Abrir la app

Asignaturas

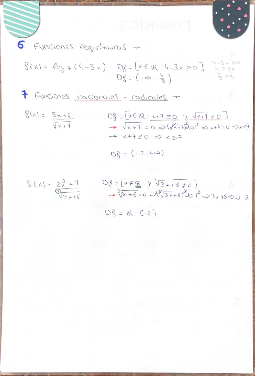
Entendiendo el dominio de las funciones matemáticas

3

0

O

olivia

20/12/2025

Matemáticas

Dominio de funciones

225

20 dic 2025

2 páginas

Entendiendo el dominio de las funciones matemáticas

O

olivia

@olivia_5hrht

Los dominios de funciones son fundamentales para entender qué valores... Mostrar más

--- OCR Start ---
DOMINIOS:
1 Función lineal → Df=IR
2 Función Cuadratica
- Df=IR
3 Función racional
f(x)=\frac{3x}{2x-4}
bf=[x\in iR:2x-4\n

Dominios de Funciones: Guía Completa

¿Te has preguntado por qué algunas funciones "no funcionan" con ciertos números? El dominio de una función te dice exactamente qué valores de x puedes usar sin que las matemáticas se vuelvan locas.

Las funciones lineales como f(x) = 2x + 3 son las más sencillas: su dominio es todos los números reales (ℝ). Lo mismo pasa con las funciones cuadráticas como f(x) = x² - 4, que también aceptan cualquier valor real.

Las funciones racionales son más exigentes porque tienen x en el denominador. Para f(x) = 3x/2x42x-4, necesitas evitar que el denominador sea cero: 2x-4 ≠ 0, entonces x ≠ 2. El dominio sería ℝ - {2}.

Truco clave: En funciones racionales, iguala el denominador a cero y resuelve para encontrar los valores prohibidos.

Las funciones radicales con índice par (como √x) solo aceptan valores que hagan positiva la expresión bajo la raíz. Para f(x) = √2x92x-9, necesitas 2x-9 ≥ 0, por lo que x ≥ 9/2. Sin embargo, las raíces cúbicas (∛x) aceptan cualquier número real.

Las funciones exponenciales como f(x) = 2^x son geniales: su dominio siempre es todos los números reales porque puedes elevar cualquier número positivo a cualquier potencia.

--- OCR Start ---
DOMINIOS:
1 Función lineal → Df=IR
2 Función Cuadratica
- Df=IR
3 Función racional
f(x)=\frac{3x}{2x-4}
bf=[x\in iR:2x-4\n


Pensamos que nunca lo preguntarías...

¿Qué es Knowunity AI companion?

Nuestro compañero de IA está específicamente adaptado a las necesidades de los estudiantes. Basándonos en los millones de contenidos que tenemos en la plataforma, podemos dar a los estudiantes respuestas realmente significativas y relevantes. Pero no se trata solo de respuestas, el compañero también guía a los estudiantes a través de sus retos de aprendizaje diarios, con planes de aprendizaje personalizados, cuestionarios o contenidos en el chat y una personalización del 100% basada en las habilidades y el desarrollo de los estudiantes.

¿Dónde puedo descargar la app Knowunity?

Puedes descargar la app en Google Play Store y Apple App Store.

¿Knowunity es totalmente gratuito?

Sí, tienes acceso gratuito a los contenidos de la aplicación y a nuestro compañero de IA. Para desbloquear determinadas funciones de la aplicación, puedes adquirir Knowunity Pro.

¿No encuentras lo que buscas? Explora otros temas.

Mira lo que dicen nuestros usuarios. Les encanta - y a tí también.

4.9/5

App Store

4.8/5

Google Play

La app es muy fácil de usar y está muy bien diseñada. Hasta ahora he encontrado todo lo que estaba buscando y he podido aprender mucho de las presentaciones. Definitivamente utilizaré la aplicación para un examen de clase. Y, por supuesto, también me sirve mucho de inspiración.

