Aprendre a resoldre equacions i inequacions és fonamental per avançar... Mostrar más
Inscríbete para ver los apuntes¡Es gratis!
Acceso a todos los documentos
Mejora tus notas
Únete a millones de estudiantes
Knowunity AI
Asignaturas
Triangle Congruence and Similarity Theorems
Triangle Properties and Classification
Linear Equations and Graphs
Geometric Angle Relationships
Trigonometric Functions and Identities
Equation Solving Techniques
Circle Geometry Fundamentals
Division Operations and Methods
Basic Differentiation Rules
Exponent and Logarithm Properties
Mostrar todos los temas
Human Organ Systems
Reproductive Cell Cycles
Biological Sciences Subdisciplines
Cellular Energy Metabolism
Autotrophic Energy Processes
Inheritance Patterns and Principles
Biomolecular Structure and Organization
Cell Cycle and Division Mechanics
Cellular Organization and Development
Biological Structural Organization
Mostrar todos los temas
Chemical Sciences and Applications
Atomic Structure and Composition
Molecular Electron Structure Representation
Atomic Electron Behavior
Matter Properties and Water
Mole Concept and Calculations
Gas Laws and Behavior
Periodic Table Organization
Chemical Thermodynamics Fundamentals
Chemical Bond Types and Properties
Mostrar todos los temas
European Renaissance and Enlightenment
European Cultural Movements 800-1920
American Revolution Era 1763-1797
American Civil War 1861-1865
Global Imperial Systems
Mongol and Chinese Dynasties
U.S. Presidents and World Leaders
Historical Sources and Documentation
World Wars Era and Impact
World Religious Systems
Mostrar todos los temas
Classic and Contemporary Novels
Literary Character Analysis
Rhetorical Theory and Practice
Classic Literary Narratives
Reading Analysis and Interpretation
Narrative Structure and Techniques
English Language Components
Influential English-Language Authors
Basic Sentence Structure
Narrative Voice and Perspective
Mostrar todos los temas
283
•
Actualizado Mar 26, 2026
•
Aprendre a resoldre equacions i inequacions és fonamental per avançar... Mostrar más











Les equacions polinòmiques es transformen sempre per tenir el polinomi en un membre i zero a l'altre. Això és el teu punt de partida per resoldre qualsevol equació.
Les equacions de primer grau tenen la forma ax + b = 0. Per resoldre-les, simplement aïlles la x passant tots els termes a un costat. Fixa't en l'exemple: quan tens parèntesis i fraccions, primer expandeix tot i després agrupa els termes semblants.
Les equacions de segon grau segueixen la fórmula ax² + bx + c = 0. Recorda la fórmula quadràtica: x = /2a. Si el discriminant és negatiu, l'equació no té solucions reals.
Consell important: Sempre comprova les teves solucions substituint-les a l'equació original!

Les equacions biquadrades tenen la forma ax⁴ + bx² + c = 0. El truc és fer el canvi de variable z = x², convertint-la en una equació de segon grau normal. Després, quan trobis els valors de z, recorda que x = ±√z.
Per a equacions de grau superior, utilitza la regla de Ruffini. Busca les arrels entre els divisors del terme independent. Si el terme independent és 3, prova amb ±1, ±3.
Quan factoritzis amb Ruffini, pots descomposar l'equació original en factors més simples. Per exemple: 8x⁴ - 14x³ - 29x² - 4x + 3 = .
Recorda: Les equacions biquadrades sempre et donaran fins a 4 solucions reals (positives i negatives).

