¿Te dan miedo las ecuaciones? ¡No te preocupes! Las ecuaciones... Mostrar más
Inscríbete para ver los apuntes¡Es gratis!
Acceso a todos los documentos
Mejora tus notas
Únete a millones de estudiantes
Knowunity AI
Asignaturas
Triangle Congruence and Similarity Theorems
Triangle Properties and Classification
Linear Equations and Graphs
Geometric Angle Relationships
Trigonometric Functions and Identities
Equation Solving Techniques
Circle Geometry Fundamentals
Division Operations and Methods
Basic Differentiation Rules
Exponent and Logarithm Properties
Mostrar todos los temas
Human Organ Systems
Reproductive Cell Cycles
Biological Sciences Subdisciplines
Cellular Energy Metabolism
Autotrophic Energy Processes
Inheritance Patterns and Principles
Biomolecular Structure and Organization
Cell Cycle and Division Mechanics
Cellular Organization and Development
Biological Structural Organization
Mostrar todos los temas
Chemical Sciences and Applications
Atomic Structure and Composition
Molecular Electron Structure Representation
Atomic Electron Behavior
Matter Properties and Water
Mole Concept and Calculations
Gas Laws and Behavior
Periodic Table Organization
Chemical Thermodynamics Fundamentals
Chemical Bond Types and Properties
Mostrar todos los temas
European Renaissance and Enlightenment
European Cultural Movements 800-1920
American Revolution Era 1763-1797
American Civil War 1861-1865
Global Imperial Systems
Mongol and Chinese Dynasties
U.S. Presidents and World Leaders
Historical Sources and Documentation
World Wars Era and Impact
World Religious Systems
Mostrar todos los temas
Classic and Contemporary Novels
Literary Character Analysis
Rhetorical Theory and Practice
Classic Literary Narratives
Reading Analysis and Interpretation
Narrative Structure and Techniques
English Language Components
Influential English-Language Authors
Basic Sentence Structure
Narrative Voice and Perspective
Mostrar todos los temas
705
•
Actualizado Apr 5, 2026
•
Carla
@carla.blink
¿Te dan miedo las ecuaciones? ¡No te preocupes! Las ecuaciones... Mostrar más










Las ecuaciones de primer grado tienen la forma ax + b = 0 y son las más fáciles de resolver. Solo necesitas despejar la x moviendo números de un lado al otro.
Para resolverlas con fracciones, multiplica toda la ecuación por el denominador común. Así te libras de las fracciones y trabajas solo con números enteros.
Las ecuaciones de segundo grado tienen la forma ax² + bx + c = 0 y siempre las resuelves con la fórmula: x = / 2a. Esta fórmula te dará dos soluciones (o una repetida).
Truco: Siempre comprueba tus soluciones sustituyendo en la ecuación original. ¡Te ahorrará muchos errores!

Cuando la ecuación tiene exponentes mayores que 2, puedes usar cambio de variable. Por ejemplo, si tienes x⁶, haces z = x³ y trabajas con z².
Las ecuaciones factorizadas como = 0 son súper fáciles. Si un producto es cero, uno de los factores debe ser cero. Así que 2x-1 = 0 ó x-5 = 0.
Para factorizar ecuaciones de tercer grado, busca una raíz probando con números sencillos (±1, ±2, ±3...). Una vez encontrada, divides el polinomio.
Consejo: Las ecuaciones factorizadas son un regalo. ¡Aprovéchalas porque son las más rápidas de resolver!

Cuando factorizas un polinomio cúbico, primero encuentras una raíz por tanteo. Después aplicas la división de polinomios para obtener un factor cuadrático.
El resultado final será algo como = 0. La primera parte te da una solución directa, y la segunda la resuelves con la fórmula cuadrática.
Algunos polinomios tienen raíces múltiples. Esto significa que la misma solución aparece varias veces, como en ² = 0, donde x = -2 es una raíz doble.
Importante: Una ecuación de grado n puede tener máximo n soluciones. ¡No te olvides de buscarlas todas!

