¡Hora de dominar las exponenciales y logaritmos! Esta colección de... Mostrar más
Inscríbete para ver los apuntes¡Es gratis!
Acceso a todos los documentos
Mejora tus notas
Únete a millones de estudiantes
Knowunity AI
Asignaturas
Triangle Congruence and Similarity Theorems
Triangle Properties and Classification
Linear Equations and Graphs
Geometric Angle Relationships
Trigonometric Functions and Identities
Equation Solving Techniques
Circle Geometry Fundamentals
Division Operations and Methods
Basic Differentiation Rules
Exponent and Logarithm Properties
Mostrar todos los temas
Human Organ Systems
Reproductive Cell Cycles
Biological Sciences Subdisciplines
Cellular Energy Metabolism
Autotrophic Energy Processes
Inheritance Patterns and Principles
Biomolecular Structure and Organization
Cell Cycle and Division Mechanics
Cellular Organization and Development
Biological Structural Organization
Mostrar todos los temas
Chemical Sciences and Applications
Atomic Structure and Composition
Molecular Electron Structure Representation
Atomic Electron Behavior
Matter Properties and Water
Mole Concept and Calculations
Gas Laws and Behavior
Periodic Table Organization
Chemical Thermodynamics Fundamentals
Chemical Bond Types and Properties
Mostrar todos los temas
European Renaissance and Enlightenment
European Cultural Movements 800-1920
American Revolution Era 1763-1797
American Civil War 1861-1865
Global Imperial Systems
Mongol and Chinese Dynasties
U.S. Presidents and World Leaders
Historical Sources and Documentation
World Wars Era and Impact
World Religious Systems
Mostrar todos los temas
Classic and Contemporary Novels
Literary Character Analysis
Rhetorical Theory and Practice
Classic Literary Narratives
Reading Analysis and Interpretation
Narrative Structure and Techniques
English Language Components
Influential English-Language Authors
Basic Sentence Structure
Narrative Voice and Perspective
Mostrar todos los temas
1,303
•
Actualizado Mar 24, 2026
