Abrir la app

Asignaturas

1389

Actualizado 1 mar 2026

10 páginas

Guía de Derivadas y Aplicaciones para Bachillerato

user profile picture

Xiana

@laxitrabv

¿Alguna vez te has preguntado por qué las montañas rusas... Mostrar más

Page 1
Page 2
Page 3
Page 4
Page 5
Page 6
Page 7
Page 8
Page 9
Page 10
1 / 10
# Tema 2: Derivadas y aplicaciones

Concepto
Si una función f(x) es continua en x = a, se dice que la función f(x) es derivable en x = a si

Concepto de derivada y reglas básicas

Las derivadas miden exactamente cómo cambia una función en cada punto. Imagínate que tienes una gráfica: la derivada te dice si va subiendo, bajando o se mantiene horizontal.

La definición formal parece complicada, pero es sencilla: f'(a) = lim(h→0) f(a+h)f(a)f(a+h) - f(a)/h. Básicamente compara el valor de la función en un punto con el valor muy cerquita, y ve qué tan rápido cambia.

Si la derivada es positiva, la función crece. Si es negativa, decrece. Y si es cero, la función está "plana" en ese momento.

¡Truco importante! No memorices todas las reglas de derivación de golpe. Practica primero con las básicas (constantes, potencias, exponenciales) y luego ve añadiendo las trigonométricas y logarítmicas.

Las reglas más útiles que vas a usar constantemente son: derivada de una constante es 0, derivada de x^n es n·x^n1n-1, y para funciones compuestas usas la regla de la cadena multiplicando por la derivada de la función interior.

# Tema 2: Derivadas y aplicaciones

Concepto
Si una función f(x) es continua en x = a, se dice que la función f(x) es derivable en x = a si

Interpretación geométrica y derivabilidad

Aquí viene lo genial: la derivada es la pendiente de la recta tangente a la curva en ese punto. Es como si pusieras una regla tocando la curva en un solo punto: esa inclinación es exactamente la derivada.

Una función puede fallar en ser derivable por tres razones principales. Primero, si no es continua en ese punto (tiene un salto). Segundo, si tiene un punto anguloso (como la punta de una "V"). Tercero, si tiene una tangente vertical.

Para estudiar derivabilidad en funciones a trozos, primero compruebas la continuidad. Luego calculas las derivadas laterales (por la izquierda y por la derecha) y verificas que coinciden.

¡Ojo con esto! En los exámenes suelen preguntar derivabilidad en el punto donde "cambia" la función a trozos. Siempre empieza comprobando continuidad antes de derivabilidad.

Cuando tienes parámetros desconocidos, planteas las condiciones de continuidad y derivabilidad como un sistema de ecuaciones. Es como un puzzle matemático que tienes que resolver.

# Tema 2: Derivadas y aplicaciones

Concepto
Si una función f(x) es continua en x = a, se dice que la función f(x) es derivable en x = a si

Funciones con parámetros y ecuaciones de rectas

Cuando estudias derivabilidad con parámetros desconocidos, básicamente resuelves un sistema. Igualas las condiciones de continuidad (límites laterales iguales) y derivabilidad (derivadas laterales iguales).

Las ecuaciones de rectas tangentes y normales tienen tres casos típicos. Si te dan el punto directamente, sustituyes y listo. Si te dan la pendiente, igualas f'(a) a esa pendiente y despejas el punto.

El caso más chungo es cuando la tangente pasa por un punto exterior. Aquí supones que el punto de tangencia es x = a, escribes la ecuación en función de a, y usas que la recta pasa por el punto dado para encontrar a.

Consejo de supervivencia: En el tercer caso, siempre pueden salir varias soluciones. Eso significa que hay varias rectas tangentes que pasan por ese punto exterior.

La ecuación de la recta normal es perpendicular a la tangente, así que su pendiente es -1/f'(a). Es como rotar la tangente 90 grados.

# Tema 2: Derivadas y aplicaciones

Concepto
Si una función f(x) es continua en x = a, se dice que la función f(x) es derivable en x = a si

Casos especiales de tangentes y normales

Para tangentes paralelas a una recta dada, igualas las pendientes. Si es paralela a la bisectriz del segundo cuadrante y=xy = -x, entonces f'(a) = -1.

Cuando buscas tangentes desde un punto exterior, el truco está en parametrizar bien. Supones que tocas la curva en x = a, escribes la tangente en función de a, y usas que pasa por el punto dado.

Este tipo de problemas pueden tener múltiples soluciones. Es normal encontrar dos o más rectas tangentes que cumplan la condición.

Dato curioso: Las tangentes desde un punto exterior a una parábola siempre son dos (excepto casos muy especiales). ¡Es geometría pura!

El proceso siempre es el mismo: plantear la ecuación general, usar las condiciones específicas del problema, y resolver la ecuación resultante para encontrar los puntos de tangencia.

