La probabilidad de sucesos con conjuntos es una herramienta súper... Mostrar más
Inscríbete para ver los apuntes¡Es gratis!
Acceso a todos los documentos
Mejora tus notas
Únete a millones de estudiantes
Knowunity AI
Asignaturas
Triangle Congruence and Similarity Theorems
Triangle Properties and Classification
Linear Equations and Graphs
Geometric Angle Relationships
Trigonometric Functions and Identities
Equation Solving Techniques
Circle Geometry Fundamentals
Division Operations and Methods
Basic Differentiation Rules
Exponent and Logarithm Properties
Mostrar todos los temas
Human Organ Systems
Reproductive Cell Cycles
Biological Sciences Subdisciplines
Cellular Energy Metabolism
Autotrophic Energy Processes
Inheritance Patterns and Principles
Biomolecular Structure and Organization
Cell Cycle and Division Mechanics
Cellular Organization and Development
Biological Structural Organization
Mostrar todos los temas
Chemical Sciences and Applications
Atomic Structure and Composition
Molecular Electron Structure Representation
Atomic Electron Behavior
Matter Properties and Water
Mole Concept and Calculations
Gas Laws and Behavior
Periodic Table Organization
Chemical Thermodynamics Fundamentals
Chemical Bond Types and Properties
Mostrar todos los temas
European Renaissance and Enlightenment
European Cultural Movements 800-1920
American Revolution Era 1763-1797
American Civil War 1861-1865
Global Imperial Systems
Mongol and Chinese Dynasties
U.S. Presidents and World Leaders
Historical Sources and Documentation
World Wars Era and Impact
World Religious Systems
Mostrar todos los temas
Classic and Contemporary Novels
Literary Character Analysis
Rhetorical Theory and Practice
Classic Literary Narratives
Reading Analysis and Interpretation
Narrative Structure and Techniques
English Language Components
Influential English-Language Authors
Basic Sentence Structure
Narrative Voice and Perspective
Mostrar todos los temas
591
•
Actualizado Mar 23, 2026
•
La probabilidad de sucesos con conjuntos es una herramienta súper... Mostrar más





$P(E)-1$
$
A$ - suceso contrario de $A \rightarrow P(\overlin](/_next/image?url=https%3A%2F%2Fcontent-eu-central-1.knowunity.com%2FCONTENT%2FRurHEZVeCMJizWnmtgqc_image_page_1.webp&w=2048&q=75)
¿Sabías que los conjuntos te ayudan a organizar cualquier problema de probabilidad? Con estas fórmulas podrás resolver desde situaciones simples hasta las más complejas.
El suceso contrario de A se calcula como P(Ā) = 1 - P(A). La intersección P(A ∩ B) significa que ocurren ambos sucesos, mientras que la unión P(A ∪ B) significa que ocurre al menos uno.
La fórmula fundamental es: P(A) + P(B) = P(A ∪ B) + P(A ∩ B). Las Leyes de Morgan te dicen que P(A ∪ B) = P(Ā ∩ B̄) y P(A ∩ B) = P(Ā ∪ B̄).
Para probabilidad condicionada: P = P(A ∩ B)/P(B). Los sucesos son incompatibles si P(A ∩ B) = 0 e independientes si P(A) × P(B) = P(A ∩ B).
💡 Truco: Si dos sucesos son independientes, que ocurra uno no afecta al otro. ¡Como tirar una moneda dos veces!

