busca el mínimo común múltiplo de los denominadores.
La extracción de factor común es tu herramienta más poderosa. Siempre busca qué pueden compartir todos los términos: números, letras, o expresiones completas entre paréntesis.
¡Método infalible! Para simplificar fracciones algebraicas: 1) Factoriza numerador y denominador, 2) Cancela factores comunes, 3) Multiplica lo que quede.
Cuando tengas expresiones del tipo a + b, puedes sacar como factor común y quedarte con . Es como encontrar el patrón oculto en la expresión.

Vamos a ver ejemplos concretos para que todo cobre sentido. Con monomios semejantes, solo sumas o restas coeficientes: 3x + 2x = 5x, pero las partes literales deben ser idénticas.
Para multiplicar potencias de la misma base, sumas exponentes: x³ · x² = x⁵. Para dividir, restas exponentes: x⁷ ÷ x⁴ = x³.
Cuando multipliques un monomio por un polinomio, distribuye el monomio a cada término: 5x = 5x³ + 5x² - 10x.
¡Práctica perfecta! La multiplicación de polinomios requiere paciencia: cada término del primero por cada término del segundo, sin olvidar ninguno.
El producto se resuelve así: 3x(5x) + 3x(2) + 1(5x) + 1(2) = 15x² + 6x + 5x + 2 = 15x² + 11x + 2. ¡Sistemático y sin prisa!

Los productos notables con radicales siguen las mismas reglas, solo que con más cuidado en los cálculos. ² = x² + 2√27x + 27.
Para casos con fracciones dentro de radicales, como , recuerda que el cuadrado elimina la raíz: queda x/3.
La factorización por agrupación es útil cuando tienes cuatro o más términos. Agrupa de dos en dos y busca factores comunes en cada grupo.
¡Estrategia inteligente! Si tienes ab² - a²b, saca primero ab: ab. Siempre busca el factor común más grande posible.
Expresiones como 3x² + 6x² - 18x se pueden factorizar como 3x. Primero saca el factor común numérico y literal, luego trabaja con lo que queda en el paréntesis.

La simplificación de fracciones algebraicas es como limpiar una ecuación: quitas lo innecesario para que quede más clara. La clave está en factorizar correctamente.
Para , saca factor común del numerador: . Siempre busca factores comunes entre numerador y denominador.
Casos como se simplifican factorizando el denominador: . El factor se cancela arriba y abajo.
¡Técnica profesional! Antes de simplificar, factoriza completamente numerador y denominador. Solo entonces cancela factores idénticos.
Con expresiones cuadráticas como , reconoce productos notables: . Los patrones te ahorran mucho trabajo.