Las ecuaciones fraccionarias tienen la incógnita en el denominador de alguna fracción. ¡Cuidado! Aquí hay trampa porque algunos valores pueden hacer cero el denominador.
El truco es multiplicar toda la ecuación por el denominador común. Así eliminas todas las fracciones y obtienes una ecuación normal.
Después de resolver, siempre comprueba que ninguna solución haga cero algún denominador de la ecuación original. Si lo hace, esa solución no es válida y debes descartarla.
¡Atención!: En ecuaciones fraccionarias, algunas soluciones matemáticamente correctas pueden ser inválidas. ¡Siempre verifica!

Para sumar o restar fracciones algebraicas, necesitas encontrar el denominador común. Factoriza cada denominador y toma todos los factores distintos con su mayor exponente.
Cuando multipliques fracciones, factoriza numeradores y denominadores para simplificar antes de operar. Esto te ahorra cálculos innecesarios.
Para dividir fracciones, multiplica por la inversa de la segunda fracción. Es el mismo truco que usas con fracciones numéricas.
Truco pro: Factoriza siempre antes de operar. Te simplificará mucho el trabajo y evitarás errores de cálculo.

Al trabajar con expresiones como x² - 9, recuerda que es una diferencia de cuadrados: . Esta factorización te facilitará mucho las operaciones.
Cuando tengas fracciones complicadas, busca factores comunes que puedas cancelar. Por ejemplo, en el numerador y denominador se pueden eliminar.
Si aparece algo como y , recuerda que = -. Esto te permite simplificar sacando el signo negativo.
Consejo: Las diferencias de cuadrados siempre se factorizan como . ¡Apréndete esta fórmula!

En ecuaciones fraccionarias más complejas, el denominador común puede ser un producto de varios factores. Tómate tu tiempo para identificarlo correctamente.
Después de eliminar denominadores, a menudo obtienes ecuaciones cuadráticas. Resuélvelas con la fórmula habitual y no olvides verificar las soluciones.
Algunas ecuaciones pueden no tener solución válida si todas las respuestas hacen cero algún denominador. En ese caso, la ecuación no tiene solución real.
Importante: Si una solución hace que un denominador sea cero, descártala inmediatamente. No es una solución válida.

Las ecuaciones irracionales tienen la incógnita dentro de una raíz cuadrada. Para resolverlas, aísla primero la raíz en un lado de la ecuación.
Después eleva al cuadrado ambos lados para eliminar la raíz. Ten cuidado: este proceso puede introducir soluciones falsas, así que siempre debes comprobar el resultado.
Si hay dos raíces, aísla una primero, eleva al cuadrado, simplifica, y luego repite el proceso con la otra raíz.
¡Cuidado!: Al elevar al cuadrado pueden aparecer soluciones falsas. Comprueba SIEMPRE sustituyendo en la ecuación original.