# Tema 2: Derivadas y aplicaciones

Concepto
Si una función f(x) es continua en x = a, se dice que la función f(x) es derivable en x = a si

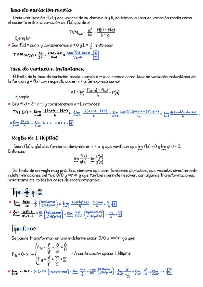
Tasas de variación y regla de L'Hôpital

La tasa de variación media es la pendiente entre dos puntos de la curva: TVM = f(b)f(a)f(b)-f(a)/bab-a. La tasa de variación instantánea es el límite cuando los puntos se acercan, o sea, la derivada.

La regla de L'Hôpital es tu mejor amiga para resolver límites indeterminados. Si tienes 0/0 o ∞/∞, derivas arriba y abajo por separado hasta que se resuelva.

Para indeterminaciones tipo 0·∞, las transformas escribiendo una fracción: f·g = f/1/g1/g o f·g = g/1/f1/f, y luego aplicas L'Hôpital.

Truco ninja: Los infinitésimos equivalentes son más rápidos que L'Hôpital para límites sencillos. Cuando x→0: sen x ≈ x, tg x ≈ x, ln1+x1+x ≈ x.

Las indeterminaciones tipo 1^∞ se resuelven usando: lim f^g = e^[lim g·ln f] = e^limg(f1)lim g·(f-1) cuando f→1.

# Tema 2: Derivadas y aplicaciones

Concepto
Si una función f(x) es continua en x = a, se dice que la función f(x) es derivable en x = a si

Infinitésimos equivalentes y casos especiales

Los infinitésimos equivalentes son atajos súper útiles. Cuando x→0, puedes cambiar sen x por x, tg x por x, o 1-cos x por x²/2 directamente en productos o cocientes.

Para límites tipo 1^∞, usa la fórmula: e^limg(f1)lim g·(f-1) en lugar de la versión con logaritmo. Es más directa y menos propensa a errores.

La regla de L'Hôpital se puede aplicar varias veces seguidas si sigues teniendo indeterminación. No te agobies si necesitas derivar dos o tres veces.

Advertencia importante: Solo puedes sustituir infinitésimos equivalentes cuando aparecen multiplicando o dividiendo, nunca cuando sumas o restas.

Los cambios de variable pueden simplificar mucho algunos límites. Si ves x-1 en el límite cuando x→1, prueba el cambio t = x-1.

# Tema 2: Derivadas y aplicaciones

Concepto
Si una función f(x) es continua en x = a, se dice que la función f(x) es derivable en x = a si

Monotonía y extremos relativos

El crecimiento de una función se estudia con el signo de f'(x). Si f'(x) > 0, la función crece. Si f'(x) < 0, decrece. Es así de simple.

Para encontrar máximos y mínimos, resuelves f'(x) = 0. Estos puntos son candidatos a extremos relativos, pero tienes que comprobar que realmente hay cambio en la monotonía.

La segunda derivada te dice el tipo de extremo sin estudiar signos: si f''(a) < 0 es un máximo, si f''(a) > 0 es un mínimo.

Método infalible: Haz una tabla de signos con los intervalos determinados por f'(x) = 0 y los puntos donde no es derivable.

Un punto es máximo relativo si la función pasa de crecer a decrecer. Es mínimo relativo si pasa de decrecer a crecer.

# Tema 2: Derivadas y aplicaciones

Concepto
Si una función f(x) es continua en x = a, se dice que la función f(x) es derivable en x = a si

Concavidad y puntos de inflexión

La concavidad se estudia con f''(x). Si f''(x) > 0, la función es cóncava hacia arriba (forma de sonrisa). Si f''(x) < 0, es cóncava hacia abajo (forma de ceño fruncido).

Los puntos de inflexión aparecen donde f''(x) = 0 y hay cambio de concavidad. Son puntos donde la tangente atraviesa la gráfica de la función.

Para estudiar concavidad, haces lo mismo que con monotonía pero con la segunda derivada: resuelves f''(x) = 0 y estudias signos en los intervalos.

Visualización clave: En un punto de inflexión, la curva cambia de "sonreír" a "hacer mueca" o viceversa.

La segunda derivada también te da info sobre extremos: si f'(a) = 0 y f''(a) ≠ 0, tienes un extremo garantizado sin necesidad de estudiar signos.

# Tema 2: Derivadas y aplicaciones

Concepto
Si una función f(x) es continua en x = a, se dice que la función f(x) es derivable en x = a si

Ejemplo completo de estudio de funciones

Con f(x) = x⁴ - 2x³, primero calculas f'(x) = 4x³ - 6x². Resuelves 4x³ - 6x² = 0 y obtienes x = 0 y x = 3/2.

Estudias signos: f'(x) < 0 en (-∞,0) ∪ (0,3/2), y f'(x) > 0 en (3/2,+∞). Hay un mínimo en x = 3/2.

Para concavidad, calculas f''(x) = 12x² - 12x. Resuelves 12x² - 12x = 0 y obtienes x = 0 y x = 1.

Estrategia de estudio: Siempre dibuja una recta numérica con todos los puntos críticos marcados. Te ayuda a no perderte con los signos.

Los puntos de inflexión están en x = 0 y x = 1, donde cambia la concavidad. El proceso siempre es: derivar, igualar a cero, estudiar signos, interpretar.