Pablo

usuario de iOS

Esta app es realmente genial. Hay tantos apuntes de clase y ayuda [...]. Tengo problemas con matemáticas, por ejemplo, y la aplicación tiene muchas opciones de ayuda. Gracias a Knowunity, he mejorado en mates. Se la recomiendo a todo el mundo.

Elena

usuaria de Android

Vaya, estoy realmente sorprendida. Acabo de probar la app porque la he visto anunciada muchas veces y me he quedado absolutamente alucinada. Esta app es LA AYUDA que quieres para el insti y, sobre todo, ofrece muchísimas cosas, como ejercicios y hojas informativas, que a mí personalmente me han sido MUY útiles.

Ana

usuaria de iOS

Está app es muy buena, tiene apuntes que son de mucha ayuda y su IA es fantástica, te explica a la perfección y muy fácil de entender lo que necesites, te ayuda con los deberes, te hace esquemas... en definitiva es una muy buena opción!

Sophia

usuario de Android

Me encanta!!! Me resuelve todo con detalle y me da la explicación correcta. Tiene un montón de funciones, ami me ha ido genial!! Os la recomiendo!!!

Marta

usuaria de Android

La uso casi diariamente, sirve para todas las asignaturas. Yo, por ejemplo la utilizo más en inglés porque se me da bastante mal, ¡Todas las respuestas están correctas! Consta con personas reales que suben sus apuntes y IA para que puedas hacer los deberes muchísimo más fácil, la recomiendo.

Izan

usuario de iOS

¡La app es buenísima! Sólo tengo que introducir el tema en la barra de búsqueda y recibo la respuesta muy rápido. No tengo que ver 10 vídeos de YouTube para entender algo, así que me ahorro tiempo. ¡Muy recomendable!

Sara

usuaria de Android

En el instituto era muy malo en matemáticas, pero gracias a la app, ahora saco mejores notas. Os agradezco mucho que hayáis creado la aplicación.

Roberto

usuario de Android

Esto no es como Chatgpt, es MUCHISMO MEJOR, te hace unos resúmenes espectaculares y gracias a esta app pase de sacar 5-6 a sacar 8-9.

Julyana

usuaria de Android

Es la mejor aplicación del mundo, la uso para revisar los deberes a mi hijo.

Javier

usuario de Android

Sinceramente me ha salvado los estudios. Recomiendo la aplicación 100%.

Erick

usuario de Android

Me me encanta esta app, todo lo que tiene es de calidad ya que antes de ser publicado es revisado por un equipo de profesionales. Me ha ido genial esta aplicación ya que gracias a ella puedo estudiar mucho mejor, sin tener que agobiarme porque mi profesor no ha hecho teoría o porque no entiendo su teoría. Le doy un 10 de 10!

Mar

usuaria de iOS

La app es muy fácil de usar y está muy bien diseñada. Hasta ahora he encontrado todo lo que estaba buscando y he podido aprender mucho de las presentaciones. Definitivamente utilizaré la aplicación para un examen de clase. Y, por supuesto, también me sirve mucho de inspiración.

Pablo

usuario de iOS

Esta app es realmente genial. Hay tantos apuntes de clase y ayuda [...]. Tengo problemas con matemáticas, por ejemplo, y la aplicación tiene muchas opciones de ayuda. Gracias a Knowunity, he mejorado en mates. Se la recomiendo a todo el mundo.

Elena

usuaria de Android

Vaya, estoy realmente sorprendida. Acabo de probar la app porque la he visto anunciada muchas veces y me he quedado absolutamente alucinada. Esta app es LA AYUDA que quieres para el insti y, sobre todo, ofrece muchísimas cosas, como ejercicios y hojas informativas, que a mí personalmente me han sido MUY útiles.

Ana

usuaria de iOS

Está app es muy buena, tiene apuntes que son de mucha ayuda y su IA es fantástica, te explica a la perfección y muy fácil de entender lo que necesites, te ayuda con los deberes, te hace esquemas... en definitiva es una muy buena opción!