Cuando tienes ecuaciones con múltiples radicales, como √ + √(3x) = 7, aísla una de las raíces y eleva al cuadrado.
Tras el primer cuadrado, suele quedar otra raíz. Repite el proceso: aísla la raíz restante y vuelve a elevar al cuadrado.
El proceso puede generar ecuaciones cuadráticas complicadas, pero no te desanimes. Resuelve paso a paso y siempre verifica que las soluciones funcionen en la ecuación original.
Estrategia: En ecuaciones con varias raíces, trabaja de una en una. Paciencia y verificación son clave para el éxito.
Nuestro compañero de IA está específicamente adaptado a las necesidades de los estudiantes. Basándonos en los millones de contenidos que tenemos en la plataforma, podemos dar a los estudiantes respuestas realmente significativas y relevantes. Pero no se trata solo de respuestas, el compañero también guía a los estudiantes a través de sus retos de aprendizaje diarios, con planes de aprendizaje personalizados, cuestionarios o contenidos en el chat y una personalización del 100% basada en las habilidades y el desarrollo de los estudiantes.
Puedes descargar la app en Google Play Store y Apple App Store.
Sí, tienes acceso gratuito a los contenidos de la aplicación y a nuestro compañero de IA. Para desbloquear determinadas funciones de la aplicación, puedes adquirir Knowunity Pro.
App Store
Google Play
La app es muy fácil de usar y está muy bien diseñada. Hasta ahora he encontrado todo lo que estaba buscando y he podido aprender mucho de las presentaciones. Definitivamente utilizaré la aplicación para un examen de clase. Y, por supuesto, también me sirve mucho de inspiración.
Pablo
usuario de iOS
Esta app es realmente genial. Hay tantos apuntes de clase y ayuda [...]. Tengo problemas con matemáticas, por ejemplo, y la aplicación tiene muchas opciones de ayuda. Gracias a Knowunity, he mejorado en mates. Se la recomiendo a todo el mundo.
Elena
usuaria de Android
Vaya, estoy realmente sorprendida. Acabo de probar la app porque la he visto anunciada muchas veces y me he quedado absolutamente alucinada. Esta app es LA AYUDA que quieres para el insti y, sobre todo, ofrece muchísimas cosas, como ejercicios y hojas informativas, que a mí personalmente me han sido MUY útiles.
Ana
usuaria de iOS
Está app es muy buena, tiene apuntes que son de mucha ayuda y su IA es fantástica, te explica a la perfección y muy fácil de entender lo que necesites, te ayuda con los deberes, te hace esquemas... en definitiva es una muy buena opción!
Sophia
usuario de Android
Me encanta!!! Me resuelve todo con detalle y me da la explicación correcta. Tiene un montón de funciones, ami me ha ido genial!! Os la recomiendo!!!
Marta
usuaria de Android
La uso casi diariamente, sirve para todas las asignaturas. Yo, por ejemplo la utilizo más en inglés porque se me da bastante mal, ¡Todas las respuestas están correctas! Consta con personas reales que suben sus apuntes y IA para que puedas hacer los deberes muchísimo más fácil, la recomiendo.
Izan
usuario de iOS
¡La app es buenísima! Sólo tengo que introducir el tema en la barra de búsqueda y recibo la respuesta muy rápido. No tengo que ver 10 vídeos de YouTube para entender algo, así que me ahorro tiempo. ¡Muy recomendable!
Sara
usuaria de Android
En el instituto era muy malo en matemáticas, pero gracias a la app, ahora saco mejores notas. Os agradezco mucho que hayáis creado la aplicación.
Roberto
usuario de Android
Esto no es como Chatgpt, es MUCHISMO MEJOR, te hace unos resúmenes espectaculares y gracias a esta app pase de sacar 5-6 a sacar 8-9.
Julyana
usuaria de Android
Es la mejor aplicación del mundo, la uso para revisar los deberes a mi hijo.
Javier
usuario de Android