Los casos más complejos requieren paciencia y método. Para , saca factores comunes en numerador y denominador por separado.
Numerador: 15x³ - 5x² = 5x². Denominador: 30x² - 10x = 10x. Resultado: .
Las fracciones con términos repetidos se simplifican fácilmente: .
¡Método maestro! Siempre verifica tu respuesta sustituyendo valores. Si das el mismo resultado antes y después de simplificar, vas bien.
Para expresiones como , factoriza el denominador: . La práctica hace que estos patrones se vuelvan automáticos.
Nuestro compañero de IA está específicamente adaptado a las necesidades de los estudiantes. Basándonos en los millones de contenidos que tenemos en la plataforma, podemos dar a los estudiantes respuestas realmente significativas y relevantes. Pero no se trata solo de respuestas, el compañero también guía a los estudiantes a través de sus retos de aprendizaje diarios, con planes de aprendizaje personalizados, cuestionarios o contenidos en el chat y una personalización del 100% basada en las habilidades y el desarrollo de los estudiantes.
Puedes descargar la app en Google Play Store y Apple App Store.
Sí, tienes acceso gratuito a los contenidos de la aplicación y a nuestro compañero de IA. Para desbloquear determinadas funciones de la aplicación, puedes adquirir Knowunity Pro.
Sintexis de Lengua Castellana. Incluye las oraciones simples, los complementos y todas las oraciones compuestas
App Store
Google Play
La app es muy fácil de usar y está muy bien diseñada. Hasta ahora he encontrado todo lo que estaba buscando y he podido aprender mucho de las presentaciones. Definitivamente utilizaré la aplicación para un examen de clase. Y, por supuesto, también me sirve mucho de inspiración.
Pablo
usuario de iOS
Esta app es realmente genial. Hay tantos apuntes de clase y ayuda [...]. Tengo problemas con matemáticas, por ejemplo, y la aplicación tiene muchas opciones de ayuda. Gracias a Knowunity, he mejorado en mates. Se la recomiendo a todo el mundo.
Elena
usuaria de Android
Vaya, estoy realmente sorprendida. Acabo de probar la app porque la he visto anunciada muchas veces y me he quedado absolutamente alucinada. Esta app es LA AYUDA que quieres para el insti y, sobre todo, ofrece muchísimas cosas, como ejercicios y hojas informativas, que a mí personalmente me han sido MUY útiles.
Ana
usuaria de iOS
Está app es muy buena, tiene apuntes que son de mucha ayuda y su IA es fantástica, te explica a la perfección y muy fácil de entender lo que necesites, te ayuda con los deberes, te hace esquemas... en definitiva es una muy buena opción!
Sophia
usuario de Android
Me encanta!!! Me resuelve todo con detalle y me da la explicación correcta. Tiene un montón de funciones, ami me ha ido genial!! Os la recomiendo!!!
Marta
usuaria de Android
La uso casi diariamente, sirve para todas las asignaturas. Yo, por ejemplo la utilizo más en inglés porque se me da bastante mal, ¡Todas las respuestas están correctas! Consta con personas reales que suben sus apuntes y IA para que puedas hacer los deberes muchísimo más fácil, la recomiendo.
Izan
usuario de iOS
¡La app es buenísima! Sólo tengo que introducir el tema en la barra de búsqueda y recibo la respuesta muy rápido. No tengo que ver 10 vídeos de YouTube para entender algo, así que me ahorro tiempo. ¡Muy recomendable!
Sara
usuaria de Android
En el instituto era muy malo en matemáticas, pero gracias a la app, ahora saco mejores notas. Os agradezco mucho que hayáis creado la aplicación.
Roberto
usuario de Android
Esto no es como Chatgpt, es MUCHISMO MEJOR, te hace unos resúmenes espectaculares y gracias a esta app pase de sacar 5-6 a sacar 8-9.
Julyana
usuaria de Android
Es la mejor aplicación del mundo, la uso para revisar los deberes a mi hijo.
Javier
usuario de Android
LOS QUIZ Y FLASHCARDS SON SÚPER ÚTILES Y ME ENCANTA Knowunity IA. ADEMÁS ES LITERALMENTE COMO CHATGPT PERO MÁS LISTO!! ME AYUDÓ TAMBIÉN CON MIS PROBLEMAS DE MÁSCARA!! Y CON MIS ASIGNATURAS DE VERDAD! OBVIO 😍😁😲🤑💗✨🎀😮
Erick
usuario de Android
Me me encanta esta app, todo lo que tiene es de calidad ya que antes de ser publicado es revisado por un equipo de profesionales. Me ha ido genial esta aplicación ya que gracias a ella puedo estudiar mucho mejor, sin tener que agobiarme porque mi profesor no ha hecho teoría o porque no entiendo su teoría. Le doy un 10 de 10!
Mar
usuaria de iOS
La app es muy fácil de usar y está muy bien diseñada. Hasta ahora he encontrado todo lo que estaba buscando y he podido aprender mucho de las presentaciones. Definitivamente utilizaré la aplicación para un examen de clase. Y, por supuesto, también me sirve mucho de inspiración.
Pablo
usuario de iOS
Esta app es realmente genial. Hay tantos apuntes de clase y ayuda [...]. Tengo problemas con matemáticas, por ejemplo, y la aplicación tiene muchas opciones de ayuda. Gracias a Knowunity, he mejorado en mates. Se la recomiendo a todo el mundo.
Elena
usuaria de Android
Vaya, estoy realmente sorprendida. Acabo de probar la app porque la he visto anunciada muchas veces y me he quedado absolutamente alucinada. Esta app es LA AYUDA que quieres para el insti y, sobre todo, ofrece muchísimas cosas, como ejercicios y hojas informativas, que a mí personalmente me han sido MUY útiles.
Ana
usuaria de iOS
Está app es muy buena, tiene apuntes que son de mucha ayuda y su IA es fantástica, te explica a la perfección y muy fácil de entender lo que necesites, te ayuda con los deberes, te hace esquemas... en definitiva es una muy buena opción!
Sophia
usuario de Android
Me encanta!!! Me resuelve todo con detalle y me da la explicación correcta. Tiene un montón de funciones, ami me ha ido genial!! Os la recomiendo!!!
Marta
usuaria de Android
La uso casi diariamente, sirve para todas las asignaturas. Yo, por ejemplo la utilizo más en inglés porque se me da bastante mal, ¡Todas las respuestas están correctas! Consta con personas reales que suben sus apuntes y IA para que puedas hacer los deberes muchísimo más fácil, la recomiendo.
Izan
usuario de iOS
¡La app es buenísima! Sólo tengo que introducir el tema en la barra de búsqueda y recibo la respuesta muy rápido. No tengo que ver 10 vídeos de YouTube para entender algo, así que me ahorro tiempo. ¡Muy recomendable!
Sara
usuaria de Android
En el instituto era muy malo en matemáticas, pero gracias a la app, ahora saco mejores notas. Os agradezco mucho que hayáis creado la aplicación.
Roberto
usuario de Android
Esto no es como Chatgpt, es MUCHISMO MEJOR, te hace unos resúmenes espectaculares y gracias a esta app pase de sacar 5-6 a sacar 8-9.
Julyana
usuaria de Android
Es la mejor aplicación del mundo, la uso para revisar los deberes a mi hijo.
Javier
usuario de Android
LOS QUIZ Y FLASHCARDS SON SÚPER ÚTILES Y ME ENCANTA Knowunity IA. ADEMÁS ES LITERALMENTE COMO CHATGPT PERO MÁS LISTO!! ME AYUDÓ TAMBIÉN CON MIS PROBLEMAS DE MÁSCARA!! Y CON MIS ASIGNATURAS DE VERDAD! OBVIO 😍😁😲🤑💗✨🎀😮
Erick
usuario de Android
Me me encanta esta app, todo lo que tiene es de calidad ya que antes de ser publicado es revisado por un equipo de profesionales. Me ha ido genial esta aplicación ya que gracias a ella puedo estudiar mucho mejor, sin tener que agobiarme porque mi profesor no ha hecho teoría o porque no entiendo su teoría. Le doy un 10 de 10!
Mar
usuaria de iOS
NP
@..np..
¿Te suenan las letras mezcladas con números? Eso es el lenguaje algebraico, una herramienta súper útil para resolver problemas matemáticos. Los polinomios y monomios son como los bloques de construcción de este lenguaje.