Sophia

usuario de Android

Me encanta!!! Me resuelve todo con detalle y me da la explicación correcta. Tiene un montón de funciones, ami me ha ido genial!! Os la recomiendo!!!

Marta

usuaria de Android

La uso casi diariamente, sirve para todas las asignaturas. Yo, por ejemplo la utilizo más en inglés porque se me da bastante mal, ¡Todas las respuestas están correctas! Consta con personas reales que suben sus apuntes y IA para que puedas hacer los deberes muchísimo más fácil, la recomiendo.

Izan

usuario de iOS

¡La app es buenísima! Sólo tengo que introducir el tema en la barra de búsqueda y recibo la respuesta muy rápido. No tengo que ver 10 vídeos de YouTube para entender algo, así que me ahorro tiempo. ¡Muy recomendable!

Sara

usuaria de Android

En el instituto era muy malo en matemáticas, pero gracias a la app, ahora saco mejores notas. Os agradezco mucho que hayáis creado la aplicación.

Roberto

usuario de Android

Esto no es como Chatgpt, es MUCHISMO MEJOR, te hace unos resúmenes espectaculares y gracias a esta app pase de sacar 5-6 a sacar 8-9.

Julyana

usuaria de Android

Es la mejor aplicación del mundo, la uso para revisar los deberes a mi hijo.

Javier

usuario de Android

Sinceramente me ha salvado los estudios. Recomiendo la aplicación 100%.

Erick

usuario de Android

Me me encanta esta app, todo lo que tiene es de calidad ya que antes de ser publicado es revisado por un equipo de profesionales. Me ha ido genial esta aplicación ya que gracias a ella puedo estudiar mucho mejor, sin tener que agobiarme porque mi profesor no ha hecho teoría o porque no entiendo su teoría. Le doy un 10 de 10!

Mar

usuaria de iOS

 

Matemáticas

225

20 dic 2025

2 páginas

Entendiendo el dominio de las funciones matemáticas

O

olivia

@olivia_5hrht

Los dominios de funciones son fundamentales para entender qué valores puede tomar la variable x en cualquier función. Dominar este concepto te ayudará a resolver problemas matemáticos con confianza y precisión.

--- OCR Start ---
DOMINIOS:
1 Función lineal → Df=IR
2 Función Cuadratica
- Df=IR
3 Función racional
f(x)=\frac{3x}{2x-4}
bf=[x\in iR:2x-4\n

Inscríbete para ver los apuntes¡Es gratis!

Acceso a todos los documentos

Mejora tus notas

Únete a millones de estudiantes

Al registrarte aceptas las Condiciones del servicio y la Política de privacidad.

Dominios de Funciones: Guía Completa

¿Te has preguntado por qué algunas funciones "no funcionan" con ciertos números? El dominio de una función te dice exactamente qué valores de x puedes usar sin que las matemáticas se vuelvan locas.

Las funciones lineales como f(x) = 2x + 3 son las más sencillas: su dominio es todos los números reales (ℝ). Lo mismo pasa con las funciones cuadráticas como f(x) = x² - 4, que también aceptan cualquier valor real.

Las funciones racionales son más exigentes porque tienen x en el denominador. Para f(x) = 3x/2x42x-4, necesitas evitar que el denominador sea cero: 2x-4 ≠ 0, entonces x ≠ 2. El dominio sería ℝ - {2}.

Truco clave: En funciones racionales, iguala el denominador a cero y resuelve para encontrar los valores prohibidos.

Las funciones radicales con índice par (como √x) solo aceptan valores que hagan positiva la expresión bajo la raíz. Para f(x) = √2x92x-9, necesitas 2x-9 ≥ 0, por lo que x ≥ 9/2. Sin embargo, las raíces cúbicas (∛x) aceptan cualquier número real.

Las funciones exponenciales como f(x) = 2^x son geniales: su dominio siempre es todos los números reales porque puedes elevar cualquier número positivo a cualquier potencia.