LOS QUIZ Y FLASHCARDS SON SÚPER ÚTILES Y ME ENCANTA Knowunity IA. ADEMÁS ES LITERALMENTE COMO CHATGPT PERO MÁS LISTO!! ME AYUDÓ TAMBIÉN CON MIS PROBLEMAS DE MÁSCARA!! Y CON MIS ASIGNATURAS DE VERDAD! OBVIO 😍😁😲🤑💗✨🎀😮
Erick
usuario de Android
Me me encanta esta app, todo lo que tiene es de calidad ya que antes de ser publicado es revisado por un equipo de profesionales. Me ha ido genial esta aplicación ya que gracias a ella puedo estudiar mucho mejor, sin tener que agobiarme porque mi profesor no ha hecho teoría o porque no entiendo su teoría. Le doy un 10 de 10!
Mar
usuaria de iOS
La app es muy fácil de usar y está muy bien diseñada. Hasta ahora he encontrado todo lo que estaba buscando y he podido aprender mucho de las presentaciones. Definitivamente utilizaré la aplicación para un examen de clase. Y, por supuesto, también me sirve mucho de inspiración.
Pablo
usuario de iOS
Esta app es realmente genial. Hay tantos apuntes de clase y ayuda [...]. Tengo problemas con matemáticas, por ejemplo, y la aplicación tiene muchas opciones de ayuda. Gracias a Knowunity, he mejorado en mates. Se la recomiendo a todo el mundo.
Elena
usuaria de Android
Vaya, estoy realmente sorprendida. Acabo de probar la app porque la he visto anunciada muchas veces y me he quedado absolutamente alucinada. Esta app es LA AYUDA que quieres para el insti y, sobre todo, ofrece muchísimas cosas, como ejercicios y hojas informativas, que a mí personalmente me han sido MUY útiles.
Ana
usuaria de iOS
Está app es muy buena, tiene apuntes que son de mucha ayuda y su IA es fantástica, te explica a la perfección y muy fácil de entender lo que necesites, te ayuda con los deberes, te hace esquemas... en definitiva es una muy buena opción!
Sophia
usuario de Android
Me encanta!!! Me resuelve todo con detalle y me da la explicación correcta. Tiene un montón de funciones, ami me ha ido genial!! Os la recomiendo!!!
Marta
usuaria de Android
La uso casi diariamente, sirve para todas las asignaturas. Yo, por ejemplo la utilizo más en inglés porque se me da bastante mal, ¡Todas las respuestas están correctas! Consta con personas reales que suben sus apuntes y IA para que puedas hacer los deberes muchísimo más fácil, la recomiendo.
Izan
usuario de iOS
¡La app es buenísima! Sólo tengo que introducir el tema en la barra de búsqueda y recibo la respuesta muy rápido. No tengo que ver 10 vídeos de YouTube para entender algo, así que me ahorro tiempo. ¡Muy recomendable!
Sara
usuaria de Android
En el instituto era muy malo en matemáticas, pero gracias a la app, ahora saco mejores notas. Os agradezco mucho que hayáis creado la aplicación.
Roberto
usuario de Android
Esto no es como Chatgpt, es MUCHISMO MEJOR, te hace unos resúmenes espectaculares y gracias a esta app pase de sacar 5-6 a sacar 8-9.
Julyana
usuaria de Android
Es la mejor aplicación del mundo, la uso para revisar los deberes a mi hijo.
Javier
usuario de Android
LOS QUIZ Y FLASHCARDS SON SÚPER ÚTILES Y ME ENCANTA Knowunity IA. ADEMÁS ES LITERALMENTE COMO CHATGPT PERO MÁS LISTO!! ME AYUDÓ TAMBIÉN CON MIS PROBLEMAS DE MÁSCARA!! Y CON MIS ASIGNATURAS DE VERDAD! OBVIO 😍😁😲🤑💗✨🎀😮
Erick
usuario de Android
Me me encanta esta app, todo lo que tiene es de calidad ya que antes de ser publicado es revisado por un equipo de profesionales. Me ha ido genial esta aplicación ya que gracias a ella puedo estudiar mucho mejor, sin tener que agobiarme porque mi profesor no ha hecho teoría o porque no entiendo su teoría. Le doy un 10 de 10!
Mar
usuaria de iOS
Carla
@carla.blink
¿Te dan miedo las ecuaciones? ¡No te preocupes! Las ecuaciones son como puzzles matemáticos que puedes resolver paso a paso. En este tema aprenderás a resolver desde las más sencillas ecuaciones de primer grado hasta las más complicadas ecuaciones irracionales.