Acceso a todos los documentos
Mejora tus notas
Únete a millones de estudiantes
¿Sabías que puedes traducir cualquier frase del lenguaje común al lenguaje matemático? Es como aprender un nuevo idioma, pero mucho más fácil.
Una expresión algebraica es simplemente una forma de escribir con letras y números lo que dices con palabras. Por ejemplo, "el triple de un número" se escribe como 3x, donde x es tu número misterioso.
Los monomios son expresiones algebraicas de una sola pieza, como 5x² o -3xy. Tienen tres partes importantes: el coeficiente (el número de delante), la parte literal (las letras) y el grado (la suma de los exponentes).
¡Dato curioso! El grado te dice qué tan "potente" es tu monomio. Cuanto mayor sea el grado, más rápido crece el valor cuando aumentas x.
Para operar con monomios, solo puedes sumar o restar los que son semejantes (misma parte literal). Es como sumar manzanas con manzanas: 3x + 5x = 8x, pero no puedes sumar 3x + 5y directamente.

Acceso a todos los documentos
Mejora tus notas
Únete a millones de estudiantes
Multiplicar y dividir monomios es más fácil de lo que parece. Solo tienes que recordar las reglas de las potencias: cuando multiplicas, sumas los exponentes, y cuando divides, los restas.
Para la multiplicación: (3x²)(5x³) = 15x⁵. Los coeficientes se multiplican (3 × 5 = 15) y los exponentes se suman (2 + 3 = 5).
Los polinomios son como familias de monomios que viven juntos. El grado del polinomio es el exponente más alto que encuentres. Para sumar polinomios, agrupas términos semejantes como si fueras organizando por colores.
¡Truco ninja! Cuando calcules el valor numérico de un polinomio, sustituye la variable por el número dado y calcula paso a paso. P(2) significa que x = 2.
El factor común es tu mejor amigo para simplificar. Es como encontrar qué tienen en común todos los términos para sacarlo fuera del paréntesis.