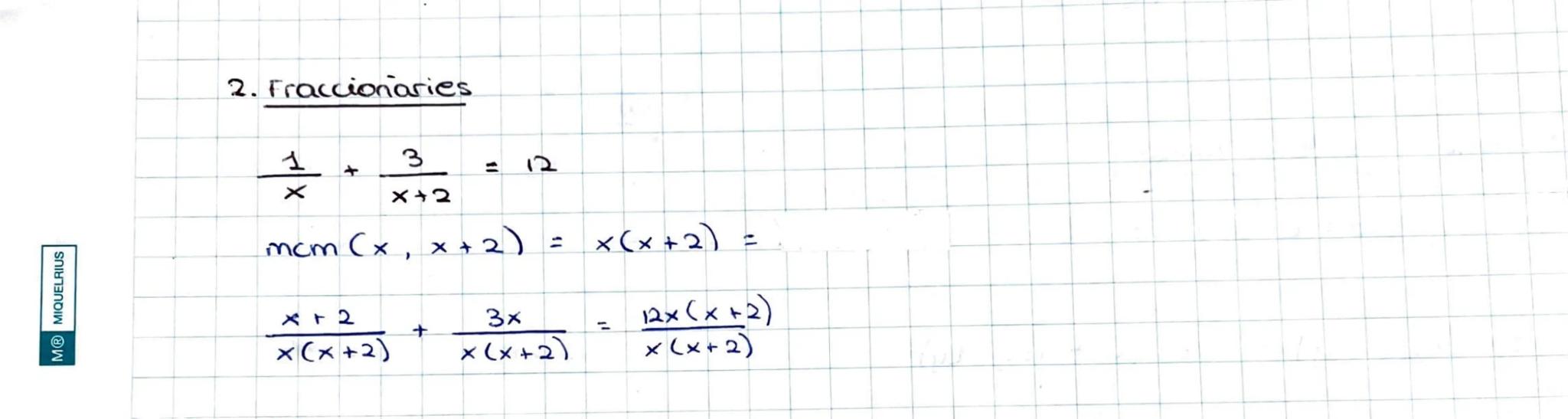
Quan tinguis fraccions amb incògnites al denominador, el primer pas és trobar el mínim comú múltiple (mcm) de tots els denominadors. Això t'ajudarà a eliminar les fraccions.
Multiplica tots els termes per l'mcm per convertir l'equació en una de polinòmica normal. Per exemple, si tens 1/x + 3/ = 12, l'mcm és x.
Després de simplificar, obtindràs una equació polinòmica que ja saps resoldre. Important: sempre comprova que les solucions no facin zero els denominadors originals, ja que això les invalidaria.
Atenció: Les solucions que anulen els denominadors originals no són vàlides!

Les equacions logarítmiques es basen en la definició: log_a(b) = c ⟺ a^c = b. Aquesta equivalència és la teva eina principal.
Utilitza les propietats dels logaritmes: log(xy) = log(x) + log(y), log = log(x) - log(y), i log = n·log(x). Aquestes propietats et permeten simplificar expressions complexes.
La regla d'or és: si log(A) = log(B), llavors A = B. Això et permet eliminar els logaritmes i resoldre l'equació resultant. Sempre verifica que els arguments dels logaritmes siguin positius.
Per exemple, en 2log(x) = log(32) - log(8), primer simplifiques: log(x²) = log(4), per tant x² = 4, i x = 2.
Crucial: Els logaritmes només existeixen per a nombres positius!

Les equacions exponencials tenen la incògnita a l'exponent. Hi ha tres estratègies principals: igualtat de bases, aplicació de logaritmes, o canvi de variable.
Per igualtat de bases, transforma ambdós membres perquè tinguin la mateixa base. Si 3^ = 3^x, llavors x² + 2x + 4 = x.
Quan no pots igualar bases, aplica logaritmes als dos membres. Per exemple, si e^x = 41, llavors ln = ln(41), així x = ln(41).
El canvi de variable és útil quan tens la mateixa base amb diferents exponents. Si tens 4^ + 2^(2x) = 320, converteix tot a base 2 i fes t = 2^x.
Recorda: a^m = a^n implica m = n només quan a ≠ 0, 1, -1.

Un sistema de 3 equacions amb 3 incògnites pot ser compatible determinat (una solució), compatible indeterminat (infinites solucions), o incompatible (cap solució).
El mètode de Gauss transforma el sistema en forma escalonada. Això significa eliminar variables progressivament fins obtenir un triangle de coeficients.
Per sistemes logarítmics, utilitza les propietats dels logaritmes per simplificar abans de resoldre. Si log(x) + log(y) = 5, llavors log(xy) = 5, així xy = 10^5.
Els sistemes exponencials sovint requereixen canvis de variable. Si tens 2^x + 3^y = 13, fes u = 2^x i v = 3^y per convertir-ho en un sistema lineal.
Estratègia: Sempre busca simplificar abans de resoldre el sistema complet.