•
sindy
@sindy_iqfj
¡Hora de dominar las exponenciales y logaritmos! Esta colección de... Mostrar más






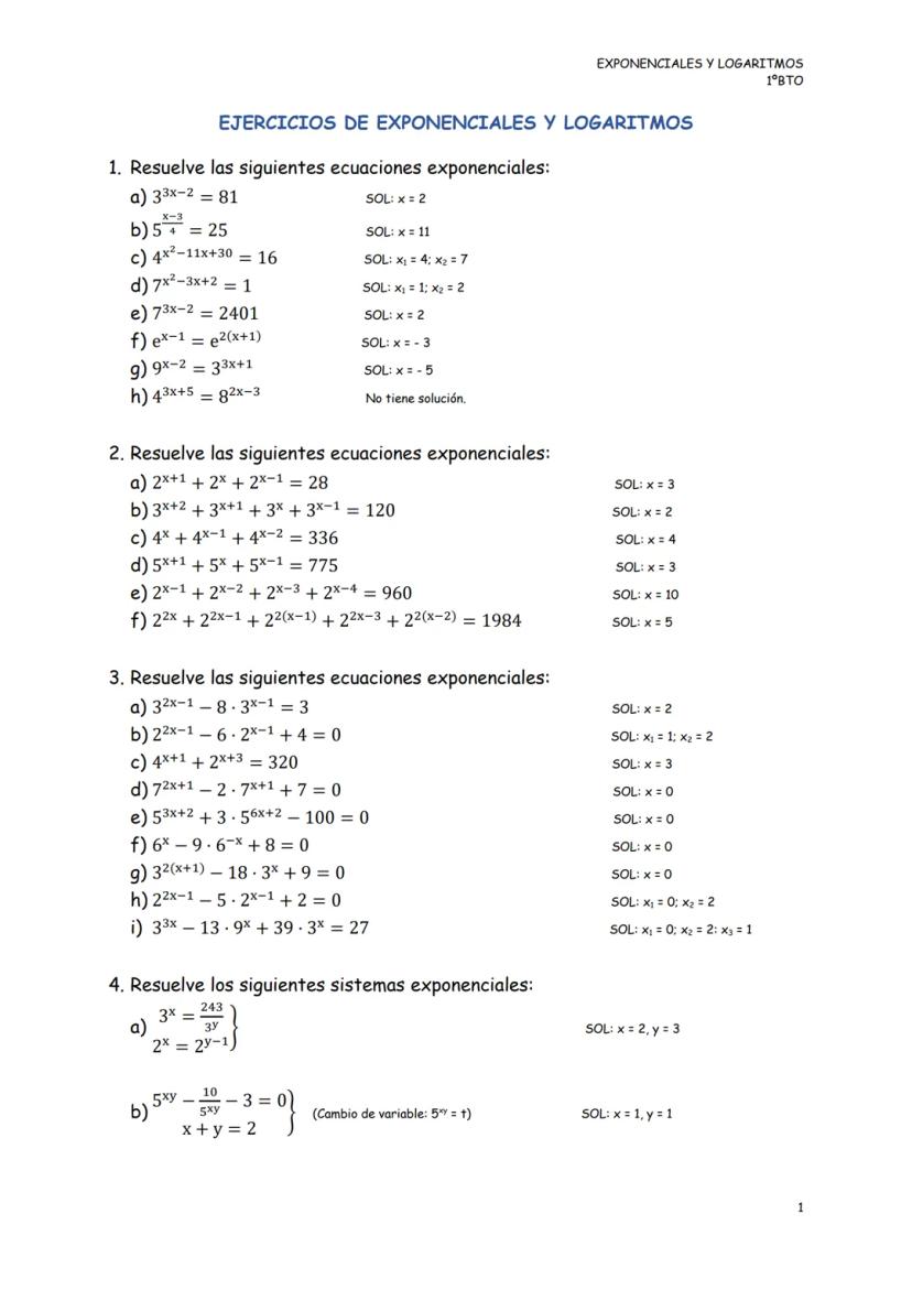
Las ecuaciones exponenciales son más fáciles de lo que parecen cuando conoces los trucos. Lo clave es convertir todo a la misma base cuando sea posible.
En los primeros ejercicios, como $3^{3x-2} = 813^43x-2 = 4x = 2$.
Para ecuaciones como $7^{x^2-3x+2} = 1x^2-3x+2 = 0$. Resuelves la ecuación cuadrática y obtienes las dos soluciones.
Tip clave: Si las bases son diferentes pero puedes convertirlas como $9^{x-2} = 3^{3x+1}$, hazlo. Como $9 = 3^23^{2} = 3^{3x+1}$.

Cuando tienes sumas de exponenciales como $2^{x+1} + 2^x + 2^{x-1} = 28$, la estrategia cambia completamente. Aquí necesitas factorizar.
Saca factor común la potencia menor: $2^{x-1} = 282^{x-1} \cdot 7 = 282^{x-1} = 4 = 2^2$.
Para las ecuaciones cuadráticas exponenciales como $3^{2x-1} - 8 \cdot 3^{x-1} = 3t = 3^{x-1}3t - 8t = 3$, que es mucho más manejable.
Los sistemas exponenciales requieren trabajar con ambas ecuaciones simultáneamente. A menudo una te da el valor directo y la otra te ayuda a encontrar la segunda incógnita.
Estrategia ganadora: En ecuaciones complicadas, busca siempre patrones para factorizar o usa cambio de variable para simplificar.

Los logaritmos son simplemente otra forma de escribir exponenciales. Si , entonces . Así de simple.
Las propiedades fundamentales que necesitas dominar son: , , y . Con estas tres reglas resuelves casi todo.
Para calcular logaritmos sin calculadora, descompón los números en factores que conozcas. Por ejemplo, si sabes que y , entonces .
Las simplificaciones como y son identidades que debes memorizar. Te ahorran mucho tiempo en los exámenes.
Recuerda: Un logaritmo es preguntarse "¿a qué potencia debo elevar la base para obtener este número?"

Las ecuaciones logarítmicas se resuelven aplicando las propiedades de los logaritmos para simplificar y luego despejar la incógnita.