$P(E)-1$
$
A$ - suceso contrario de $A \rightarrow P(\overlin](/_next/image?url=https%3A%2F%2Fcontent-eu-central-1.knowunity.com%2FCONTENT%2FRurHEZVeCMJizWnmtgqc_image_page_2.webp&w=2048&q=75)
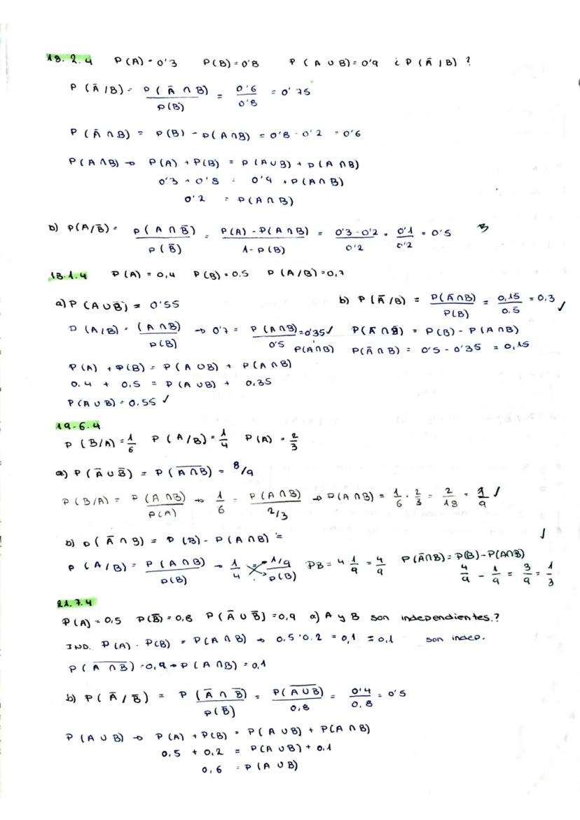
Veamos cómo aplicar todas esas fórmulas en ejercicios reales. No te agobies, es más fácil de lo que parece cuando sigues los pasos.
Ejercicio 18.2.4: Con P(A) = 0,3, P(B) = 0,8 y P(A ∪ B) = 0,9. Primero calculamos P(A ∩ B) usando la fórmula fundamental: 0,3 + 0,8 = 0,9 + P(A ∩ B), entonces P(A ∩ B) = 0,2.
Ejercicio 18.1.4: Aquí P(A) = 0,4, P(B) = 0,5 y P = 0,7. Calculamos P(A ∩ B) = P × P(B) = 0,7 × 0,5 = 0,35. Después hallamos P(A ∪ B) = 0,4 + 0,5 - 0,35 = 0,55.
Ejercicio sobre independencia: Si P(A) × P(B) = P(A ∩ B), los sucesos son independientes. En el ejemplo con P(A) = 0,5 y P(B) = 0,2, verificamos: 0,5 × 0,2 = 0,1 = P(A ∩ B). ¡Son independientes!
💡 Consejo: Siempre empieza identificando qué te piden y qué datos tienes. Luego elige la fórmula adecuada.

$P(E)-1$
$
A$ - suceso contrario de $A \rightarrow P(\overlin](/_next/image?url=https%3A%2F%2Fcontent-eu-central-1.knowunity.com%2FCONTENT%2FRurHEZVeCMJizWnmtgqc_image_page_3.webp&w=2048&q=75)
La probabilidad condicionada aparece constantemente en los exámenes, así que practiquemos con ejercicios más desafiantes.
Ejercicio 19.8.4: Tenemos P(A) = 0,3 y P = 0,4. Para hallar P(A ∩ B), usamos: P = P(A ∩ B)/P(A), entonces 0,4 = P(A ∩ B)/0,3, por lo que P(A ∩ B) = 0,12.
Ejercicio 21.6.4: Con P(A) = 2/5, P(B) = 1/2 y P = 4/5. Calculamos P(A ∩ B) = P × P(B) = 4/5 × 1/2 = 2/5. Como P(A ∩ B) ≠ 0, los sucesos son compatibles.
Ejercicio 21.4.4: P(A) = 0,5, P = 0,4 y P(A ∪ B) = 0,9. Primero P(A ∩ B) = 0,4 × 0,5 = 0,2. Luego P(B) = 0,9 + 0,2 - 0,5 = 0,6. Para independencia: P(A) × P(B) = 0,3 ≠ P(A ∩ B) = 0,2, así que son dependientes.