# Tema 2: Derivadas y aplicaciones

Concepto
Si una función f(x) es continua en x = a, se dice que la función f(x) es derivable en x = a si

Interpretación gráfica de la derivada

La gráfica de f'(x) te cuenta toda la historia de f(x). Donde f'(x) > 0, la función original crece. Donde f'(x) < 0, decrece.

Si f'(x) está creciendo, entonces f''(x) > 0, así que f(x) es cóncava hacia arriba. Si f'(x) está decreciendo, f(x) es cóncava hacia abajo.

Los extremos de f'(x) corresponden a puntos de inflexión de f(x). Es como un código secreto: la derivada te traduce toda la información.

Conexión mental: Piensa en f'(x) como el "velocímetro" de f(x). Donde la velocidad es positiva vas hacia adelante, donde es negativa vas hacia atrás.

Esta relación entre f(x) y f'(x) es fundamental para interpretación de gráficas en selectividad. Si sabes leer una, entiendes automáticamente la otra.



Pensamos que nunca lo preguntarías...

¿Qué es Knowunity AI companion?

Nuestro compañero de IA está específicamente adaptado a las necesidades de los estudiantes. Basándonos en los millones de contenidos que tenemos en la plataforma, podemos dar a los estudiantes respuestas realmente significativas y relevantes. Pero no se trata solo de respuestas, el compañero también guía a los estudiantes a través de sus retos de aprendizaje diarios, con planes de aprendizaje personalizados, cuestionarios o contenidos en el chat y una personalización del 100% basada en las habilidades y el desarrollo de los estudiantes.

¿Dónde puedo descargar la app Knowunity?

Puedes descargar la app en Google Play Store y Apple App Store.

¿Knowunity es totalmente gratuito?

Sí, tienes acceso gratuito a los contenidos de la aplicación y a nuestro compañero de IA. Para desbloquear determinadas funciones de la aplicación, puedes adquirir Knowunity Pro.

¿No encuentras lo que buscas? Explora otros temas.

Mira lo que dicen nuestros usuarios. Les encanta - y a tí también.

4.6/5

App Store

4.7/5

Google Play

La app es muy fácil de usar y está muy bien diseñada. Hasta ahora he encontrado todo lo que estaba buscando y he podido aprender mucho de las presentaciones. Definitivamente utilizaré la aplicación para un examen de clase. Y, por supuesto, también me sirve mucho de inspiración.

Pablo

usuario de iOS

Esta app es realmente genial. Hay tantos apuntes de clase y ayuda [...]. Tengo problemas con matemáticas, por ejemplo, y la aplicación tiene muchas opciones de ayuda. Gracias a Knowunity, he mejorado en mates. Se la recomiendo a todo el mundo.

Elena

usuaria de Android

Vaya, estoy realmente sorprendida. Acabo de probar la app porque la he visto anunciada muchas veces y me he quedado absolutamente alucinada. Esta app es LA AYUDA que quieres para el insti y, sobre todo, ofrece muchísimas cosas, como ejercicios y hojas informativas, que a mí personalmente me han sido MUY útiles.

Ana

usuaria de iOS

Está app es muy buena, tiene apuntes que son de mucha ayuda y su IA es fantástica, te explica a la perfección y muy fácil de entender lo que necesites, te ayuda con los deberes, te hace esquemas... en definitiva es una muy buena opción!

Sophia

usuario de Android

Me encanta!!! Me resuelve todo con detalle y me da la explicación correcta. Tiene un montón de funciones, ami me ha ido genial!! Os la recomiendo!!!

Marta

usuaria de Android

La uso casi diariamente, sirve para todas las asignaturas. Yo, por ejemplo la utilizo más en inglés porque se me da bastante mal, ¡Todas las respuestas están correctas! Consta con personas reales que suben sus apuntes y IA para que puedas hacer los deberes muchísimo más fácil, la recomiendo.

Izan

usuario de iOS

¡La app es buenísima! Sólo tengo que introducir el tema en la barra de búsqueda y recibo la respuesta muy rápido. No tengo que ver 10 vídeos de YouTube para entender algo, así que me ahorro tiempo. ¡Muy recomendable!

Sara

usuaria de Android

En el instituto era muy malo en matemáticas, pero gracias a la app, ahora saco mejores notas. Os agradezco mucho que hayáis creado la aplicación.

Roberto

usuario de Android

Esto no es como Chatgpt, es MUCHISMO MEJOR, te hace unos resúmenes espectaculares y gracias a esta app pase de sacar 5-6 a sacar 8-9.

Julyana

usuaria de Android

Es la mejor aplicación del mundo, la uso para revisar los deberes a mi hijo.