Acceso a todos los documentos
Mejora tus notas
Únete a millones de estudiantes
Los productos notables son fórmulas mágicas que te ahorran mucho tiempo. Son patrones que se repiten constantemente y que debes memorizar como una canción.
Los tres productos notables básicos son:
La factorización es el proceso inverso: partir una expresión en factores más simples. Es como desarmar un puzzle para ver las piezas originales.
¡Consejo de oro! Siempre busca primero el factor común antes de aplicar productos notables. Te simplificará muchísimo el trabajo.
Cuando factorices, pregúntate: "¿Qué tienen todos estos términos en común?" Puede ser un número, una letra, o ambos. Sacarlo fuera es como quitar el denominador común en las fracciones.

Acceso a todos los documentos
Mejora tus notas
Únete a millones de estudiantes
Ahora que controlas lo básico, es hora de hacer operaciones más complejas. Sumar y restar polinomios es como reorganizar tu habitación: cada cosa en su lugar.
Cuando multipliques polinomios, usa la propiedad distributiva: cada término del primer polinomio debe multiplicarse por cada término del segundo. Es trabajo de hormiga, pero sistemático.
Para las fracciones algebraicas, aplica las mismas reglas que con fracciones numéricas. Puedes simplificar sacando factor común tanto en numerador como denominador.
¡Atención! Las fracciones algebraicas se simplifican igual que las numéricas: divide arriba y abajo por el mismo factor.
Recuerda que no puedes dividir por cero, así que siempre ten cuidado con los valores que pueden hacer cero el denominador. Estos valores se llaman "restricciones" del dominio.

Acceso a todos los documentos
Mejora tus notas
Únete a millones de estudiantes
Las fracciones algebraicas son como las fracciones normales, pero con letras. La clave está en factorizar numerador y denominador para encontrar términos comunes que puedas cancelar.
Para sumar fracciones algebraicas, necesitas encontrar el denominador común. Es exactamente igual que con fracciones numéricas: busca el mínimo común múltiplo de los denominadores.
La extracción de factor común es tu herramienta más poderosa. Siempre busca qué pueden compartir todos los términos: números, letras, o expresiones completas entre paréntesis.
¡Método infalible! Para simplificar fracciones algebraicas: 1) Factoriza numerador y denominador, 2) Cancela factores comunes, 3) Multiplica lo que quede.
Cuando tengas expresiones del tipo a + b, puedes sacar como factor común y quedarte con . Es como encontrar el patrón oculto en la expresión.

Acceso a todos los documentos
Mejora tus notas
Únete a millones de estudiantes
Vamos a ver ejemplos concretos para que todo cobre sentido. Con monomios semejantes, solo sumas o restas coeficientes: 3x + 2x = 5x, pero las partes literales deben ser idénticas.
Para multiplicar potencias de la misma base, sumas exponentes: x³ · x² = x⁵. Para dividir, restas exponentes: x⁷ ÷ x⁴ = x³.
Cuando multipliques un monomio por un polinomio, distribuye el monomio a cada término: 5x = 5x³ + 5x² - 10x.
¡Práctica perfecta! La multiplicación de polinomios requiere paciencia: cada término del primero por cada término del segundo, sin olvidar ninguno.
El producto se resuelve así: 3x(5x) + 3x(2) + 1(5x) + 1(2) = 15x² + 6x + 5x + 2 = 15x² + 11x + 2. ¡Sistemático y sin prisa!

Acceso a todos los documentos
Mejora tus notas
Únete a millones de estudiantes
Los productos notables con radicales siguen las mismas reglas, solo que con más cuidado en los cálculos. ² = x² + 2√27x + 27.
Para casos con fracciones dentro de radicales, como , recuerda que el cuadrado elimina la raíz: queda x/3.
La factorización por agrupación es útil cuando tienes cuatro o más términos. Agrupa de dos en dos y busca factores comunes en cada grupo.
¡Estrategia inteligente! Si tienes ab² - a²b, saca primero ab: ab. Siempre busca el factor común más grande posible.
Expresiones como 3x² + 6x² - 18x se pueden factorizar como 3x. Primero saca el factor común numérico y literal, luego trabaja con lo que queda en el paréntesis.

Acceso a todos los documentos
Mejora tus notas
Únete a millones de estudiantes
La simplificación de fracciones algebraicas es como limpiar una ecuación: quitas lo innecesario para que quede más clara. La clave está en factorizar correctamente.
Para , saca factor común del numerador: . Siempre busca factores comunes entre numerador y denominador.
Casos como se simplifican factorizando el denominador: . El factor se cancela arriba y abajo.
¡Técnica profesional! Antes de simplificar, factoriza completamente numerador y denominador. Solo entonces cancela factores idénticos.
Con expresiones cuadráticas como , reconoce productos notables: . Los patrones te ahorran mucho trabajo.