Els sistemes logarítmics complexos requereixen aplicar múltiples propietats simultàniament. Recorda que log(x²) - log(y²) = log = 2log.
En sistemes exponencials, el canvi de variable és essencial. Amb u = 2^x i v = 3^y, pots convertir expressions com 2^x + 3^ en u + 3v, molt més manejable.
Les inequacions són com equacions però amb desigualtats. Els símbols són: > (major), < (menor), ≥ (major o igual), ≤ (menor o igual). La resolució segueix el mateix procés que les equacions, amb una excepció important.
Quan multipliques o divideixes per un nombre negatiu, el símbol de la desigualtat canvia de sentit. Per exemple, si -2x > 4, llavors x < -2.
Important: Multiplicar per un negatiu canvia el sentit de la desigualtat!

Les inequacions de primer grau es resolen igual que les equacions, però mantenim el símbol de desigualtat. La solució final s'expressa com un interval.
Per resoldre 5x - 4 ≤ 3x + 1/2, agrupes termes: 2x ≤ 4.5, així x ≤ 2.25. La solució és x ∈ (-∞, 2.25].
Sempre comprova la solució substituint un valor de l'interval a la inequació original. Si funciona, has resolt correctament.
Els sistemes d'inequacions requereixen que totes les inequacions es compleixin simultàniament. Resol cada inequació per separat i després troba la intersecció de les solucions.
Consell pràctic: Dibuixa els intervals a la recta numèrica per visualitzar la intersecció.

Les inequacions de segon grau com x² - 2x - 8 ≤ 0 requereixen primer trobar les arrels de l'equació corresponent. Aquestes arrels divideixen la recta en intervals.
Després d'obtenir les arrels , comprova el signe de l'expressió en cada interval. Utilitza valors de prova: x = -100, x = 0, x = 100.
La regla del signe: si l'expressió quadràtica té coeficient principal positiu, la paràbola obre cap amunt. La inequació ≤ 0 es compleix entre les arrels.
Els sistemes d'inequacions combinen diverses inequacions. La solució final és la intersecció de totes les solucions individuals. En l'exemple, x > -1/2 i x ∈ (-∞, -3] ∪ [1, +∞) dóna x ∈ (1, +∞).
Visualització: Sempre representa gràficament per entendre millor les solucions.