--- OCR Start ---
DOMINIOS:
1 Función lineal → Df=IR
2 Función Cuadratica
- Df=IR
3 Función racional
f(x)=\frac{3x}{2x-4}
bf=[x\in iR:2x-4\n

Inscríbete para ver los apuntes¡Es gratis!

Acceso a todos los documentos

Mejora tus notas

Únete a millones de estudiantes

Al registrarte aceptas las Condiciones del servicio y la Política de privacidad.

Pensamos que nunca lo preguntarías...

¿Qué es Knowunity AI companion?

Nuestro compañero de IA está específicamente adaptado a las necesidades de los estudiantes. Basándonos en los millones de contenidos que tenemos en la plataforma, podemos dar a los estudiantes respuestas realmente significativas y relevantes. Pero no se trata solo de respuestas, el compañero también guía a los estudiantes a través de sus retos de aprendizaje diarios, con planes de aprendizaje personalizados, cuestionarios o contenidos en el chat y una personalización del 100% basada en las habilidades y el desarrollo de los estudiantes.

¿Dónde puedo descargar la app Knowunity?

Puedes descargar la app en Google Play Store y Apple App Store.

¿Knowunity es totalmente gratuito?

Sí, tienes acceso gratuito a los contenidos de la aplicación y a nuestro compañero de IA. Para desbloquear determinadas funciones de la aplicación, puedes adquirir Knowunity Pro.

3

Herramientas Inteligentes NUEVO

Transforma estos apuntes en: ✓ 50+ Preguntas de Práctica ✓ Flashcards Interactivas ✓ Examen Completo de Práctica ✓ Esquemas de Ensayo

Examen de Práctica
Quiz
Fichas
Ensayo

¿No encuentras lo que buscas? Explora otros temas.

Mira lo que dicen nuestros usuarios. Les encanta - y a tí también.

4.9/5

App Store

4.8/5

Google Play

La app es muy fácil de usar y está muy bien diseñada. Hasta ahora he encontrado todo lo que estaba buscando y he podido aprender mucho de las presentaciones. Definitivamente utilizaré la aplicación para un examen de clase. Y, por supuesto, también me sirve mucho de inspiración.

Pablo

usuario de iOS

Esta app es realmente genial. Hay tantos apuntes de clase y ayuda [...]. Tengo problemas con matemáticas, por ejemplo, y la aplicación tiene muchas opciones de ayuda. Gracias a Knowunity, he mejorado en mates. Se la recomiendo a todo el mundo.

Elena

usuaria de Android

Vaya, estoy realmente sorprendida. Acabo de probar la app porque la he visto anunciada muchas veces y me he quedado absolutamente alucinada. Esta app es LA AYUDA que quieres para el insti y, sobre todo, ofrece muchísimas cosas, como ejercicios y hojas informativas, que a mí personalmente me han sido MUY útiles.

Ana

usuaria de iOS

Está app es muy buena, tiene apuntes que son de mucha ayuda y su IA es fantástica, te explica a la perfección y muy fácil de entender lo que necesites, te ayuda con los deberes, te hace esquemas... en definitiva es una muy buena opción!

Sophia

usuario de Android

Me encanta!!! Me resuelve todo con detalle y me da la explicación correcta. Tiene un montón de funciones, ami me ha ido genial!! Os la recomiendo!!!

Marta

usuaria de Android

La uso casi diariamente, sirve para todas las asignaturas. Yo, por ejemplo la utilizo más en inglés porque se me da bastante mal, ¡Todas las respuestas están correctas! Consta con personas reales que suben sus apuntes y IA para que puedas hacer los deberes muchísimo más fácil, la recomiendo.

Izan

usuario de iOS

¡La app es buenísima! Sólo tengo que introducir el tema en la barra de búsqueda y recibo la respuesta muy rápido. No tengo que ver 10 vídeos de YouTube para entender algo, así que me ahorro tiempo. ¡Muy recomendable!

Sara

usuaria de Android

En el instituto era muy malo en matemáticas, pero gracias a la app, ahora saco mejores notas. Os agradezco mucho que hayáis creado la aplicación.