💡 Recuerda: En probabilidad condicionada, P significa "probabilidad de A sabiendo que ha ocurrido B".

$P(E)-1$
$
A$ - suceso contrario de $A \rightarrow P(\overlin](/_next/image?url=https%3A%2F%2Fcontent-eu-central-1.knowunity.com%2FCONTENT%2FRurHEZVeCMJizWnmtgqc_image_page_4.webp&w=2048&q=75)
Los problemas con contexto real son los que más salen en selectividad. Te ayudo a traducir las palabras a fórmulas matemáticas.
Problema de gustos musicales: P(A) = 0,55 (música moderna), P(B) = 0,40 (música clásica). Si P(A ∪ B) = 0,25, entonces P(A ∪ B) = 1 - 0,25 = 0,75. Para hallar quiénes gustan de ambos tipos: P(A ∩ B) = 0,55 + 0,40 - 0,75 = 0,20.
Problema de compras: P(A) = 0,6 (compra producto A), P(B) = 0,3 (producto B), P = 0,4. La probabilidad de comprar ambos es P(A ∩ B) = P × P(B) = 0,4 × 0,3 = 0,12.
Para "no compra ninguno": P(A ∪ B) = 1 - P(A ∪ B). Primero calculamos P(A ∪ B) = 0,6 + 0,3 - 0,12 = 0,78, entonces P(A ∪ B) = 1 - 0,78 = 0,22.
💡 Estrategia: Lee el problema dos veces, identifica los sucesos A y B, traduce las palabras a símbolos matemáticos y aplica las fórmulas.
Nuestro compañero de IA está específicamente adaptado a las necesidades de los estudiantes. Basándonos en los millones de contenidos que tenemos en la plataforma, podemos dar a los estudiantes respuestas realmente significativas y relevantes. Pero no se trata solo de respuestas, el compañero también guía a los estudiantes a través de sus retos de aprendizaje diarios, con planes de aprendizaje personalizados, cuestionarios o contenidos en el chat y una personalización del 100% basada en las habilidades y el desarrollo de los estudiantes.
Puedes descargar la app en Google Play Store y Apple App Store.
Sí, tienes acceso gratuito a los contenidos de la aplicación y a nuestro compañero de IA. Para desbloquear determinadas funciones de la aplicación, puedes adquirir Knowunity Pro.
Sintexis de Lengua Castellana. Incluye las oraciones simples, los complementos y todas las oraciones compuestas
App Store
Google Play
La app es muy fácil de usar y está muy bien diseñada. Hasta ahora he encontrado todo lo que estaba buscando y he podido aprender mucho de las presentaciones. Definitivamente utilizaré la aplicación para un examen de clase. Y, por supuesto, también me sirve mucho de inspiración.
Pablo
usuario de iOS
Esta app es realmente genial. Hay tantos apuntes de clase y ayuda [...]. Tengo problemas con matemáticas, por ejemplo, y la aplicación tiene muchas opciones de ayuda. Gracias a Knowunity, he mejorado en mates. Se la recomiendo a todo el mundo.
Elena
usuaria de Android
Vaya, estoy realmente sorprendida. Acabo de probar la app porque la he visto anunciada muchas veces y me he quedado absolutamente alucinada. Esta app es LA AYUDA que quieres para el insti y, sobre todo, ofrece muchísimas cosas, como ejercicios y hojas informativas, que a mí personalmente me han sido MUY útiles.
Ana
usuaria de iOS
Está app es muy buena, tiene apuntes que son de mucha ayuda y su IA es fantástica, te explica a la perfección y muy fácil de entender lo que necesites, te ayuda con los deberes, te hace esquemas... en definitiva es una muy buena opción!
Sophia
usuario de Android
Me encanta!!! Me resuelve todo con detalle y me da la explicación correcta. Tiene un montón de funciones, ami me ha ido genial!! Os la recomiendo!!!