Acceso a todos los documentos
Mejora tus notas
Únete a millones de estudiantes
Las ecuaciones de primer grado tienen la forma ax + b = 0 y son las más fáciles de resolver. Solo necesitas despejar la x moviendo números de un lado al otro.
Para resolverlas con fracciones, multiplica toda la ecuación por el denominador común. Así te libras de las fracciones y trabajas solo con números enteros.
Las ecuaciones de segundo grado tienen la forma ax² + bx + c = 0 y siempre las resuelves con la fórmula: x = / 2a. Esta fórmula te dará dos soluciones (o una repetida).
Truco: Siempre comprueba tus soluciones sustituyendo en la ecuación original. ¡Te ahorrará muchos errores!

Acceso a todos los documentos
Mejora tus notas
Únete a millones de estudiantes
Cuando la ecuación tiene exponentes mayores que 2, puedes usar cambio de variable. Por ejemplo, si tienes x⁶, haces z = x³ y trabajas con z².
Las ecuaciones factorizadas como = 0 son súper fáciles. Si un producto es cero, uno de los factores debe ser cero. Así que 2x-1 = 0 ó x-5 = 0.
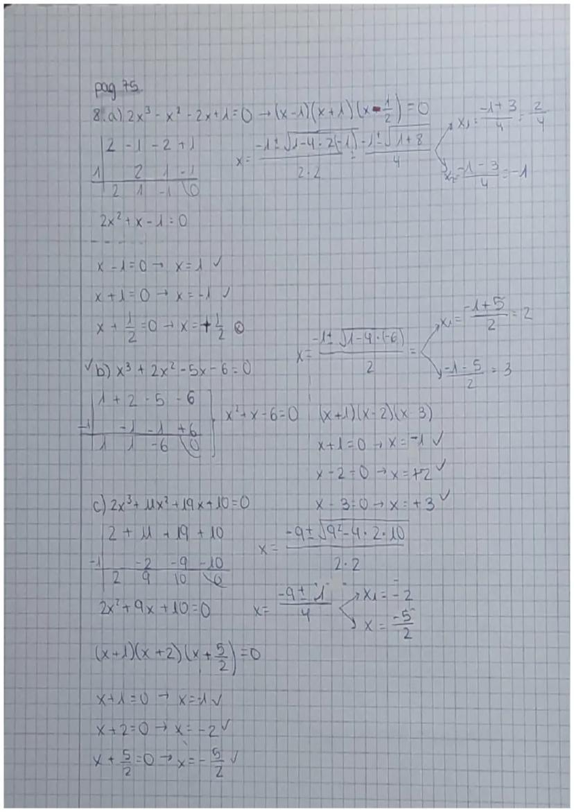
Para factorizar ecuaciones de tercer grado, busca una raíz probando con números sencillos (±1, ±2, ±3...). Una vez encontrada, divides el polinomio.
Consejo: Las ecuaciones factorizadas son un regalo. ¡Aprovéchalas porque son las más rápidas de resolver!

Acceso a todos los documentos
Mejora tus notas
Únete a millones de estudiantes
Cuando factorizas un polinomio cúbico, primero encuentras una raíz por tanteo. Después aplicas la división de polinomios para obtener un factor cuadrático.
El resultado final será algo como = 0. La primera parte te da una solución directa, y la segunda la resuelves con la fórmula cuadrática.
Algunos polinomios tienen raíces múltiples. Esto significa que la misma solución aparece varias veces, como en ² = 0, donde x = -2 es una raíz doble.
Importante: Una ecuación de grado n puede tener máximo n soluciones. ¡No te olvides de buscarlas todas!

Acceso a todos los documentos
Mejora tus notas
Únete a millones de estudiantes
Las ecuaciones fraccionarias tienen la incógnita en el denominador de alguna fracción. ¡Cuidado! Aquí hay trampa porque algunos valores pueden hacer cero el denominador.
El truco es multiplicar toda la ecuación por el denominador común. Así eliminas todas las fracciones y obtienes una ecuación normal.
Después de resolver, siempre comprueba que ninguna solución haga cero algún denominador de la ecuación original. Si lo hace, esa solución no es válida y debes descartarla.
¡Atención!: En ecuaciones fraccionarias, algunas soluciones matemáticamente correctas pueden ser inválidas. ¡Siempre verifica!