En ecuaciones como , primero simplifica usando las propiedades. Recuerda que .
Cuando tengas una ecuación del tipo , despeja el término con la incógnita. Como , puedes sustituir y resolver.
¡Cuidado con el dominio! Los logaritmos solo existen para números positivos, así que siempre verifica que tus soluciones no hagan negativo el argumento del logaritmo.
Estrategia esencial: Agrupa todos los logaritmos en un lado de la ecuación y simplifica usando las propiedades antes de intentar resolver.

Los sistemas con logaritmos combinan todo lo que has aprendido. La clave está en usar las propiedades para simplificar y crear ecuaciones más manejables.
En un sistema como y , la segunda ecuación se convierte en , entonces . Ahora tienes un sistema clásico de suma y producto.
Para sistemas más complejos como y , convierte cada ecuación logarítmica a su forma exponencial: y .
Algunos sistemas requieren cambio de variable o sustitución. No te agobies si al principio parecen imposibles; descompón paso a paso y usa las propiedades sistemáticamente.
Consejo final: Siempre comprueba tus soluciones sustituyendo en las ecuaciones originales. Los errores de cálculo son comunes en estos ejercicios.
Nuestro compañero de IA está específicamente adaptado a las necesidades de los estudiantes. Basándonos en los millones de contenidos que tenemos en la plataforma, podemos dar a los estudiantes respuestas realmente significativas y relevantes. Pero no se trata solo de respuestas, el compañero también guía a los estudiantes a través de sus retos de aprendizaje diarios, con planes de aprendizaje personalizados, cuestionarios o contenidos en el chat y una personalización del 100% basada en las habilidades y el desarrollo de los estudiantes.
Puedes descargar la app en Google Play Store y Apple App Store.
Sí, tienes acceso gratuito a los contenidos de la aplicación y a nuestro compañero de IA. Para desbloquear determinadas funciones de la aplicación, puedes adquirir Knowunity Pro.
App Store
Google Play
La app es muy fácil de usar y está muy bien diseñada. Hasta ahora he encontrado todo lo que estaba buscando y he podido aprender mucho de las presentaciones. Definitivamente utilizaré la aplicación para un examen de clase. Y, por supuesto, también me sirve mucho de inspiración.
Pablo
usuario de iOS
Esta app es realmente genial. Hay tantos apuntes de clase y ayuda [...]. Tengo problemas con matemáticas, por ejemplo, y la aplicación tiene muchas opciones de ayuda. Gracias a Knowunity, he mejorado en mates. Se la recomiendo a todo el mundo.
Elena
usuaria de Android
Vaya, estoy realmente sorprendida. Acabo de probar la app porque la he visto anunciada muchas veces y me he quedado absolutamente alucinada. Esta app es LA AYUDA que quieres para el insti y, sobre todo, ofrece muchísimas cosas, como ejercicios y hojas informativas, que a mí personalmente me han sido MUY útiles.
Ana
usuaria de iOS
Está app es muy buena, tiene apuntes que son de mucha ayuda y su IA es fantástica, te explica a la perfección y muy fácil de entender lo que necesites, te ayuda con los deberes, te hace esquemas... en definitiva es una muy buena opción!
Sophia
usuario de Android
Me encanta!!! Me resuelve todo con detalle y me da la explicación correcta. Tiene un montón de funciones, ami me ha ido genial!! Os la recomiendo!!!
Marta
usuaria de Android
La uso casi diariamente, sirve para todas las asignaturas. Yo, por ejemplo la utilizo más en inglés porque se me da bastante mal, ¡Todas las respuestas están correctas! Consta con personas reales que suben sus apuntes y IA para que puedas hacer los deberes muchísimo más fácil, la recomiendo.
Izan
usuario de iOS
¡La app es buenísima! Sólo tengo que introducir el tema en la barra de búsqueda y recibo la respuesta muy rápido. No tengo que ver 10 vídeos de YouTube para entender algo, así que me ahorro tiempo. ¡Muy recomendable!
Sara
usuaria de Android
En el instituto era muy malo en matemáticas, pero gracias a la app, ahora saco mejores notas. Os agradezco mucho que hayáis creado la aplicación.