Marta
usuaria de Android
La uso casi diariamente, sirve para todas las asignaturas. Yo, por ejemplo la utilizo más en inglés porque se me da bastante mal, ¡Todas las respuestas están correctas! Consta con personas reales que suben sus apuntes y IA para que puedas hacer los deberes muchísimo más fácil, la recomiendo.
Izan
usuario de iOS
¡La app es buenísima! Sólo tengo que introducir el tema en la barra de búsqueda y recibo la respuesta muy rápido. No tengo que ver 10 vídeos de YouTube para entender algo, así que me ahorro tiempo. ¡Muy recomendable!
Sara
usuaria de Android
En el instituto era muy malo en matemáticas, pero gracias a la app, ahora saco mejores notas. Os agradezco mucho que hayáis creado la aplicación.
Roberto
usuario de Android
Esto no es como Chatgpt, es MUCHISMO MEJOR, te hace unos resúmenes espectaculares y gracias a esta app pase de sacar 5-6 a sacar 8-9.
Julyana
usuaria de Android
Es la mejor aplicación del mundo, la uso para revisar los deberes a mi hijo.
Javier
usuario de Android
LOS QUIZ Y FLASHCARDS SON SÚPER ÚTILES Y ME ENCANTA Knowunity IA. ADEMÁS ES LITERALMENTE COMO CHATGPT PERO MÁS LISTO!! ME AYUDÓ TAMBIÉN CON MIS PROBLEMAS DE MÁSCARA!! Y CON MIS ASIGNATURAS DE VERDAD! OBVIO 😍😁😲🤑💗✨🎀😮
Erick
usuario de Android
Me me encanta esta app, todo lo que tiene es de calidad ya que antes de ser publicado es revisado por un equipo de profesionales. Me ha ido genial esta aplicación ya que gracias a ella puedo estudiar mucho mejor, sin tener que agobiarme porque mi profesor no ha hecho teoría o porque no entiendo su teoría. Le doy un 10 de 10!
Mar
usuaria de iOS
La app es muy fácil de usar y está muy bien diseñada. Hasta ahora he encontrado todo lo que estaba buscando y he podido aprender mucho de las presentaciones. Definitivamente utilizaré la aplicación para un examen de clase. Y, por supuesto, también me sirve mucho de inspiración.
Pablo
usuario de iOS
Esta app es realmente genial. Hay tantos apuntes de clase y ayuda [...]. Tengo problemas con matemáticas, por ejemplo, y la aplicación tiene muchas opciones de ayuda. Gracias a Knowunity, he mejorado en mates. Se la recomiendo a todo el mundo.
Elena
usuaria de Android
Vaya, estoy realmente sorprendida. Acabo de probar la app porque la he visto anunciada muchas veces y me he quedado absolutamente alucinada. Esta app es LA AYUDA que quieres para el insti y, sobre todo, ofrece muchísimas cosas, como ejercicios y hojas informativas, que a mí personalmente me han sido MUY útiles.
Ana
usuaria de iOS
Está app es muy buena, tiene apuntes que son de mucha ayuda y su IA es fantástica, te explica a la perfección y muy fácil de entender lo que necesites, te ayuda con los deberes, te hace esquemas... en definitiva es una muy buena opción!
Sophia
usuario de Android
Me encanta!!! Me resuelve todo con detalle y me da la explicación correcta. Tiene un montón de funciones, ami me ha ido genial!! Os la recomiendo!!!
Marta
usuaria de Android
La uso casi diariamente, sirve para todas las asignaturas. Yo, por ejemplo la utilizo más en inglés porque se me da bastante mal, ¡Todas las respuestas están correctas! Consta con personas reales que suben sus apuntes y IA para que puedas hacer los deberes muchísimo más fácil, la recomiendo.
Izan
usuario de iOS
¡La app es buenísima! Sólo tengo que introducir el tema en la barra de búsqueda y recibo la respuesta muy rápido. No tengo que ver 10 vídeos de YouTube para entender algo, así que me ahorro tiempo. ¡Muy recomendable!