Acceso a todos los documentos
Mejora tus notas
Únete a millones de estudiantes
Los casos más complejos requieren paciencia y método. Para , saca factores comunes en numerador y denominador por separado.
Numerador: 15x³ - 5x² = 5x². Denominador: 30x² - 10x = 10x. Resultado: .
Las fracciones con términos repetidos se simplifican fácilmente: .
¡Método maestro! Siempre verifica tu respuesta sustituyendo valores. Si das el mismo resultado antes y después de simplificar, vas bien.
Para expresiones como , factoriza el denominador: . La práctica hace que estos patrones se vuelvan automáticos.
Nuestro compañero de IA está específicamente adaptado a las necesidades de los estudiantes. Basándonos en los millones de contenidos que tenemos en la plataforma, podemos dar a los estudiantes respuestas realmente significativas y relevantes. Pero no se trata solo de respuestas, el compañero también guía a los estudiantes a través de sus retos de aprendizaje diarios, con planes de aprendizaje personalizados, cuestionarios o contenidos en el chat y una personalización del 100% basada en las habilidades y el desarrollo de los estudiantes.
Puedes descargar la app en Google Play Store y Apple App Store.
Sí, tienes acceso gratuito a los contenidos de la aplicación y a nuestro compañero de IA. Para desbloquear determinadas funciones de la aplicación, puedes adquirir Knowunity Pro.
6
Herramientas Inteligentes NUEVO
Transforma estos apuntes en: ✓ 50+ Preguntas de Práctica ✓ Flashcards Interactivas ✓ Examen Completo de Práctica ✓ Esquemas de Ensayo
Sintexis de Lengua Castellana. Incluye las oraciones simples, los complementos y todas las oraciones compuestas
App Store
Google Play
La app es muy fácil de usar y está muy bien diseñada. Hasta ahora he encontrado todo lo que estaba buscando y he podido aprender mucho de las presentaciones. Definitivamente utilizaré la aplicación para un examen de clase. Y, por supuesto, también me sirve mucho de inspiración.
Pablo
usuario de iOS
Esta app es realmente genial. Hay tantos apuntes de clase y ayuda [...]. Tengo problemas con matemáticas, por ejemplo, y la aplicación tiene muchas opciones de ayuda. Gracias a Knowunity, he mejorado en mates. Se la recomiendo a todo el mundo.
Elena
usuaria de Android
Vaya, estoy realmente sorprendida. Acabo de probar la app porque la he visto anunciada muchas veces y me he quedado absolutamente alucinada. Esta app es LA AYUDA que quieres para el insti y, sobre todo, ofrece muchísimas cosas, como ejercicios y hojas informativas, que a mí personalmente me han sido MUY útiles.
Ana
usuaria de iOS
Está app es muy buena, tiene apuntes que son de mucha ayuda y su IA es fantástica, te explica a la perfección y muy fácil de entender lo que necesites, te ayuda con los deberes, te hace esquemas... en definitiva es una muy buena opción!
Sophia
usuario de Android
Me encanta!!! Me resuelve todo con detalle y me da la explicación correcta. Tiene un montón de funciones, ami me ha ido genial!! Os la recomiendo!!!
Marta
usuaria de Android
La uso casi diariamente, sirve para todas las asignaturas. Yo, por ejemplo la utilizo más en inglés porque se me da bastante mal, ¡Todas las respuestas están correctas! Consta con personas reales que suben sus apuntes y IA para que puedas hacer los deberes muchísimo más fácil, la recomiendo.
Izan
usuario de iOS
¡La app es buenísima! Sólo tengo que introducir el tema en la barra de búsqueda y recibo la respuesta muy rápido. No tengo que ver 10 vídeos de YouTube para entender algo, así que me ahorro tiempo. ¡Muy recomendable!
Sara
usuaria de Android
En el instituto era muy malo en matemáticas, pero gracias a la app, ahora saco mejores notas. Os agradezco mucho que hayáis creado la aplicación.
Roberto
usuario de Android