Javier

usuario de Android

LOS QUIZ Y FLASHCARDS SON SÚPER ÚTILES Y ME ENCANTA Knowunity IA. ADEMÁS ES LITERALMENTE COMO CHATGPT PERO MÁS LISTO!! ME AYUDÓ TAMBIÉN CON MIS PROBLEMAS DE MÁSCARA!! Y CON MIS ASIGNATURAS DE VERDAD! OBVIO 😍😁😲🤑💗✨🎀😮

Erick

usuario de Android

Me me encanta esta app, todo lo que tiene es de calidad ya que antes de ser publicado es revisado por un equipo de profesionales. Me ha ido genial esta aplicación ya que gracias a ella puedo estudiar mucho mejor, sin tener que agobiarme porque mi profesor no ha hecho teoría o porque no entiendo su teoría. Le doy un 10 de 10!

Mar

usuaria de iOS

La app es muy fácil de usar y está muy bien diseñada. Hasta ahora he encontrado todo lo que estaba buscando y he podido aprender mucho de las presentaciones. Definitivamente utilizaré la aplicación para un examen de clase. Y, por supuesto, también me sirve mucho de inspiración.

Pablo

usuario de iOS

Esta app es realmente genial. Hay tantos apuntes de clase y ayuda [...]. Tengo problemas con matemáticas, por ejemplo, y la aplicación tiene muchas opciones de ayuda. Gracias a Knowunity, he mejorado en mates. Se la recomiendo a todo el mundo.

Elena

usuaria de Android

Vaya, estoy realmente sorprendida. Acabo de probar la app porque la he visto anunciada muchas veces y me he quedado absolutamente alucinada. Esta app es LA AYUDA que quieres para el insti y, sobre todo, ofrece muchísimas cosas, como ejercicios y hojas informativas, que a mí personalmente me han sido MUY útiles.

Ana

usuaria de iOS

Está app es muy buena, tiene apuntes que son de mucha ayuda y su IA es fantástica, te explica a la perfección y muy fácil de entender lo que necesites, te ayuda con los deberes, te hace esquemas... en definitiva es una muy buena opción!

Sophia

usuario de Android

Me encanta!!! Me resuelve todo con detalle y me da la explicación correcta. Tiene un montón de funciones, ami me ha ido genial!! Os la recomiendo!!!

Marta

usuaria de Android

La uso casi diariamente, sirve para todas las asignaturas. Yo, por ejemplo la utilizo más en inglés porque se me da bastante mal, ¡Todas las respuestas están correctas! Consta con personas reales que suben sus apuntes y IA para que puedas hacer los deberes muchísimo más fácil, la recomiendo.

Izan

usuario de iOS

¡La app es buenísima! Sólo tengo que introducir el tema en la barra de búsqueda y recibo la respuesta muy rápido. No tengo que ver 10 vídeos de YouTube para entender algo, así que me ahorro tiempo. ¡Muy recomendable!

Sara

usuaria de Android

En el instituto era muy malo en matemáticas, pero gracias a la app, ahora saco mejores notas. Os agradezco mucho que hayáis creado la aplicación.

Roberto

usuario de Android

Esto no es como Chatgpt, es MUCHISMO MEJOR, te hace unos resúmenes espectaculares y gracias a esta app pase de sacar 5-6 a sacar 8-9.

Julyana

usuaria de Android

Es la mejor aplicación del mundo, la uso para revisar los deberes a mi hijo.

Javier

usuario de Android

LOS QUIZ Y FLASHCARDS SON SÚPER ÚTILES Y ME ENCANTA Knowunity IA. ADEMÁS ES LITERALMENTE COMO CHATGPT PERO MÁS LISTO!! ME AYUDÓ TAMBIÉN CON MIS PROBLEMAS DE MÁSCARA!! Y CON MIS ASIGNATURAS DE VERDAD! OBVIO 😍😁😲🤑💗✨🎀😮

Erick

usuario de Android

Me me encanta esta app, todo lo que tiene es de calidad ya que antes de ser publicado es revisado por un equipo de profesionales. Me ha ido genial esta aplicación ya que gracias a ella puedo estudiar mucho mejor, sin tener que agobiarme porque mi profesor no ha hecho teoría o porque no entiendo su teoría. Le doy un 10 de 10!

Mar

usuaria de iOS

 

Matemáticas

1389

Actualizado 1 mar 2026

10 páginas

Guía de Derivadas y Aplicaciones para Bachillerato

user profile picture

Xiana

@laxitrabv

¿Alguna vez te has preguntado por qué las montañas rusas tienen esas curvas tan precisas? La respuesta está en las derivadas. Este tema te va a enseñar una herramienta súper potente para entender cómo cambian las funciones, calcular pendientes de... Mostrar más

# Tema 2: Derivadas y aplicaciones

Concepto
Si una función f(x) es continua en x = a, se dice que la función f(x) es derivable en x = a si

Inscríbete para ver los apuntes¡Es gratis!

Acceso a todos los documentos

Mejora tus notas

Únete a millones de estudiantes

Al registrarte aceptas las Condiciones del servicio y la Política de privacidad.

Concepto de derivada y reglas básicas

Las derivadas miden exactamente cómo cambia una función en cada punto. Imagínate que tienes una gráfica: la derivada te dice si va subiendo, bajando o se mantiene horizontal.