Roberto
usuario de Android
Esto no es como Chatgpt, es MUCHISMO MEJOR, te hace unos resúmenes espectaculares y gracias a esta app pase de sacar 5-6 a sacar 8-9.
Julyana
usuaria de Android
Es la mejor aplicación del mundo, la uso para revisar los deberes a mi hijo.
Javier
usuario de Android
LOS QUIZ Y FLASHCARDS SON SÚPER ÚTILES Y ME ENCANTA Knowunity IA. ADEMÁS ES LITERALMENTE COMO CHATGPT PERO MÁS LISTO!! ME AYUDÓ TAMBIÉN CON MIS PROBLEMAS DE MÁSCARA!! Y CON MIS ASIGNATURAS DE VERDAD! OBVIO 😍😁😲🤑💗✨🎀😮
Erick
usuario de Android
Me me encanta esta app, todo lo que tiene es de calidad ya que antes de ser publicado es revisado por un equipo de profesionales. Me ha ido genial esta aplicación ya que gracias a ella puedo estudiar mucho mejor, sin tener que agobiarme porque mi profesor no ha hecho teoría o porque no entiendo su teoría. Le doy un 10 de 10!
Mar
usuaria de iOS
La app es muy fácil de usar y está muy bien diseñada. Hasta ahora he encontrado todo lo que estaba buscando y he podido aprender mucho de las presentaciones. Definitivamente utilizaré la aplicación para un examen de clase. Y, por supuesto, también me sirve mucho de inspiración.
Pablo
usuario de iOS
Esta app es realmente genial. Hay tantos apuntes de clase y ayuda [...]. Tengo problemas con matemáticas, por ejemplo, y la aplicación tiene muchas opciones de ayuda. Gracias a Knowunity, he mejorado en mates. Se la recomiendo a todo el mundo.
Elena
usuaria de Android
Vaya, estoy realmente sorprendida. Acabo de probar la app porque la he visto anunciada muchas veces y me he quedado absolutamente alucinada. Esta app es LA AYUDA que quieres para el insti y, sobre todo, ofrece muchísimas cosas, como ejercicios y hojas informativas, que a mí personalmente me han sido MUY útiles.
Ana
usuaria de iOS
Está app es muy buena, tiene apuntes que son de mucha ayuda y su IA es fantástica, te explica a la perfección y muy fácil de entender lo que necesites, te ayuda con los deberes, te hace esquemas... en definitiva es una muy buena opción!
Sophia
usuario de Android
Me encanta!!! Me resuelve todo con detalle y me da la explicación correcta. Tiene un montón de funciones, ami me ha ido genial!! Os la recomiendo!!!
Marta
usuaria de Android
La uso casi diariamente, sirve para todas las asignaturas. Yo, por ejemplo la utilizo más en inglés porque se me da bastante mal, ¡Todas las respuestas están correctas! Consta con personas reales que suben sus apuntes y IA para que puedas hacer los deberes muchísimo más fácil, la recomiendo.
Izan
usuario de iOS
¡La app es buenísima! Sólo tengo que introducir el tema en la barra de búsqueda y recibo la respuesta muy rápido. No tengo que ver 10 vídeos de YouTube para entender algo, así que me ahorro tiempo. ¡Muy recomendable!
Sara
usuaria de Android
En el instituto era muy malo en matemáticas, pero gracias a la app, ahora saco mejores notas. Os agradezco mucho que hayáis creado la aplicación.
Roberto
usuario de Android
Esto no es como Chatgpt, es MUCHISMO MEJOR, te hace unos resúmenes espectaculares y gracias a esta app pase de sacar 5-6 a sacar 8-9.
Julyana
usuaria de Android
Es la mejor aplicación del mundo, la uso para revisar los deberes a mi hijo.