Acceso a todos los documentos
Mejora tus notas
Únete a millones de estudiantes
Para sumar o restar fracciones algebraicas, necesitas encontrar el denominador común. Factoriza cada denominador y toma todos los factores distintos con su mayor exponente.
Cuando multipliques fracciones, factoriza numeradores y denominadores para simplificar antes de operar. Esto te ahorra cálculos innecesarios.
Para dividir fracciones, multiplica por la inversa de la segunda fracción. Es el mismo truco que usas con fracciones numéricas.
Truco pro: Factoriza siempre antes de operar. Te simplificará mucho el trabajo y evitarás errores de cálculo.

Acceso a todos los documentos
Mejora tus notas
Únete a millones de estudiantes
Al trabajar con expresiones como x² - 9, recuerda que es una diferencia de cuadrados: . Esta factorización te facilitará mucho las operaciones.
Cuando tengas fracciones complicadas, busca factores comunes que puedas cancelar. Por ejemplo, en el numerador y denominador se pueden eliminar.
Si aparece algo como y , recuerda que = -. Esto te permite simplificar sacando el signo negativo.
Consejo: Las diferencias de cuadrados siempre se factorizan como . ¡Apréndete esta fórmula!

Acceso a todos los documentos
Mejora tus notas
Únete a millones de estudiantes
En ecuaciones fraccionarias más complejas, el denominador común puede ser un producto de varios factores. Tómate tu tiempo para identificarlo correctamente.
Después de eliminar denominadores, a menudo obtienes ecuaciones cuadráticas. Resuélvelas con la fórmula habitual y no olvides verificar las soluciones.
Algunas ecuaciones pueden no tener solución válida si todas las respuestas hacen cero algún denominador. En ese caso, la ecuación no tiene solución real.
Importante: Si una solución hace que un denominador sea cero, descártala inmediatamente. No es una solución válida.

Acceso a todos los documentos
Mejora tus notas
Únete a millones de estudiantes
Las ecuaciones irracionales tienen la incógnita dentro de una raíz cuadrada. Para resolverlas, aísla primero la raíz en un lado de la ecuación.
Después eleva al cuadrado ambos lados para eliminar la raíz. Ten cuidado: este proceso puede introducir soluciones falsas, así que siempre debes comprobar el resultado.
Si hay dos raíces, aísla una primero, eleva al cuadrado, simplifica, y luego repite el proceso con la otra raíz.
¡Cuidado!: Al elevar al cuadrado pueden aparecer soluciones falsas. Comprueba SIEMPRE sustituyendo en la ecuación original.