La definición formal parece complicada, pero es sencilla: f'(a) = lim(h→0) f(a+h)f(a)f(a+h) - f(a)/h. Básicamente compara el valor de la función en un punto con el valor muy cerquita, y ve qué tan rápido cambia.

Si la derivada es positiva, la función crece. Si es negativa, decrece. Y si es cero, la función está "plana" en ese momento.

¡Truco importante! No memorices todas las reglas de derivación de golpe. Practica primero con las básicas (constantes, potencias, exponenciales) y luego ve añadiendo las trigonométricas y logarítmicas.

Las reglas más útiles que vas a usar constantemente son: derivada de una constante es 0, derivada de x^n es n·x^n1n-1, y para funciones compuestas usas la regla de la cadena multiplicando por la derivada de la función interior.

# Tema 2: Derivadas y aplicaciones

Concepto
Si una función f(x) es continua en x = a, se dice que la función f(x) es derivable en x = a si

Inscríbete para ver los apuntes¡Es gratis!

Acceso a todos los documentos

Mejora tus notas

Únete a millones de estudiantes

Al registrarte aceptas las Condiciones del servicio y la Política de privacidad.

Interpretación geométrica y derivabilidad

Aquí viene lo genial: la derivada es la pendiente de la recta tangente a la curva en ese punto. Es como si pusieras una regla tocando la curva en un solo punto: esa inclinación es exactamente la derivada.

Una función puede fallar en ser derivable por tres razones principales. Primero, si no es continua en ese punto (tiene un salto). Segundo, si tiene un punto anguloso (como la punta de una "V"). Tercero, si tiene una tangente vertical.

Para estudiar derivabilidad en funciones a trozos, primero compruebas la continuidad. Luego calculas las derivadas laterales (por la izquierda y por la derecha) y verificas que coinciden.

¡Ojo con esto! En los exámenes suelen preguntar derivabilidad en el punto donde "cambia" la función a trozos. Siempre empieza comprobando continuidad antes de derivabilidad.

Cuando tienes parámetros desconocidos, planteas las condiciones de continuidad y derivabilidad como un sistema de ecuaciones. Es como un puzzle matemático que tienes que resolver.

# Tema 2: Derivadas y aplicaciones

Concepto
Si una función f(x) es continua en x = a, se dice que la función f(x) es derivable en x = a si

Inscríbete para ver los apuntes¡Es gratis!

Acceso a todos los documentos

Mejora tus notas

Únete a millones de estudiantes

Al registrarte aceptas las Condiciones del servicio y la Política de privacidad.

Funciones con parámetros y ecuaciones de rectas

Cuando estudias derivabilidad con parámetros desconocidos, básicamente resuelves un sistema. Igualas las condiciones de continuidad (límites laterales iguales) y derivabilidad (derivadas laterales iguales).

Las ecuaciones de rectas tangentes y normales tienen tres casos típicos. Si te dan el punto directamente, sustituyes y listo. Si te dan la pendiente, igualas f'(a) a esa pendiente y despejas el punto.

El caso más chungo es cuando la tangente pasa por un punto exterior. Aquí supones que el punto de tangencia es x = a, escribes la ecuación en función de a, y usas que la recta pasa por el punto dado para encontrar a.

Consejo de supervivencia: En el tercer caso, siempre pueden salir varias soluciones. Eso significa que hay varias rectas tangentes que pasan por ese punto exterior.

La ecuación de la recta normal es perpendicular a la tangente, así que su pendiente es -1/f'(a). Es como rotar la tangente 90 grados.

# Tema 2: Derivadas y aplicaciones

Concepto
Si una función f(x) es continua en x = a, se dice que la función f(x) es derivable en x = a si

Inscríbete para ver los apuntes¡Es gratis!

Acceso a todos los documentos

Mejora tus notas

Únete a millones de estudiantes

Al registrarte aceptas las Condiciones del servicio y la Política de privacidad.

Casos especiales de tangentes y normales

Para tangentes paralelas a una recta dada, igualas las pendientes. Si es paralela a la bisectriz del segundo cuadrante y=xy = -x, entonces f'(a) = -1.

Cuando buscas tangentes desde un punto exterior, el truco está en parametrizar bien. Supones que tocas la curva en x = a, escribes la tangente en función de a, y usas que pasa por el punto dado.

Este tipo de problemas pueden tener múltiples soluciones. Es normal encontrar dos o más rectas tangentes que cumplan la condición.

Dato curioso: Las tangentes desde un punto exterior a una parábola siempre son dos (excepto casos muy especiales). ¡Es geometría pura!

El proceso siempre es el mismo: plantear la ecuación general, usar las condiciones específicas del problema, y resolver la ecuación resultante para encontrar los puntos de tangencia.

# Tema 2: Derivadas y aplicaciones

Concepto
Si una función f(x) es continua en x = a, se dice que la función f(x) es derivable en x = a si

Inscríbete para ver los apuntes¡Es gratis!

Acceso a todos los documentos

Mejora tus notas

Únete a millones de estudiantes

Al registrarte aceptas las Condiciones del servicio y la Política de privacidad.

