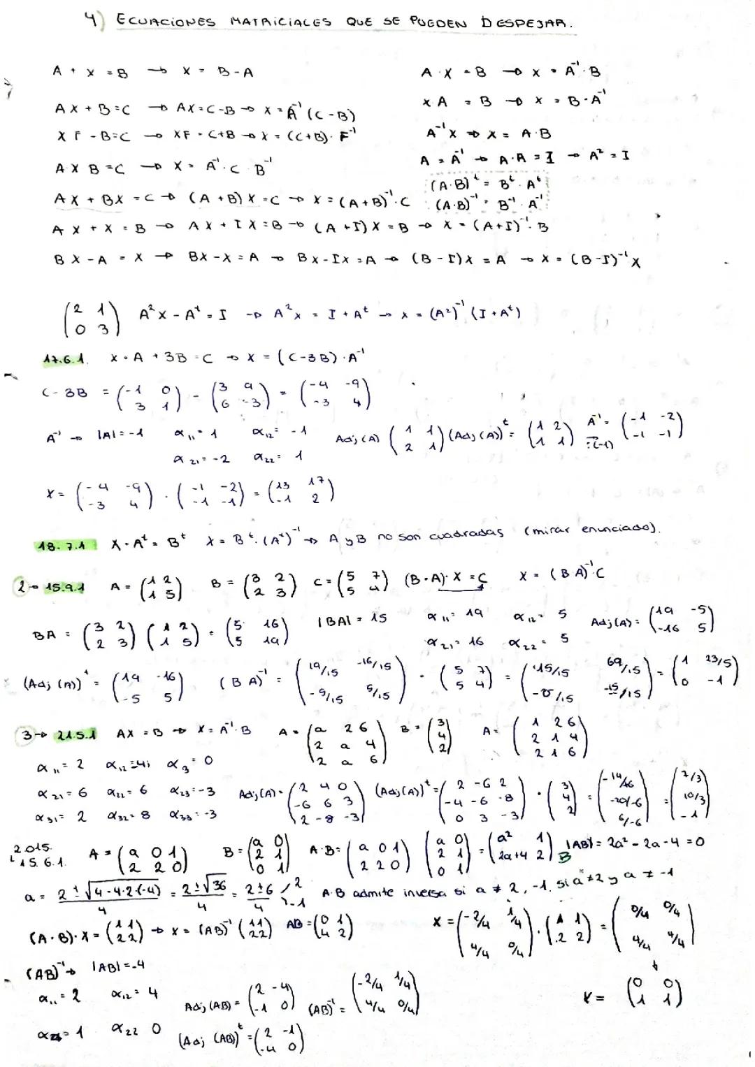
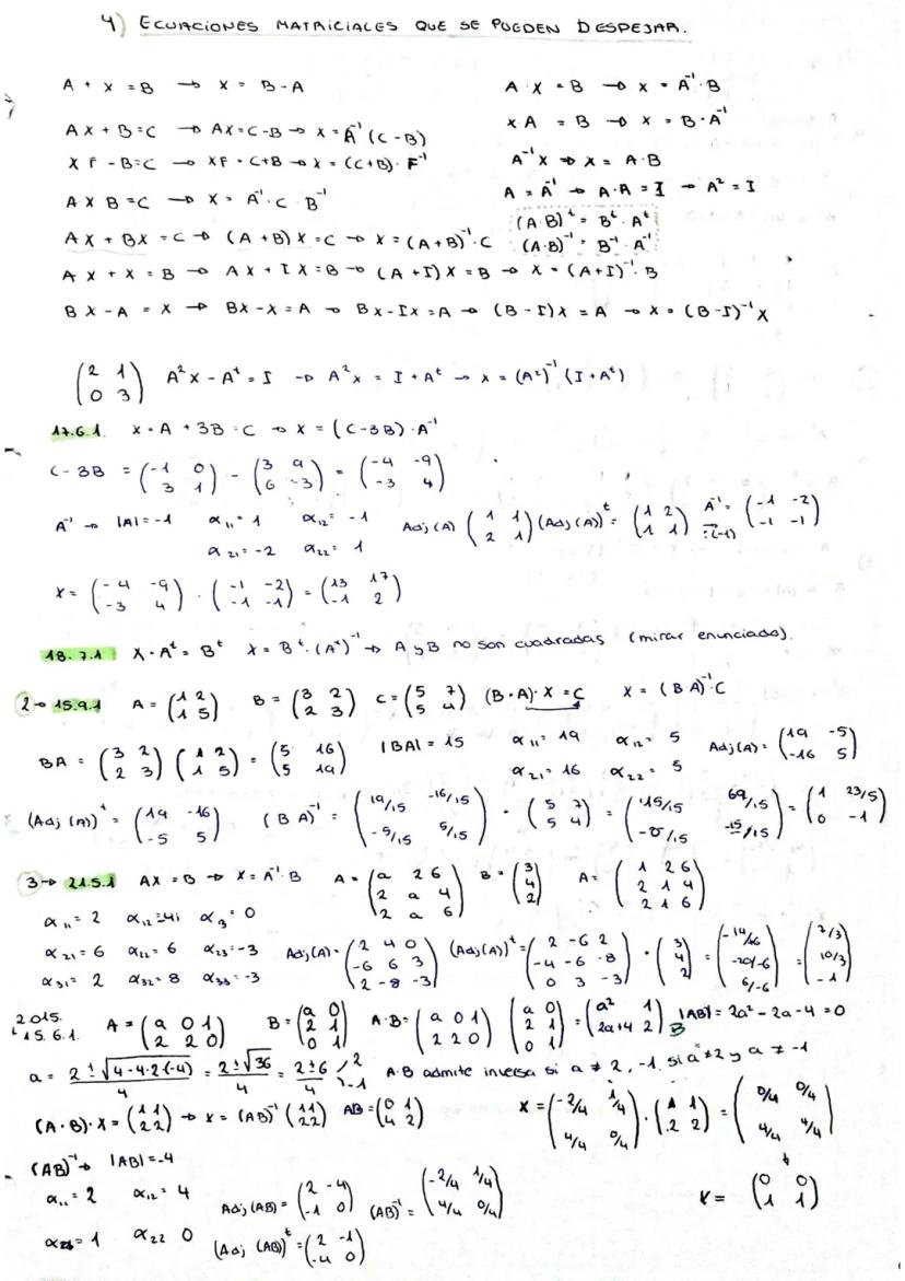
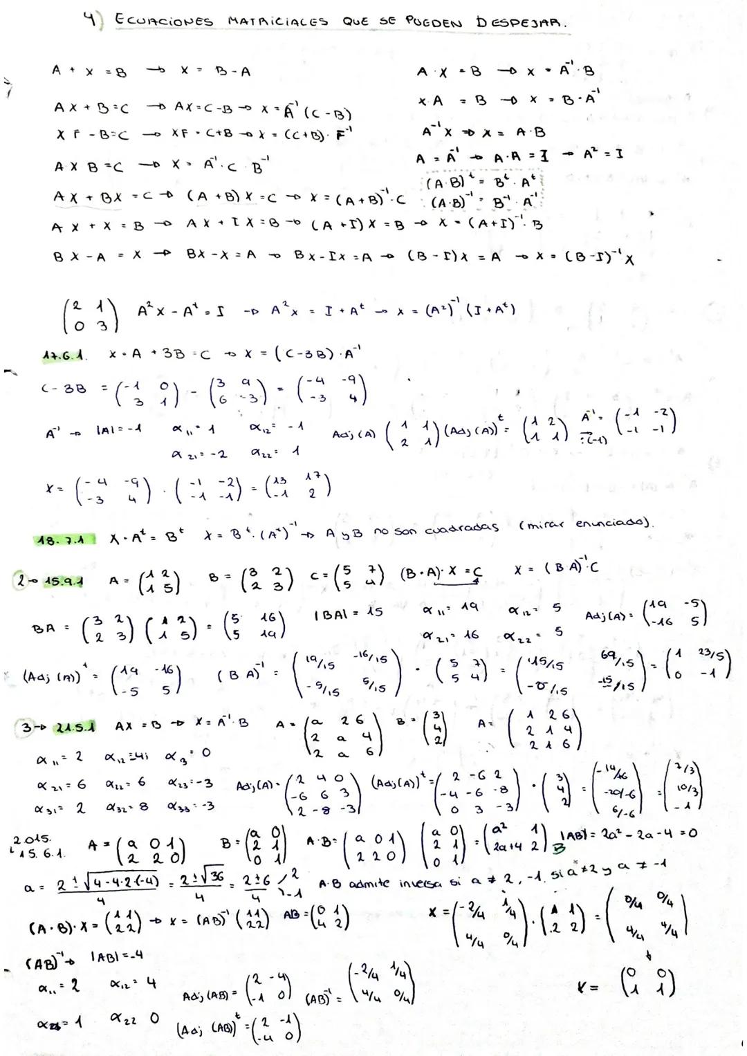
Apuntes con la teoria de qué matrices se pueden despejar y fórmulas que se usan para despejar las ecuaciones de matrices.+ Hoja de ejercicios con los ejercicios resueltos.
Inscríbete para ver los apuntes¡Es gratis!
Acceso a todos los documentos
Mejora tus notas
Únete a millones de estudiantes
Al registrarte aceptas las Condiciones del servicio y la Política de privacidad.