Javier
usuario de Android
LOS QUIZ Y FLASHCARDS SON SÚPER ÚTILES Y ME ENCANTA Knowunity IA. ADEMÁS ES LITERALMENTE COMO CHATGPT PERO MÁS LISTO!! ME AYUDÓ TAMBIÉN CON MIS PROBLEMAS DE MÁSCARA!! Y CON MIS ASIGNATURAS DE VERDAD! OBVIO 😍😁😲🤑💗✨🎀😮
Erick
usuario de Android
Me me encanta esta app, todo lo que tiene es de calidad ya que antes de ser publicado es revisado por un equipo de profesionales. Me ha ido genial esta aplicación ya que gracias a ella puedo estudiar mucho mejor, sin tener que agobiarme porque mi profesor no ha hecho teoría o porque no entiendo su teoría. Le doy un 10 de 10!
Mar
usuaria de iOS
sindy
@sindy_iqfj
¡Hora de dominar las exponenciales y logaritmos! Esta colección de ejercicios te va a ayudar a entender cómo resolver ecuaciones exponenciales, trabajar con logaritmos y enfrentarte a sistemas más complejos paso a paso.

Acceso a todos los documentos
Mejora tus notas
Únete a millones de estudiantes
Las ecuaciones exponenciales son más fáciles de lo que parecen cuando conoces los trucos. Lo clave es convertir todo a la misma base cuando sea posible.
En los primeros ejercicios, como $3^{3x-2} = 813^43x-2 = 4x = 2$.
Para ecuaciones como $7^{x^2-3x+2} = 1x^2-3x+2 = 0$. Resuelves la ecuación cuadrática y obtienes las dos soluciones.
Tip clave: Si las bases son diferentes pero puedes convertirlas como $9^{x-2} = 3^{3x+1}$, hazlo. Como $9 = 3^23^{2} = 3^{3x+1}$.

Acceso a todos los documentos
Mejora tus notas
Únete a millones de estudiantes
Cuando tienes sumas de exponenciales como $2^{x+1} + 2^x + 2^{x-1} = 28$, la estrategia cambia completamente. Aquí necesitas factorizar.
Saca factor común la potencia menor: $2^{x-1} = 282^{x-1} \cdot 7 = 282^{x-1} = 4 = 2^2$.
Para las ecuaciones cuadráticas exponenciales como $3^{2x-1} - 8 \cdot 3^{x-1} = 3t = 3^{x-1}3t - 8t = 3$, que es mucho más manejable.
Los sistemas exponenciales requieren trabajar con ambas ecuaciones simultáneamente. A menudo una te da el valor directo y la otra te ayuda a encontrar la segunda incógnita.
Estrategia ganadora: En ecuaciones complicadas, busca siempre patrones para factorizar o usa cambio de variable para simplificar.

Acceso a todos los documentos
Mejora tus notas
Únete a millones de estudiantes
Los logaritmos son simplemente otra forma de escribir exponenciales. Si , entonces . Así de simple.
Las propiedades fundamentales que necesitas dominar son: , , y . Con estas tres reglas resuelves casi todo.
Para calcular logaritmos sin calculadora, descompón los números en factores que conozcas. Por ejemplo, si sabes que y , entonces .
Las simplificaciones como y son identidades que debes memorizar. Te ahorran mucho tiempo en los exámenes.
Recuerda: Un logaritmo es preguntarse "¿a qué potencia debo elevar la base para obtener este número?"

Acceso a todos los documentos
Mejora tus notas
Únete a millones de estudiantes
Las ecuaciones logarítmicas se resuelven aplicando las propiedades de los logaritmos para simplificar y luego despejar la incógnita.
En ecuaciones como , primero simplifica usando las propiedades. Recuerda que .
Cuando tengas una ecuación del tipo , despeja el término con la incógnita. Como , puedes sustituir y resolver.
¡Cuidado con el dominio! Los logaritmos solo existen para números positivos, así que siempre verifica que tus soluciones no hagan negativo el argumento del logaritmo.
Estrategia esencial: Agrupa todos los logaritmos en un lado de la ecuación y simplifica usando las propiedades antes de intentar resolver.

Acceso a todos los documentos
Mejora tus notas
Únete a millones de estudiantes
Los sistemas con logaritmos combinan todo lo que has aprendido. La clave está en usar las propiedades para simplificar y crear ecuaciones más manejables.
En un sistema como y , la segunda ecuación se convierte en , entonces . Ahora tienes un sistema clásico de suma y producto.