Sara
usuaria de Android
En el instituto era muy malo en matemáticas, pero gracias a la app, ahora saco mejores notas. Os agradezco mucho que hayáis creado la aplicación.
Roberto
usuario de Android
Esto no es como Chatgpt, es MUCHISMO MEJOR, te hace unos resúmenes espectaculares y gracias a esta app pase de sacar 5-6 a sacar 8-9.
Julyana
usuaria de Android
Es la mejor aplicación del mundo, la uso para revisar los deberes a mi hijo.
Javier
usuario de Android
LOS QUIZ Y FLASHCARDS SON SÚPER ÚTILES Y ME ENCANTA Knowunity IA. ADEMÁS ES LITERALMENTE COMO CHATGPT PERO MÁS LISTO!! ME AYUDÓ TAMBIÉN CON MIS PROBLEMAS DE MÁSCARA!! Y CON MIS ASIGNATURAS DE VERDAD! OBVIO 😍😁😲🤑💗✨🎀😮
Erick
usuario de Android
Me me encanta esta app, todo lo que tiene es de calidad ya que antes de ser publicado es revisado por un equipo de profesionales. Me ha ido genial esta aplicación ya que gracias a ella puedo estudiar mucho mejor, sin tener que agobiarme porque mi profesor no ha hecho teoría o porque no entiendo su teoría. Le doy un 10 de 10!
Mar
usuaria de iOS
La probabilidad de sucesos con conjuntos es una herramienta súper útil para resolver problemas de la vida real. En esta guía verás todas las fórmulas clave y ejercicios prácticos que necesitas dominar para tus exámenes.

$P(E)-1$
$
A$ - suceso contrario de $A \rightarrow P(\overlin](/_next/image?url=https%3A%2F%2Fcontent-eu-central-1.knowunity.com%2FCONTENT%2FRurHEZVeCMJizWnmtgqc_image_page_1.webp&w=2048&q=75)
Acceso a todos los documentos
Mejora tus notas
Únete a millones de estudiantes
¿Sabías que los conjuntos te ayudan a organizar cualquier problema de probabilidad? Con estas fórmulas podrás resolver desde situaciones simples hasta las más complejas.
El suceso contrario de A se calcula como P(Ā) = 1 - P(A). La intersección P(A ∩ B) significa que ocurren ambos sucesos, mientras que la unión P(A ∪ B) significa que ocurre al menos uno.
La fórmula fundamental es: P(A) + P(B) = P(A ∪ B) + P(A ∩ B). Las Leyes de Morgan te dicen que P(A ∪ B) = P(Ā ∩ B̄) y P(A ∩ B) = P(Ā ∪ B̄).
Para probabilidad condicionada: P = P(A ∩ B)/P(B). Los sucesos son incompatibles si P(A ∩ B) = 0 e independientes si P(A) × P(B) = P(A ∩ B).
💡 Truco: Si dos sucesos son independientes, que ocurra uno no afecta al otro. ¡Como tirar una moneda dos veces!

$P(E)-1$
$
A$ - suceso contrario de $A \rightarrow P(\overlin](/_next/image?url=https%3A%2F%2Fcontent-eu-central-1.knowunity.com%2FCONTENT%2FRurHEZVeCMJizWnmtgqc_image_page_2.webp&w=2048&q=75)
Acceso a todos los documentos
Mejora tus notas
Únete a millones de estudiantes
Veamos cómo aplicar todas esas fórmulas en ejercicios reales. No te agobies, es más fácil de lo que parece cuando sigues los pasos.
Ejercicio 18.2.4: Con P(A) = 0,3, P(B) = 0,8 y P(A ∪ B) = 0,9. Primero calculamos P(A ∩ B) usando la fórmula fundamental: 0,3 + 0,8 = 0,9 + P(A ∩ B), entonces P(A ∩ B) = 0,2.