Roberto

usuario de Android

Esto no es como Chatgpt, es MUCHISMO MEJOR, te hace unos resúmenes espectaculares y gracias a esta app pase de sacar 5-6 a sacar 8-9.

Julyana

usuaria de Android

Es la mejor aplicación del mundo, la uso para revisar los deberes a mi hijo.

Javier

usuario de Android

Sinceramente me ha salvado los estudios. Recomiendo la aplicación 100%.

Erick

usuario de Android

Me me encanta esta app, todo lo que tiene es de calidad ya que antes de ser publicado es revisado por un equipo de profesionales. Me ha ido genial esta aplicación ya que gracias a ella puedo estudiar mucho mejor, sin tener que agobiarme porque mi profesor no ha hecho teoría o porque no entiendo su teoría. Le doy un 10 de 10!

Mar

usuaria de iOS

La app es muy fácil de usar y está muy bien diseñada. Hasta ahora he encontrado todo lo que estaba buscando y he podido aprender mucho de las presentaciones. Definitivamente utilizaré la aplicación para un examen de clase. Y, por supuesto, también me sirve mucho de inspiración.

Pablo

usuario de iOS

Esta app es realmente genial. Hay tantos apuntes de clase y ayuda [...]. Tengo problemas con matemáticas, por ejemplo, y la aplicación tiene muchas opciones de ayuda. Gracias a Knowunity, he mejorado en mates. Se la recomiendo a todo el mundo.

Elena

usuaria de Android

Vaya, estoy realmente sorprendida. Acabo de probar la app porque la he visto anunciada muchas veces y me he quedado absolutamente alucinada. Esta app es LA AYUDA que quieres para el insti y, sobre todo, ofrece muchísimas cosas, como ejercicios y hojas informativas, que a mí personalmente me han sido MUY útiles.

Ana

usuaria de iOS

Está app es muy buena, tiene apuntes que son de mucha ayuda y su IA es fantástica, te explica a la perfección y muy fácil de entender lo que necesites, te ayuda con los deberes, te hace esquemas... en definitiva es una muy buena opción!

Sophia

usuario de Android

Me encanta!!! Me resuelve todo con detalle y me da la explicación correcta. Tiene un montón de funciones, ami me ha ido genial!! Os la recomiendo!!!

Marta

usuaria de Android

La uso casi diariamente, sirve para todas las asignaturas. Yo, por ejemplo la utilizo más en inglés porque se me da bastante mal, ¡Todas las respuestas están correctas! Consta con personas reales que suben sus apuntes y IA para que puedas hacer los deberes muchísimo más fácil, la recomiendo.

Izan

usuario de iOS

¡La app es buenísima! Sólo tengo que introducir el tema en la barra de búsqueda y recibo la respuesta muy rápido. No tengo que ver 10 vídeos de YouTube para entender algo, así que me ahorro tiempo. ¡Muy recomendable!

Sara

usuaria de Android

En el instituto era muy malo en matemáticas, pero gracias a la app, ahora saco mejores notas. Os agradezco mucho que hayáis creado la aplicación.

Roberto

usuario de Android

Esto no es como Chatgpt, es MUCHISMO MEJOR, te hace unos resúmenes espectaculares y gracias a esta app pase de sacar 5-6 a sacar 8-9.

Julyana

usuaria de Android

Es la mejor aplicación del mundo, la uso para revisar los deberes a mi hijo.

Javier

usuario de Android

Sinceramente me ha salvado los estudios. Recomiendo la aplicación 100%.

Erick

usuario de Android

Me me encanta esta app, todo lo que tiene es de calidad ya que antes de ser publicado es revisado por un equipo de profesionales. Me ha ido genial esta aplicación ya que gracias a ella puedo estudiar mucho mejor, sin tener que agobiarme porque mi profesor no ha hecho teoría o porque no entiendo su teoría. Le doy un 10 de 10!

Mar

usuaria de iOS