Les inequacions amb fraccions algebraiques requereixen atenció especial al denominador. Per x²-9/ ≥ 3, primer porta tot a un membre: / ≥ 0.
Troba les arrels del numerador i denominador per separat. El denominador mai pot ser zero, així que x ≠ 4 és una restricció obligatòria.
Estudia el signe de l'expressió en cada interval determinat per les arrels. Recorda que quan el denominador canvia de signe, tota la fracció canvia de signe.
Les aplicacions pràctiques apareixen en problemes d'edats, geometria i percentatges. El mètode de Gauss per a sistemes 3x3 és essencial per resoldre aquests problemes reals.
Precaució: En fraccions algebraiques, el denominador no pot mai valer zero.
Nuestro compañero de IA está específicamente adaptado a las necesidades de los estudiantes. Basándonos en los millones de contenidos que tenemos en la plataforma, podemos dar a los estudiantes respuestas realmente significativas y relevantes. Pero no se trata solo de respuestas, el compañero también guía a los estudiantes a través de sus retos de aprendizaje diarios, con planes de aprendizaje personalizados, cuestionarios o contenidos en el chat y una personalización del 100% basada en las habilidades y el desarrollo de los estudiantes.
Puedes descargar la app en Google Play Store y Apple App Store.
Sí, tienes acceso gratuito a los contenidos de la aplicación y a nuestro compañero de IA. Para desbloquear determinadas funciones de la aplicación, puedes adquirir Knowunity Pro.
Els nombres reals
nombres reals
Sintexis de Lengua Castellana. Incluye las oraciones simples, los complementos y todas las oraciones compuestas
App Store
Google Play
La app es muy fácil de usar y está muy bien diseñada. Hasta ahora he encontrado todo lo que estaba buscando y he podido aprender mucho de las presentaciones. Definitivamente utilizaré la aplicación para un examen de clase. Y, por supuesto, también me sirve mucho de inspiración.
Pablo
usuario de iOS
Esta app es realmente genial. Hay tantos apuntes de clase y ayuda [...]. Tengo problemas con matemáticas, por ejemplo, y la aplicación tiene muchas opciones de ayuda. Gracias a Knowunity, he mejorado en mates. Se la recomiendo a todo el mundo.
Elena
usuaria de Android
Vaya, estoy realmente sorprendida. Acabo de probar la app porque la he visto anunciada muchas veces y me he quedado absolutamente alucinada. Esta app es LA AYUDA que quieres para el insti y, sobre todo, ofrece muchísimas cosas, como ejercicios y hojas informativas, que a mí personalmente me han sido MUY útiles.
Ana
usuaria de iOS
Está app es muy buena, tiene apuntes que son de mucha ayuda y su IA es fantástica, te explica a la perfección y muy fácil de entender lo que necesites, te ayuda con los deberes, te hace esquemas... en definitiva es una muy buena opción!
Sophia
usuario de Android
Me encanta!!! Me resuelve todo con detalle y me da la explicación correcta. Tiene un montón de funciones, ami me ha ido genial!! Os la recomiendo!!!
Marta
usuaria de Android
La uso casi diariamente, sirve para todas las asignaturas. Yo, por ejemplo la utilizo más en inglés porque se me da bastante mal, ¡Todas las respuestas están correctas! Consta con personas reales que suben sus apuntes y IA para que puedas hacer los deberes muchísimo más fácil, la recomiendo.
Izan
usuario de iOS
¡La app es buenísima! Sólo tengo que introducir el tema en la barra de búsqueda y recibo la respuesta muy rápido. No tengo que ver 10 vídeos de YouTube para entender algo, así que me ahorro tiempo. ¡Muy recomendable!
Sara
usuaria de Android
En el instituto era muy malo en matemáticas, pero gracias a la app, ahora saco mejores notas. Os agradezco mucho que hayáis creado la aplicación.
Roberto
usuario de Android
Esto no es como Chatgpt, es MUCHISMO MEJOR, te hace unos resúmenes espectaculares y gracias a esta app pase de sacar 5-6 a sacar 8-9.
Julyana
usuaria de Android
Es la mejor aplicación del mundo, la uso para revisar los deberes a mi hijo.
Javier
usuario de Android
LOS QUIZ Y FLASHCARDS SON SÚPER ÚTILES Y ME ENCANTA Knowunity IA. ADEMÁS ES LITERALMENTE COMO CHATGPT PERO MÁS LISTO!! ME AYUDÓ TAMBIÉN CON MIS PROBLEMAS DE MÁSCARA!! Y CON MIS ASIGNATURAS DE VERDAD! OBVIO 😍😁😲🤑💗✨🎀😮
Erick
usuario de Android
Me me encanta esta app, todo lo que tiene es de calidad ya que antes de ser publicado es revisado por un equipo de profesionales. Me ha ido genial esta aplicación ya que gracias a ella puedo estudiar mucho mejor, sin tener que agobiarme porque mi profesor no ha hecho teoría o porque no entiendo su teoría. Le doy un 10 de 10!
Mar
usuaria de iOS
La app es muy fácil de usar y está muy bien diseñada. Hasta ahora he encontrado todo lo que estaba buscando y he podido aprender mucho de las presentaciones. Definitivamente utilizaré la aplicación para un examen de clase. Y, por supuesto, también me sirve mucho de inspiración.
Pablo
usuario de iOS
Esta app es realmente genial. Hay tantos apuntes de clase y ayuda [...]. Tengo problemas con matemáticas, por ejemplo, y la aplicación tiene muchas opciones de ayuda. Gracias a Knowunity, he mejorado en mates. Se la recomiendo a todo el mundo.
Elena
usuaria de Android
Vaya, estoy realmente sorprendida. Acabo de probar la app porque la he visto anunciada muchas veces y me he quedado absolutamente alucinada. Esta app es LA AYUDA que quieres para el insti y, sobre todo, ofrece muchísimas cosas, como ejercicios y hojas informativas, que a mí personalmente me han sido MUY útiles.
Ana
usuaria de iOS
Está app es muy buena, tiene apuntes que son de mucha ayuda y su IA es fantástica, te explica a la perfección y muy fácil de entender lo que necesites, te ayuda con los deberes, te hace esquemas... en definitiva es una muy buena opción!
Sophia
usuario de Android
Me encanta!!! Me resuelve todo con detalle y me da la explicación correcta. Tiene un montón de funciones, ami me ha ido genial!! Os la recomiendo!!!
Marta
usuaria de Android
La uso casi diariamente, sirve para todas las asignaturas. Yo, por ejemplo la utilizo más en inglés porque se me da bastante mal, ¡Todas las respuestas están correctas! Consta con personas reales que suben sus apuntes y IA para que puedas hacer los deberes muchísimo más fácil, la recomiendo.
Izan
usuario de iOS
¡La app es buenísima! Sólo tengo que introducir el tema en la barra de búsqueda y recibo la respuesta muy rápido. No tengo que ver 10 vídeos de YouTube para entender algo, así que me ahorro tiempo. ¡Muy recomendable!
Sara
usuaria de Android
En el instituto era muy malo en matemáticas, pero gracias a la app, ahora saco mejores notas. Os agradezco mucho que hayáis creado la aplicación.
Roberto
usuario de Android
Esto no es como Chatgpt, es MUCHISMO MEJOR, te hace unos resúmenes espectaculares y gracias a esta app pase de sacar 5-6 a sacar 8-9.
Julyana
usuaria de Android
Es la mejor aplicación del mundo, la uso para revisar los deberes a mi hijo.
Javier
usuario de Android
LOS QUIZ Y FLASHCARDS SON SÚPER ÚTILES Y ME ENCANTA Knowunity IA. ADEMÁS ES LITERALMENTE COMO CHATGPT PERO MÁS LISTO!! ME AYUDÓ TAMBIÉN CON MIS PROBLEMAS DE MÁSCARA!! Y CON MIS ASIGNATURAS DE VERDAD! OBVIO 😍😁😲🤑💗✨🎀😮
Erick
usuario de Android
Me me encanta esta app, todo lo que tiene es de calidad ya que antes de ser publicado es revisado por un equipo de profesionales. Me ha ido genial esta aplicación ya que gracias a ella puedo estudiar mucho mejor, sin tener que agobiarme porque mi profesor no ha hecho teoría o porque no entiendo su teoría. Le doy un 10 de 10!
Mar
usuaria de iOS
Aprendre a resoldre equacions i inequacions és fonamental per avançar en matemàtiques. Aquest tema et donarà les eines per resoldre problemes reals i preparar-te per als exàmens de selectivitat.