Ejercicio 18.1.4: Aquí P(A) = 0,4, P(B) = 0,5 y P = 0,7. Calculamos P(A ∩ B) = P × P(B) = 0,7 × 0,5 = 0,35. Después hallamos P(A ∪ B) = 0,4 + 0,5 - 0,35 = 0,55.
Ejercicio sobre independencia: Si P(A) × P(B) = P(A ∩ B), los sucesos son independientes. En el ejemplo con P(A) = 0,5 y P(B) = 0,2, verificamos: 0,5 × 0,2 = 0,1 = P(A ∩ B). ¡Son independientes!
💡 Consejo: Siempre empieza identificando qué te piden y qué datos tienes. Luego elige la fórmula adecuada.

$P(E)-1$
$
A$ - suceso contrario de $A \rightarrow P(\overlin](/_next/image?url=https%3A%2F%2Fcontent-eu-central-1.knowunity.com%2FCONTENT%2FRurHEZVeCMJizWnmtgqc_image_page_3.webp&w=2048&q=75)
Acceso a todos los documentos
Mejora tus notas
Únete a millones de estudiantes
La probabilidad condicionada aparece constantemente en los exámenes, así que practiquemos con ejercicios más desafiantes.
Ejercicio 19.8.4: Tenemos P(A) = 0,3 y P = 0,4. Para hallar P(A ∩ B), usamos: P = P(A ∩ B)/P(A), entonces 0,4 = P(A ∩ B)/0,3, por lo que P(A ∩ B) = 0,12.
Ejercicio 21.6.4: Con P(A) = 2/5, P(B) = 1/2 y P = 4/5. Calculamos P(A ∩ B) = P × P(B) = 4/5 × 1/2 = 2/5. Como P(A ∩ B) ≠ 0, los sucesos son compatibles.
Ejercicio 21.4.4: P(A) = 0,5, P = 0,4 y P(A ∪ B) = 0,9. Primero P(A ∩ B) = 0,4 × 0,5 = 0,2. Luego P(B) = 0,9 + 0,2 - 0,5 = 0,6. Para independencia: P(A) × P(B) = 0,3 ≠ P(A ∩ B) = 0,2, así que son dependientes.
💡 Recuerda: En probabilidad condicionada, P significa "probabilidad de A sabiendo que ha ocurrido B".

$P(E)-1$
$
A$ - suceso contrario de $A \rightarrow P(\overlin](/_next/image?url=https%3A%2F%2Fcontent-eu-central-1.knowunity.com%2FCONTENT%2FRurHEZVeCMJizWnmtgqc_image_page_4.webp&w=2048&q=75)
Acceso a todos los documentos
Mejora tus notas
Únete a millones de estudiantes
Los problemas con contexto real son los que más salen en selectividad. Te ayudo a traducir las palabras a fórmulas matemáticas.
Problema de gustos musicales: P(A) = 0,55 (música moderna), P(B) = 0,40 (música clásica). Si P(A ∪ B) = 0,25, entonces P(A ∪ B) = 1 - 0,25 = 0,75. Para hallar quiénes gustan de ambos tipos: P(A ∩ B) = 0,55 + 0,40 - 0,75 = 0,20.
Problema de compras: P(A) = 0,6 (compra producto A), P(B) = 0,3 (producto B), P = 0,4. La probabilidad de comprar ambos es P(A ∩ B) = P × P(B) = 0,4 × 0,3 = 0,12.
Para "no compra ninguno": P(A ∪ B) = 1 - P(A ∪ B). Primero calculamos P(A ∪ B) = 0,6 + 0,3 - 0,12 = 0,78, entonces P(A ∪ B) = 1 - 0,78 = 0,22.
💡 Estrategia: Lee el problema dos veces, identifica los sucesos A y B, traduce las palabras a símbolos matemáticos y aplica las fórmulas.