Acceso a todos los documentos
Mejora tus notas
Únete a millones de estudiantes
Cuando tienes ecuaciones con múltiples radicales, como √ + √(3x) = 7, aísla una de las raíces y eleva al cuadrado.
Tras el primer cuadrado, suele quedar otra raíz. Repite el proceso: aísla la raíz restante y vuelve a elevar al cuadrado.
El proceso puede generar ecuaciones cuadráticas complicadas, pero no te desanimes. Resuelve paso a paso y siempre verifica que las soluciones funcionen en la ecuación original.
Estrategia: En ecuaciones con varias raíces, trabaja de una en una. Paciencia y verificación son clave para el éxito.
Nuestro compañero de IA está específicamente adaptado a las necesidades de los estudiantes. Basándonos en los millones de contenidos que tenemos en la plataforma, podemos dar a los estudiantes respuestas realmente significativas y relevantes. Pero no se trata solo de respuestas, el compañero también guía a los estudiantes a través de sus retos de aprendizaje diarios, con planes de aprendizaje personalizados, cuestionarios o contenidos en el chat y una personalización del 100% basada en las habilidades y el desarrollo de los estudiantes.
Puedes descargar la app en Google Play Store y Apple App Store.
Sí, tienes acceso gratuito a los contenidos de la aplicación y a nuestro compañero de IA. Para desbloquear determinadas funciones de la aplicación, puedes adquirir Knowunity Pro.
6
Herramientas Inteligentes NUEVO
Transforma estos apuntes en: ✓ 50+ Preguntas de Práctica ✓ Flashcards Interactivas ✓ Examen Completo de Práctica ✓ Esquemas de Ensayo
Ecuaciones e Inecuaciones. 4° ESO académicas
Inecuaciones de primer grado, inecuaciones de grado mayor que uno, Inecuaciones racionales, sistema de Inecuaciones con una incógnita, sistema de inecuaciones con dos incógnitas
Ejercicios resueltos y teoría de las inecuaciones de primer grado
Ejercicios y teoría de: inecuaciones de grado 1, inecuaciones de grado 2, inecuaciones de grado mayor q 2, sistemas de inecuaciones, inecuaciones de fracciones algebraicas, inecuaciones con 2 incógnitas y sistemas de inecuaciones con 2 incógnitas.
Sistemas de ecuaciones lineales, Sistemas de ecuaciones no lineales, Inecuaciones con una incógnita, Inecuaciones con dos incógnitas
Resumen de métodos de resolución de sistemas de ecuaciones lineales, incluyendo sustitución, igualación y gráficos.
App Store
Google Play
La app es muy fácil de usar y está muy bien diseñada. Hasta ahora he encontrado todo lo que estaba buscando y he podido aprender mucho de las presentaciones. Definitivamente utilizaré la aplicación para un examen de clase. Y, por supuesto, también me sirve mucho de inspiración.
Pablo
usuario de iOS
Esta app es realmente genial. Hay tantos apuntes de clase y ayuda [...]. Tengo problemas con matemáticas, por ejemplo, y la aplicación tiene muchas opciones de ayuda. Gracias a Knowunity, he mejorado en mates. Se la recomiendo a todo el mundo.
Elena
usuaria de Android
Vaya, estoy realmente sorprendida. Acabo de probar la app porque la he visto anunciada muchas veces y me he quedado absolutamente alucinada. Esta app es LA AYUDA que quieres para el insti y, sobre todo, ofrece muchísimas cosas, como ejercicios y hojas informativas, que a mí personalmente me han sido MUY útiles.
Ana
usuaria de iOS
Está app es muy buena, tiene apuntes que son de mucha ayuda y su IA es fantástica, te explica a la perfección y muy fácil de entender lo que necesites, te ayuda con los deberes, te hace esquemas... en definitiva es una muy buena opción!
Sophia
usuario de Android
Me encanta!!! Me resuelve todo con detalle y me da la explicación correcta. Tiene un montón de funciones, ami me ha ido genial!! Os la recomiendo!!!
Marta
usuaria de Android
La uso casi diariamente, sirve para todas las asignaturas. Yo, por ejemplo la utilizo más en inglés porque se me da bastante mal, ¡Todas las respuestas están correctas! Consta con personas reales que suben sus apuntes y IA para que puedas hacer los deberes muchísimo más fácil, la recomiendo.
Izan
usuario de iOS