Para sistemas más complejos como y , convierte cada ecuación logarítmica a su forma exponencial: y .
Algunos sistemas requieren cambio de variable o sustitución. No te agobies si al principio parecen imposibles; descompón paso a paso y usa las propiedades sistemáticamente.
Consejo final: Siempre comprueba tus soluciones sustituyendo en las ecuaciones originales. Los errores de cálculo son comunes en estos ejercicios.
Nuestro compañero de IA está específicamente adaptado a las necesidades de los estudiantes. Basándonos en los millones de contenidos que tenemos en la plataforma, podemos dar a los estudiantes respuestas realmente significativas y relevantes. Pero no se trata solo de respuestas, el compañero también guía a los estudiantes a través de sus retos de aprendizaje diarios, con planes de aprendizaje personalizados, cuestionarios o contenidos en el chat y una personalización del 100% basada en las habilidades y el desarrollo de los estudiantes.
Puedes descargar la app en Google Play Store y Apple App Store.
Sí, tienes acceso gratuito a los contenidos de la aplicación y a nuestro compañero de IA. Para desbloquear determinadas funciones de la aplicación, puedes adquirir Knowunity Pro.
10
Herramientas Inteligentes NUEVO
Transforma estos apuntes en: ✓ 50+ Preguntas de Práctica ✓ Flashcards Interactivas ✓ Examen Completo de Práctica ✓ Esquemas de Ensayo
App Store
Google Play
La app es muy fácil de usar y está muy bien diseñada. Hasta ahora he encontrado todo lo que estaba buscando y he podido aprender mucho de las presentaciones. Definitivamente utilizaré la aplicación para un examen de clase. Y, por supuesto, también me sirve mucho de inspiración.
Pablo
usuario de iOS
Esta app es realmente genial. Hay tantos apuntes de clase y ayuda [...]. Tengo problemas con matemáticas, por ejemplo, y la aplicación tiene muchas opciones de ayuda. Gracias a Knowunity, he mejorado en mates. Se la recomiendo a todo el mundo.
Elena
usuaria de Android
Vaya, estoy realmente sorprendida. Acabo de probar la app porque la he visto anunciada muchas veces y me he quedado absolutamente alucinada. Esta app es LA AYUDA que quieres para el insti y, sobre todo, ofrece muchísimas cosas, como ejercicios y hojas informativas, que a mí personalmente me han sido MUY útiles.
Ana
usuaria de iOS
Está app es muy buena, tiene apuntes que son de mucha ayuda y su IA es fantástica, te explica a la perfección y muy fácil de entender lo que necesites, te ayuda con los deberes, te hace esquemas... en definitiva es una muy buena opción!
Sophia
usuario de Android
Me encanta!!! Me resuelve todo con detalle y me da la explicación correcta. Tiene un montón de funciones, ami me ha ido genial!! Os la recomiendo!!!
Marta
usuaria de Android
La uso casi diariamente, sirve para todas las asignaturas. Yo, por ejemplo la utilizo más en inglés porque se me da bastante mal, ¡Todas las respuestas están correctas! Consta con personas reales que suben sus apuntes y IA para que puedas hacer los deberes muchísimo más fácil, la recomiendo.
Izan
usuario de iOS
¡La app es buenísima! Sólo tengo que introducir el tema en la barra de búsqueda y recibo la respuesta muy rápido. No tengo que ver 10 vídeos de YouTube para entender algo, así que me ahorro tiempo. ¡Muy recomendable!
Sara
usuaria de Android
En el instituto era muy malo en matemáticas, pero gracias a la app, ahora saco mejores notas. Os agradezco mucho que hayáis creado la aplicación.
Roberto
usuario de Android
Esto no es como Chatgpt, es MUCHISMO MEJOR, te hace unos resúmenes espectaculares y gracias a esta app pase de sacar 5-6 a sacar 8-9.
Julyana
usuaria de Android
Es la mejor aplicación del mundo, la uso para revisar los deberes a mi hijo.