Tasas de variación y regla de L'Hôpital

La tasa de variación media es la pendiente entre dos puntos de la curva: TVM = f(b)f(a)f(b)-f(a)/bab-a. La tasa de variación instantánea es el límite cuando los puntos se acercan, o sea, la derivada.

La regla de L'Hôpital es tu mejor amiga para resolver límites indeterminados. Si tienes 0/0 o ∞/∞, derivas arriba y abajo por separado hasta que se resuelva.

Para indeterminaciones tipo 0·∞, las transformas escribiendo una fracción: f·g = f/1/g1/g o f·g = g/1/f1/f, y luego aplicas L'Hôpital.

Truco ninja: Los infinitésimos equivalentes son más rápidos que L'Hôpital para límites sencillos. Cuando x→0: sen x ≈ x, tg x ≈ x, ln1+x1+x ≈ x.

Las indeterminaciones tipo 1^∞ se resuelven usando: lim f^g = e^[lim g·ln f] = e^limg(f1)lim g·(f-1) cuando f→1.

# Tema 2: Derivadas y aplicaciones

Concepto
Si una función f(x) es continua en x = a, se dice que la función f(x) es derivable en x = a si

Inscríbete para ver los apuntes¡Es gratis!

Acceso a todos los documentos

Mejora tus notas

Únete a millones de estudiantes

Al registrarte aceptas las Condiciones del servicio y la Política de privacidad.

Infinitésimos equivalentes y casos especiales

Los infinitésimos equivalentes son atajos súper útiles. Cuando x→0, puedes cambiar sen x por x, tg x por x, o 1-cos x por x²/2 directamente en productos o cocientes.

Para límites tipo 1^∞, usa la fórmula: e^limg(f1)lim g·(f-1) en lugar de la versión con logaritmo. Es más directa y menos propensa a errores.

La regla de L'Hôpital se puede aplicar varias veces seguidas si sigues teniendo indeterminación. No te agobies si necesitas derivar dos o tres veces.

Advertencia importante: Solo puedes sustituir infinitésimos equivalentes cuando aparecen multiplicando o dividiendo, nunca cuando sumas o restas.

Los cambios de variable pueden simplificar mucho algunos límites. Si ves x-1 en el límite cuando x→1, prueba el cambio t = x-1.

# Tema 2: Derivadas y aplicaciones

Concepto
Si una función f(x) es continua en x = a, se dice que la función f(x) es derivable en x = a si

Inscríbete para ver los apuntes¡Es gratis!

Acceso a todos los documentos

Mejora tus notas

Únete a millones de estudiantes

Al registrarte aceptas las Condiciones del servicio y la Política de privacidad.

Monotonía y extremos relativos

El crecimiento de una función se estudia con el signo de f'(x). Si f'(x) > 0, la función crece. Si f'(x) < 0, decrece. Es así de simple.

Para encontrar máximos y mínimos, resuelves f'(x) = 0. Estos puntos son candidatos a extremos relativos, pero tienes que comprobar que realmente hay cambio en la monotonía.

La segunda derivada te dice el tipo de extremo sin estudiar signos: si f''(a) < 0 es un máximo, si f''(a) > 0 es un mínimo.

Método infalible: Haz una tabla de signos con los intervalos determinados por f'(x) = 0 y los puntos donde no es derivable.

Un punto es máximo relativo si la función pasa de crecer a decrecer. Es mínimo relativo si pasa de decrecer a crecer.

# Tema 2: Derivadas y aplicaciones

Concepto
Si una función f(x) es continua en x = a, se dice que la función f(x) es derivable en x = a si

Inscríbete para ver los apuntes¡Es gratis!

Acceso a todos los documentos

Mejora tus notas

Únete a millones de estudiantes

Al registrarte aceptas las Condiciones del servicio y la Política de privacidad.

Concavidad y puntos de inflexión

La concavidad se estudia con f''(x). Si f''(x) > 0, la función es cóncava hacia arriba (forma de sonrisa). Si f''(x) < 0, es cóncava hacia abajo (forma de ceño fruncido).

Los puntos de inflexión aparecen donde f''(x) = 0 y hay cambio de concavidad. Son puntos donde la tangente atraviesa la gráfica de la función.

Para estudiar concavidad, haces lo mismo que con monotonía pero con la segunda derivada: resuelves f''(x) = 0 y estudias signos en los intervalos.

Visualización clave: En un punto de inflexión, la curva cambia de "sonreír" a "hacer mueca" o viceversa.

La segunda derivada también te da info sobre extremos: si f'(a) = 0 y f''(a) ≠ 0, tienes un extremo garantizado sin necesidad de estudiar signos.

# Tema 2: Derivadas y aplicaciones

Concepto
Si una función f(x) es continua en x = a, se dice que la función f(x) es derivable en x = a si

Inscríbete para ver los apuntes¡Es gratis!

Acceso a todos los documentos

Mejora tus notas

Únete a millones de estudiantes

Al registrarte aceptas las Condiciones del servicio y la Política de privacidad.

Ejemplo completo de estudio de funciones

Con f(x) = x⁴ - 2x³, primero calculas f'(x) = 4x³ - 6x². Resuelves 4x³ - 6x² = 0 y obtienes x = 0 y x = 3/2.