Acceso a todos los documentos
Mejora tus notas
Únete a millones de estudiantes
Les equacions polinòmiques es transformen sempre per tenir el polinomi en un membre i zero a l'altre. Això és el teu punt de partida per resoldre qualsevol equació.
Les equacions de primer grau tenen la forma ax + b = 0. Per resoldre-les, simplement aïlles la x passant tots els termes a un costat. Fixa't en l'exemple: quan tens parèntesis i fraccions, primer expandeix tot i després agrupa els termes semblants.
Les equacions de segon grau segueixen la fórmula ax² + bx + c = 0. Recorda la fórmula quadràtica: x = /2a. Si el discriminant és negatiu, l'equació no té solucions reals.
Consell important: Sempre comprova les teves solucions substituint-les a l'equació original!

Acceso a todos los documentos
Mejora tus notas
Únete a millones de estudiantes
Les equacions biquadrades tenen la forma ax⁴ + bx² + c = 0. El truc és fer el canvi de variable z = x², convertint-la en una equació de segon grau normal. Després, quan trobis els valors de z, recorda que x = ±√z.
Per a equacions de grau superior, utilitza la regla de Ruffini. Busca les arrels entre els divisors del terme independent. Si el terme independent és 3, prova amb ±1, ±3.
Quan factoritzis amb Ruffini, pots descomposar l'equació original en factors més simples. Per exemple: 8x⁴ - 14x³ - 29x² - 4x + 3 = .
Recorda: Les equacions biquadrades sempre et donaran fins a 4 solucions reals (positives i negatives).