Esto no es como Chatgpt, es MUCHISMO MEJOR, te hace unos resúmenes espectaculares y gracias a esta app pase de sacar 5-6 a sacar 8-9.
Julyana
usuaria de Android
Es la mejor aplicación del mundo, la uso para revisar los deberes a mi hijo.
Javier
usuario de Android
LOS QUIZ Y FLASHCARDS SON SÚPER ÚTILES Y ME ENCANTA Knowunity IA. ADEMÁS ES LITERALMENTE COMO CHATGPT PERO MÁS LISTO!! ME AYUDÓ TAMBIÉN CON MIS PROBLEMAS DE MÁSCARA!! Y CON MIS ASIGNATURAS DE VERDAD! OBVIO 😍😁😲🤑💗✨🎀😮
Erick
usuario de Android
Me me encanta esta app, todo lo que tiene es de calidad ya que antes de ser publicado es revisado por un equipo de profesionales. Me ha ido genial esta aplicación ya que gracias a ella puedo estudiar mucho mejor, sin tener que agobiarme porque mi profesor no ha hecho teoría o porque no entiendo su teoría. Le doy un 10 de 10!
Mar
usuaria de iOS
La app es muy fácil de usar y está muy bien diseñada. Hasta ahora he encontrado todo lo que estaba buscando y he podido aprender mucho de las presentaciones. Definitivamente utilizaré la aplicación para un examen de clase. Y, por supuesto, también me sirve mucho de inspiración.
Pablo
usuario de iOS
Esta app es realmente genial. Hay tantos apuntes de clase y ayuda [...]. Tengo problemas con matemáticas, por ejemplo, y la aplicación tiene muchas opciones de ayuda. Gracias a Knowunity, he mejorado en mates. Se la recomiendo a todo el mundo.
Elena
usuaria de Android
Vaya, estoy realmente sorprendida. Acabo de probar la app porque la he visto anunciada muchas veces y me he quedado absolutamente alucinada. Esta app es LA AYUDA que quieres para el insti y, sobre todo, ofrece muchísimas cosas, como ejercicios y hojas informativas, que a mí personalmente me han sido MUY útiles.
Ana
usuaria de iOS
Está app es muy buena, tiene apuntes que son de mucha ayuda y su IA es fantástica, te explica a la perfección y muy fácil de entender lo que necesites, te ayuda con los deberes, te hace esquemas... en definitiva es una muy buena opción!
Sophia
usuario de Android
Me encanta!!! Me resuelve todo con detalle y me da la explicación correcta. Tiene un montón de funciones, ami me ha ido genial!! Os la recomiendo!!!
Marta
usuaria de Android
La uso casi diariamente, sirve para todas las asignaturas. Yo, por ejemplo la utilizo más en inglés porque se me da bastante mal, ¡Todas las respuestas están correctas! Consta con personas reales que suben sus apuntes y IA para que puedas hacer los deberes muchísimo más fácil, la recomiendo.
Izan
usuario de iOS
¡La app es buenísima! Sólo tengo que introducir el tema en la barra de búsqueda y recibo la respuesta muy rápido. No tengo que ver 10 vídeos de YouTube para entender algo, así que me ahorro tiempo. ¡Muy recomendable!
Sara
usuaria de Android
En el instituto era muy malo en matemáticas, pero gracias a la app, ahora saco mejores notas. Os agradezco mucho que hayáis creado la aplicación.
Roberto
usuario de Android
Esto no es como Chatgpt, es MUCHISMO MEJOR, te hace unos resúmenes espectaculares y gracias a esta app pase de sacar 5-6 a sacar 8-9.
Julyana
usuaria de Android
Es la mejor aplicación del mundo, la uso para revisar los deberes a mi hijo.
Javier
usuario de Android
LOS QUIZ Y FLASHCARDS SON SÚPER ÚTILES Y ME ENCANTA Knowunity IA. ADEMÁS ES LITERALMENTE COMO CHATGPT PERO MÁS LISTO!! ME AYUDÓ TAMBIÉN CON MIS PROBLEMAS DE MÁSCARA!! Y CON MIS ASIGNATURAS DE VERDAD! OBVIO 😍😁😲🤑💗✨🎀😮
Erick
usuario de Android
Me me encanta esta app, todo lo que tiene es de calidad ya que antes de ser publicado es revisado por un equipo de profesionales. Me ha ido genial esta aplicación ya que gracias a ella puedo estudiar mucho mejor, sin tener que agobiarme porque mi profesor no ha hecho teoría o porque no entiendo su teoría. Le doy un 10 de 10!
Mar
usuaria de iOS