Nuestro compañero de IA está específicamente adaptado a las necesidades de los estudiantes. Basándonos en los millones de contenidos que tenemos en la plataforma, podemos dar a los estudiantes respuestas realmente significativas y relevantes. Pero no se trata solo de respuestas, el compañero también guía a los estudiantes a través de sus retos de aprendizaje diarios, con planes de aprendizaje personalizados, cuestionarios o contenidos en el chat y una personalización del 100% basada en las habilidades y el desarrollo de los estudiantes.
Puedes descargar la app en Google Play Store y Apple App Store.
Sí, tienes acceso gratuito a los contenidos de la aplicación y a nuestro compañero de IA. Para desbloquear determinadas funciones de la aplicación, puedes adquirir Knowunity Pro.
13
Herramientas Inteligentes NUEVO
Transforma estos apuntes en: ✓ 50+ Preguntas de Práctica ✓ Flashcards Interactivas ✓ Examen Completo de Práctica ✓ Esquemas de Ensayo
Sintexis de Lengua Castellana. Incluye las oraciones simples, los complementos y todas las oraciones compuestas
App Store
Google Play
La app es muy fácil de usar y está muy bien diseñada. Hasta ahora he encontrado todo lo que estaba buscando y he podido aprender mucho de las presentaciones. Definitivamente utilizaré la aplicación para un examen de clase. Y, por supuesto, también me sirve mucho de inspiración.
Pablo
usuario de iOS
Esta app es realmente genial. Hay tantos apuntes de clase y ayuda [...]. Tengo problemas con matemáticas, por ejemplo, y la aplicación tiene muchas opciones de ayuda. Gracias a Knowunity, he mejorado en mates. Se la recomiendo a todo el mundo.
Elena
usuaria de Android
Vaya, estoy realmente sorprendida. Acabo de probar la app porque la he visto anunciada muchas veces y me he quedado absolutamente alucinada. Esta app es LA AYUDA que quieres para el insti y, sobre todo, ofrece muchísimas cosas, como ejercicios y hojas informativas, que a mí personalmente me han sido MUY útiles.
Ana
usuaria de iOS
Está app es muy buena, tiene apuntes que son de mucha ayuda y su IA es fantástica, te explica a la perfección y muy fácil de entender lo que necesites, te ayuda con los deberes, te hace esquemas... en definitiva es una muy buena opción!
Sophia
usuario de Android
Me encanta!!! Me resuelve todo con detalle y me da la explicación correcta. Tiene un montón de funciones, ami me ha ido genial!! Os la recomiendo!!!
Marta
usuaria de Android
La uso casi diariamente, sirve para todas las asignaturas. Yo, por ejemplo la utilizo más en inglés porque se me da bastante mal, ¡Todas las respuestas están correctas! Consta con personas reales que suben sus apuntes y IA para que puedas hacer los deberes muchísimo más fácil, la recomiendo.
Izan
usuario de iOS
¡La app es buenísima! Sólo tengo que introducir el tema en la barra de búsqueda y recibo la respuesta muy rápido. No tengo que ver 10 vídeos de YouTube para entender algo, así que me ahorro tiempo. ¡Muy recomendable!
Sara
usuaria de Android
En el instituto era muy malo en matemáticas, pero gracias a la app, ahora saco mejores notas. Os agradezco mucho que hayáis creado la aplicación.
Roberto
usuario de Android
Esto no es como Chatgpt, es MUCHISMO MEJOR, te hace unos resúmenes espectaculares y gracias a esta app pase de sacar 5-6 a sacar 8-9.
Julyana
usuaria de Android
Es la mejor aplicación del mundo, la uso para revisar los deberes a mi hijo.