¡La app es buenísima! Sólo tengo que introducir el tema en la barra de búsqueda y recibo la respuesta muy rápido. No tengo que ver 10 vídeos de YouTube para entender algo, así que me ahorro tiempo. ¡Muy recomendable!
Sara
usuaria de Android
En el instituto era muy malo en matemáticas, pero gracias a la app, ahora saco mejores notas. Os agradezco mucho que hayáis creado la aplicación.
Roberto
usuario de Android
Esto no es como Chatgpt, es MUCHISMO MEJOR, te hace unos resúmenes espectaculares y gracias a esta app pase de sacar 5-6 a sacar 8-9.
Julyana
usuaria de Android
Es la mejor aplicación del mundo, la uso para revisar los deberes a mi hijo.
Javier
usuario de Android
LOS QUIZ Y FLASHCARDS SON SÚPER ÚTILES Y ME ENCANTA Knowunity IA. ADEMÁS ES LITERALMENTE COMO CHATGPT PERO MÁS LISTO!! ME AYUDÓ TAMBIÉN CON MIS PROBLEMAS DE MÁSCARA!! Y CON MIS ASIGNATURAS DE VERDAD! OBVIO 😍😁😲🤑💗✨🎀😮
Erick
usuario de Android
Me me encanta esta app, todo lo que tiene es de calidad ya que antes de ser publicado es revisado por un equipo de profesionales. Me ha ido genial esta aplicación ya que gracias a ella puedo estudiar mucho mejor, sin tener que agobiarme porque mi profesor no ha hecho teoría o porque no entiendo su teoría. Le doy un 10 de 10!
Mar
usuaria de iOS
La app es muy fácil de usar y está muy bien diseñada. Hasta ahora he encontrado todo lo que estaba buscando y he podido aprender mucho de las presentaciones. Definitivamente utilizaré la aplicación para un examen de clase. Y, por supuesto, también me sirve mucho de inspiración.
Pablo
usuario de iOS
Esta app es realmente genial. Hay tantos apuntes de clase y ayuda [...]. Tengo problemas con matemáticas, por ejemplo, y la aplicación tiene muchas opciones de ayuda. Gracias a Knowunity, he mejorado en mates. Se la recomiendo a todo el mundo.
Elena
usuaria de Android
Vaya, estoy realmente sorprendida. Acabo de probar la app porque la he visto anunciada muchas veces y me he quedado absolutamente alucinada. Esta app es LA AYUDA que quieres para el insti y, sobre todo, ofrece muchísimas cosas, como ejercicios y hojas informativas, que a mí personalmente me han sido MUY útiles.
Ana
usuaria de iOS
Está app es muy buena, tiene apuntes que son de mucha ayuda y su IA es fantástica, te explica a la perfección y muy fácil de entender lo que necesites, te ayuda con los deberes, te hace esquemas... en definitiva es una muy buena opción!
Sophia
usuario de Android
Me encanta!!! Me resuelve todo con detalle y me da la explicación correcta. Tiene un montón de funciones, ami me ha ido genial!! Os la recomiendo!!!
Marta
usuaria de Android
La uso casi diariamente, sirve para todas las asignaturas. Yo, por ejemplo la utilizo más en inglés porque se me da bastante mal, ¡Todas las respuestas están correctas! Consta con personas reales que suben sus apuntes y IA para que puedas hacer los deberes muchísimo más fácil, la recomiendo.
Izan
usuario de iOS
¡La app es buenísima! Sólo tengo que introducir el tema en la barra de búsqueda y recibo la respuesta muy rápido. No tengo que ver 10 vídeos de YouTube para entender algo, así que me ahorro tiempo. ¡Muy recomendable!
Sara
usuaria de Android
En el instituto era muy malo en matemáticas, pero gracias a la app, ahora saco mejores notas. Os agradezco mucho que hayáis creado la aplicación.
Roberto
usuario de Android
Esto no es como Chatgpt, es MUCHISMO MEJOR, te hace unos resúmenes espectaculares y gracias a esta app pase de sacar 5-6 a sacar 8-9.
Julyana
usuaria de Android
Es la mejor aplicación del mundo, la uso para revisar los deberes a mi hijo.
Javier
usuario de Android
LOS QUIZ Y FLASHCARDS SON SÚPER ÚTILES Y ME ENCANTA Knowunity IA. ADEMÁS ES LITERALMENTE COMO CHATGPT PERO MÁS LISTO!! ME AYUDÓ TAMBIÉN CON MIS PROBLEMAS DE MÁSCARA!! Y CON MIS ASIGNATURAS DE VERDAD! OBVIO 😍😁😲🤑💗✨🎀😮
Erick
usuario de Android
Me me encanta esta app, todo lo que tiene es de calidad ya que antes de ser publicado es revisado por un equipo de profesionales. Me ha ido genial esta aplicación ya que gracias a ella puedo estudiar mucho mejor, sin tener que agobiarme porque mi profesor no ha hecho teoría o porque no entiendo su teoría. Le doy un 10 de 10!
Mar
usuaria de iOS