Estudias signos: f'(x) < 0 en (-∞,0) ∪ (0,3/2), y f'(x) > 0 en (3/2,+∞). Hay un mínimo en x = 3/2.

Para concavidad, calculas f''(x) = 12x² - 12x. Resuelves 12x² - 12x = 0 y obtienes x = 0 y x = 1.

Estrategia de estudio: Siempre dibuja una recta numérica con todos los puntos críticos marcados. Te ayuda a no perderte con los signos.

Los puntos de inflexión están en x = 0 y x = 1, donde cambia la concavidad. El proceso siempre es: derivar, igualar a cero, estudiar signos, interpretar.

# Tema 2: Derivadas y aplicaciones

Concepto
Si una función f(x) es continua en x = a, se dice que la función f(x) es derivable en x = a si

Inscríbete para ver los apuntes¡Es gratis!

Acceso a todos los documentos

Mejora tus notas

Únete a millones de estudiantes

Al registrarte aceptas las Condiciones del servicio y la Política de privacidad.

Interpretación gráfica de la derivada

La gráfica de f'(x) te cuenta toda la historia de f(x). Donde f'(x) > 0, la función original crece. Donde f'(x) < 0, decrece.

Si f'(x) está creciendo, entonces f''(x) > 0, así que f(x) es cóncava hacia arriba. Si f'(x) está decreciendo, f(x) es cóncava hacia abajo.

Los extremos de f'(x) corresponden a puntos de inflexión de f(x). Es como un código secreto: la derivada te traduce toda la información.

Conexión mental: Piensa en f'(x) como el "velocímetro" de f(x). Donde la velocidad es positiva vas hacia adelante, donde es negativa vas hacia atrás.

Esta relación entre f(x) y f'(x) es fundamental para interpretación de gráficas en selectividad. Si sabes leer una, entiendes automáticamente la otra.

Pensamos que nunca lo preguntarías...

¿Qué es Knowunity AI companion?

Nuestro compañero de IA está específicamente adaptado a las necesidades de los estudiantes. Basándonos en los millones de contenidos que tenemos en la plataforma, podemos dar a los estudiantes respuestas realmente significativas y relevantes. Pero no se trata solo de respuestas, el compañero también guía a los estudiantes a través de sus retos de aprendizaje diarios, con planes de aprendizaje personalizados, cuestionarios o contenidos en el chat y una personalización del 100% basada en las habilidades y el desarrollo de los estudiantes.

¿Dónde puedo descargar la app Knowunity?

Puedes descargar la app en Google Play Store y Apple App Store.

¿Knowunity es totalmente gratuito?

Sí, tienes acceso gratuito a los contenidos de la aplicación y a nuestro compañero de IA. Para desbloquear determinadas funciones de la aplicación, puedes adquirir Knowunity Pro.

38

Herramientas Inteligentes NUEVO

Transforma estos apuntes en: ✓ 50+ Preguntas de Práctica ✓ Flashcards Interactivas ✓ Examen Completo de Práctica ✓ Esquemas de Ensayo

Examen de Práctica
Quiz
Fichas
Ensayo

¿No encuentras lo que buscas? Explora otros temas.

Mira lo que dicen nuestros usuarios. Les encanta - y a tí también.

4.6/5

App Store

4.7/5

Google Play

La app es muy fácil de usar y está muy bien diseñada. Hasta ahora he encontrado todo lo que estaba buscando y he podido aprender mucho de las presentaciones. Definitivamente utilizaré la aplicación para un examen de clase. Y, por supuesto, también me sirve mucho de inspiración.

Pablo

usuario de iOS

Esta app es realmente genial. Hay tantos apuntes de clase y ayuda [...]. Tengo problemas con matemáticas, por ejemplo, y la aplicación tiene muchas opciones de ayuda. Gracias a Knowunity, he mejorado en mates. Se la recomiendo a todo el mundo.

Elena

usuaria de Android

Vaya, estoy realmente sorprendida. Acabo de probar la app porque la he visto anunciada muchas veces y me he quedado absolutamente alucinada. Esta app es LA AYUDA que quieres para el insti y, sobre todo, ofrece muchísimas cosas, como ejercicios y hojas informativas, que a mí personalmente me han sido MUY útiles.

Ana

usuaria de iOS

Está app es muy buena, tiene apuntes que son de mucha ayuda y su IA es fantástica, te explica a la perfección y muy fácil de entender lo que necesites, te ayuda con los deberes, te hace esquemas... en definitiva es una muy buena opción!

Sophia

usuario de Android

Me encanta!!! Me resuelve todo con detalle y me da la explicación correcta. Tiene un montón de funciones, ami me ha ido genial!! Os la recomiendo!!!

Marta

usuaria de Android

La uso casi diariamente, sirve para todas las asignaturas. Yo, por ejemplo la utilizo más en inglés porque se me da bastante mal, ¡Todas las respuestas están correctas! Consta con personas reales que suben sus apuntes y IA para que puedas hacer los deberes muchísimo más fácil, la recomiendo.