Javier
usuario de Android
LOS QUIZ Y FLASHCARDS SON SÚPER ÚTILES Y ME ENCANTA Knowunity IA. ADEMÁS ES LITERALMENTE COMO CHATGPT PERO MÁS LISTO!! ME AYUDÓ TAMBIÉN CON MIS PROBLEMAS DE MÁSCARA!! Y CON MIS ASIGNATURAS DE VERDAD! OBVIO 😍😁😲🤑💗✨🎀😮
Erick
usuario de Android
Me me encanta esta app, todo lo que tiene es de calidad ya que antes de ser publicado es revisado por un equipo de profesionales. Me ha ido genial esta aplicación ya que gracias a ella puedo estudiar mucho mejor, sin tener que agobiarme porque mi profesor no ha hecho teoría o porque no entiendo su teoría. Le doy un 10 de 10!
Mar
usuaria de iOS
La app es muy fácil de usar y está muy bien diseñada. Hasta ahora he encontrado todo lo que estaba buscando y he podido aprender mucho de las presentaciones. Definitivamente utilizaré la aplicación para un examen de clase. Y, por supuesto, también me sirve mucho de inspiración.
Pablo
usuario de iOS
Esta app es realmente genial. Hay tantos apuntes de clase y ayuda [...]. Tengo problemas con matemáticas, por ejemplo, y la aplicación tiene muchas opciones de ayuda. Gracias a Knowunity, he mejorado en mates. Se la recomiendo a todo el mundo.
Elena
usuaria de Android
Vaya, estoy realmente sorprendida. Acabo de probar la app porque la he visto anunciada muchas veces y me he quedado absolutamente alucinada. Esta app es LA AYUDA que quieres para el insti y, sobre todo, ofrece muchísimas cosas, como ejercicios y hojas informativas, que a mí personalmente me han sido MUY útiles.
Ana
usuaria de iOS
Está app es muy buena, tiene apuntes que son de mucha ayuda y su IA es fantástica, te explica a la perfección y muy fácil de entender lo que necesites, te ayuda con los deberes, te hace esquemas... en definitiva es una muy buena opción!
Sophia
usuario de Android
Me encanta!!! Me resuelve todo con detalle y me da la explicación correcta. Tiene un montón de funciones, ami me ha ido genial!! Os la recomiendo!!!
Marta
usuaria de Android
La uso casi diariamente, sirve para todas las asignaturas. Yo, por ejemplo la utilizo más en inglés porque se me da bastante mal, ¡Todas las respuestas están correctas! Consta con personas reales que suben sus apuntes y IA para que puedas hacer los deberes muchísimo más fácil, la recomiendo.
Izan
usuario de iOS
¡La app es buenísima! Sólo tengo que introducir el tema en la barra de búsqueda y recibo la respuesta muy rápido. No tengo que ver 10 vídeos de YouTube para entender algo, así que me ahorro tiempo. ¡Muy recomendable!
Sara
usuaria de Android
En el instituto era muy malo en matemáticas, pero gracias a la app, ahora saco mejores notas. Os agradezco mucho que hayáis creado la aplicación.
Roberto
usuario de Android
Esto no es como Chatgpt, es MUCHISMO MEJOR, te hace unos resúmenes espectaculares y gracias a esta app pase de sacar 5-6 a sacar 8-9.
Julyana
usuaria de Android
Es la mejor aplicación del mundo, la uso para revisar los deberes a mi hijo.
Javier
usuario de Android
LOS QUIZ Y FLASHCARDS SON SÚPER ÚTILES Y ME ENCANTA Knowunity IA. ADEMÁS ES LITERALMENTE COMO CHATGPT PERO MÁS LISTO!! ME AYUDÓ TAMBIÉN CON MIS PROBLEMAS DE MÁSCARA!! Y CON MIS ASIGNATURAS DE VERDAD! OBVIO 😍😁😲🤑💗✨🎀😮
Erick
usuario de Android
Me me encanta esta app, todo lo que tiene es de calidad ya que antes de ser publicado es revisado por un equipo de profesionales. Me ha ido genial esta aplicación ya que gracias a ella puedo estudiar mucho mejor, sin tener que agobiarme porque mi profesor no ha hecho teoría o porque no entiendo su teoría. Le doy un 10 de 10!
Mar
usuaria de iOS