Javier
usuario de Android
LOS QUIZ Y FLASHCARDS SON SÚPER ÚTILES Y ME ENCANTA Knowunity IA. ADEMÁS ES LITERALMENTE COMO CHATGPT PERO MÁS LISTO!! ME AYUDÓ TAMBIÉN CON MIS PROBLEMAS DE MÁSCARA!! Y CON MIS ASIGNATURAS DE VERDAD! OBVIO 😍😁😲🤑💗✨🎀😮
Erick
usuario de Android
Me me encanta esta app, todo lo que tiene es de calidad ya que antes de ser publicado es revisado por un equipo de profesionales. Me ha ido genial esta aplicación ya que gracias a ella puedo estudiar mucho mejor, sin tener que agobiarme porque mi profesor no ha hecho teoría o porque no entiendo su teoría. Le doy un 10 de 10!
Mar
usuaria de iOS
La app es muy fácil de usar y está muy bien diseñada. Hasta ahora he encontrado todo lo que estaba buscando y he podido aprender mucho de las presentaciones. Definitivamente utilizaré la aplicación para un examen de clase. Y, por supuesto, también me sirve mucho de inspiración.
Pablo
usuario de iOS
Esta app es realmente genial. Hay tantos apuntes de clase y ayuda [...]. Tengo problemas con matemáticas, por ejemplo, y la aplicación tiene muchas opciones de ayuda. Gracias a Knowunity, he mejorado en mates. Se la recomiendo a todo el mundo.
Elena
usuaria de Android
Vaya, estoy realmente sorprendida. Acabo de probar la app porque la he visto anunciada muchas veces y me he quedado absolutamente alucinada. Esta app es LA AYUDA que quieres para el insti y, sobre todo, ofrece muchísimas cosas, como ejercicios y hojas informativas, que a mí personalmente me han sido MUY útiles.
Ana
usuaria de iOS
Está app es muy buena, tiene apuntes que son de mucha ayuda y su IA es fantástica, te explica a la perfección y muy fácil de entender lo que necesites, te ayuda con los deberes, te hace esquemas... en definitiva es una muy buena opción!
Sophia
usuario de Android
Me encanta!!! Me resuelve todo con detalle y me da la explicación correcta. Tiene un montón de funciones, ami me ha ido genial!! Os la recomiendo!!!
Marta
usuaria de Android
La uso casi diariamente, sirve para todas las asignaturas. Yo, por ejemplo la utilizo más en inglés porque se me da bastante mal, ¡Todas las respuestas están correctas! Consta con personas reales que suben sus apuntes y IA para que puedas hacer los deberes muchísimo más fácil, la recomiendo.
Izan
usuario de iOS
¡La app es buenísima! Sólo tengo que introducir el tema en la barra de búsqueda y recibo la respuesta muy rápido. No tengo que ver 10 vídeos de YouTube para entender algo, así que me ahorro tiempo. ¡Muy recomendable!
Sara
usuaria de Android
En el instituto era muy malo en matemáticas, pero gracias a la app, ahora saco mejores notas. Os agradezco mucho que hayáis creado la aplicación.
Roberto
usuario de Android
Esto no es como Chatgpt, es MUCHISMO MEJOR, te hace unos resúmenes espectaculares y gracias a esta app pase de sacar 5-6 a sacar 8-9.
Julyana
usuaria de Android
Es la mejor aplicación del mundo, la uso para revisar los deberes a mi hijo.
Javier
usuario de Android
LOS QUIZ Y FLASHCARDS SON SÚPER ÚTILES Y ME ENCANTA Knowunity IA. ADEMÁS ES LITERALMENTE COMO CHATGPT PERO MÁS LISTO!! ME AYUDÓ TAMBIÉN CON MIS PROBLEMAS DE MÁSCARA!! Y CON MIS ASIGNATURAS DE VERDAD! OBVIO 😍😁😲🤑💗✨🎀😮
Erick
usuario de Android
Me me encanta esta app, todo lo que tiene es de calidad ya que antes de ser publicado es revisado por un equipo de profesionales. Me ha ido genial esta aplicación ya que gracias a ella puedo estudiar mucho mejor, sin tener que agobiarme porque mi profesor no ha hecho teoría o porque no entiendo su teoría. Le doy un 10 de 10!
Mar
usuaria de iOS