Izan

usuario de iOS

¡La app es buenísima! Sólo tengo que introducir el tema en la barra de búsqueda y recibo la respuesta muy rápido. No tengo que ver 10 vídeos de YouTube para entender algo, así que me ahorro tiempo. ¡Muy recomendable!

Sara

usuaria de Android

En el instituto era muy malo en matemáticas, pero gracias a la app, ahora saco mejores notas. Os agradezco mucho que hayáis creado la aplicación.

Roberto

usuario de Android

Esto no es como Chatgpt, es MUCHISMO MEJOR, te hace unos resúmenes espectaculares y gracias a esta app pase de sacar 5-6 a sacar 8-9.

Julyana

usuaria de Android

Es la mejor aplicación del mundo, la uso para revisar los deberes a mi hijo.

Javier

usuario de Android

LOS QUIZ Y FLASHCARDS SON SÚPER ÚTILES Y ME ENCANTA Knowunity IA. ADEMÁS ES LITERALMENTE COMO CHATGPT PERO MÁS LISTO!! ME AYUDÓ TAMBIÉN CON MIS PROBLEMAS DE MÁSCARA!! Y CON MIS ASIGNATURAS DE VERDAD! OBVIO 😍😁😲🤑💗✨🎀😮

Erick

usuario de Android

Me me encanta esta app, todo lo que tiene es de calidad ya que antes de ser publicado es revisado por un equipo de profesionales. Me ha ido genial esta aplicación ya que gracias a ella puedo estudiar mucho mejor, sin tener que agobiarme porque mi profesor no ha hecho teoría o porque no entiendo su teoría. Le doy un 10 de 10!

Mar

usuaria de iOS

La app es muy fácil de usar y está muy bien diseñada. Hasta ahora he encontrado todo lo que estaba buscando y he podido aprender mucho de las presentaciones. Definitivamente utilizaré la aplicación para un examen de clase. Y, por supuesto, también me sirve mucho de inspiración.

Pablo

usuario de iOS

Esta app es realmente genial. Hay tantos apuntes de clase y ayuda [...]. Tengo problemas con matemáticas, por ejemplo, y la aplicación tiene muchas opciones de ayuda. Gracias a Knowunity, he mejorado en mates. Se la recomiendo a todo el mundo.

Elena

usuaria de Android

Vaya, estoy realmente sorprendida. Acabo de probar la app porque la he visto anunciada muchas veces y me he quedado absolutamente alucinada. Esta app es LA AYUDA que quieres para el insti y, sobre todo, ofrece muchísimas cosas, como ejercicios y hojas informativas, que a mí personalmente me han sido MUY útiles.

Ana

usuaria de iOS

Está app es muy buena, tiene apuntes que son de mucha ayuda y su IA es fantástica, te explica a la perfección y muy fácil de entender lo que necesites, te ayuda con los deberes, te hace esquemas... en definitiva es una muy buena opción!

Sophia

usuario de Android

Me encanta!!! Me resuelve todo con detalle y me da la explicación correcta. Tiene un montón de funciones, ami me ha ido genial!! Os la recomiendo!!!

Marta

usuaria de Android

La uso casi diariamente, sirve para todas las asignaturas. Yo, por ejemplo la utilizo más en inglés porque se me da bastante mal, ¡Todas las respuestas están correctas! Consta con personas reales que suben sus apuntes y IA para que puedas hacer los deberes muchísimo más fácil, la recomiendo.

Izan

usuario de iOS

¡La app es buenísima! Sólo tengo que introducir el tema en la barra de búsqueda y recibo la respuesta muy rápido. No tengo que ver 10 vídeos de YouTube para entender algo, así que me ahorro tiempo. ¡Muy recomendable!

Sara

usuaria de Android

En el instituto era muy malo en matemáticas, pero gracias a la app, ahora saco mejores notas. Os agradezco mucho que hayáis creado la aplicación.

Roberto

usuario de Android

Esto no es como Chatgpt, es MUCHISMO MEJOR, te hace unos resúmenes espectaculares y gracias a esta app pase de sacar 5-6 a sacar 8-9.

Julyana

usuaria de Android

Es la mejor aplicación del mundo, la uso para revisar los deberes a mi hijo.

Javier

usuario de Android

LOS QUIZ Y FLASHCARDS SON SÚPER ÚTILES Y ME ENCANTA Knowunity IA. ADEMÁS ES LITERALMENTE COMO CHATGPT PERO MÁS LISTO!! ME AYUDÓ TAMBIÉN CON MIS PROBLEMAS DE MÁSCARA!! Y CON MIS ASIGNATURAS DE VERDAD! OBVIO 😍😁😲🤑💗✨🎀😮

Erick

usuario de Android

Me me encanta esta app, todo lo que tiene es de calidad ya que antes de ser publicado es revisado por un equipo de profesionales. Me ha ido genial esta aplicación ya que gracias a ella puedo estudiar mucho mejor, sin tener que agobiarme porque mi profesor no ha hecho teoría o porque no entiendo su teoría. Le doy un 10 de 10!

Mar

usuaria de iOS