Acceso a todos los documentos
Mejora tus notas
Únete a millones de estudiantes
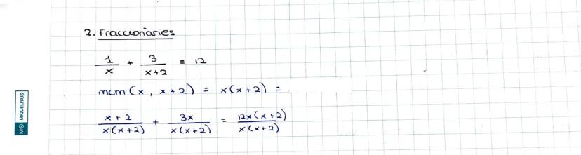
Quan tinguis fraccions amb incògnites al denominador, el primer pas és trobar el mínim comú múltiple (mcm) de tots els denominadors. Això t'ajudarà a eliminar les fraccions.
Multiplica tots els termes per l'mcm per convertir l'equació en una de polinòmica normal. Per exemple, si tens 1/x + 3/ = 12, l'mcm és x.
Després de simplificar, obtindràs una equació polinòmica que ja saps resoldre. Important: sempre comprova que les solucions no facin zero els denominadors originals, ja que això les invalidaria.
Atenció: Les solucions que anulen els denominadors originals no són vàlides!

Acceso a todos los documentos
Mejora tus notas
Únete a millones de estudiantes
Les equacions logarítmiques es basen en la definició: log_a(b) = c ⟺ a^c = b. Aquesta equivalència és la teva eina principal.
Utilitza les propietats dels logaritmes: log(xy) = log(x) + log(y), log = log(x) - log(y), i log = n·log(x). Aquestes propietats et permeten simplificar expressions complexes.
La regla d'or és: si log(A) = log(B), llavors A = B. Això et permet eliminar els logaritmes i resoldre l'equació resultant. Sempre verifica que els arguments dels logaritmes siguin positius.
Per exemple, en 2log(x) = log(32) - log(8), primer simplifiques: log(x²) = log(4), per tant x² = 4, i x = 2.
Crucial: Els logaritmes només existeixen per a nombres positius!

Acceso a todos los documentos
Mejora tus notas
Únete a millones de estudiantes
Les equacions exponencials tenen la incògnita a l'exponent. Hi ha tres estratègies principals: igualtat de bases, aplicació de logaritmes, o canvi de variable.
Per igualtat de bases, transforma ambdós membres perquè tinguin la mateixa base. Si 3^ = 3^x, llavors x² + 2x + 4 = x.
Quan no pots igualar bases, aplica logaritmes als dos membres. Per exemple, si e^x = 41, llavors ln = ln(41), així x = ln(41).
El canvi de variable és útil quan tens la mateixa base amb diferents exponents. Si tens 4^ + 2^(2x) = 320, converteix tot a base 2 i fes t = 2^x.
Recorda: a^m = a^n implica m = n només quan a ≠ 0, 1, -1.

Acceso a todos los documentos
Mejora tus notas
Únete a millones de estudiantes
Un sistema de 3 equacions amb 3 incògnites pot ser compatible determinat (una solució), compatible indeterminat (infinites solucions), o incompatible (cap solució).
El mètode de Gauss transforma el sistema en forma escalonada. Això significa eliminar variables progressivament fins obtenir un triangle de coeficients.
Per sistemes logarítmics, utilitza les propietats dels logaritmes per simplificar abans de resoldre. Si log(x) + log(y) = 5, llavors log(xy) = 5, així xy = 10^5.
Els sistemes exponencials sovint requereixen canvis de variable. Si tens 2^x + 3^y = 13, fes u = 2^x i v = 3^y per convertir-ho en un sistema lineal.
Estratègia: Sempre busca simplificar abans de resoldre el sistema complet.

Acceso a todos los documentos
Mejora tus notas
Únete a millones de estudiantes
Els sistemes logarítmics complexos requereixen aplicar múltiples propietats simultàniament. Recorda que log(x²) - log(y²) = log = 2log.
En sistemes exponencials, el canvi de variable és essencial. Amb u = 2^x i v = 3^y, pots convertir expressions com 2^x + 3^ en u + 3v, molt més manejable.
Les inequacions són com equacions però amb desigualtats. Els símbols són: > (major), < (menor), ≥ (major o igual), ≤ (menor o igual). La resolució segueix el mateix procés que les equacions, amb una excepció important.
Quan multipliques o divideixes per un nombre negatiu, el símbol de la desigualtat canvia de sentit. Per exemple, si -2x > 4, llavors x < -2.
Important: Multiplicar per un negatiu canvia el sentit de la desigualtat!

Acceso a todos los documentos
Mejora tus notas
Únete a millones de estudiantes
Les inequacions de primer grau es resolen igual que les equacions, però mantenim el símbol de desigualtat. La solució final s'expressa com un interval.
Per resoldre 5x - 4 ≤ 3x + 1/2, agrupes termes: 2x ≤ 4.5, així x ≤ 2.25. La solució és x ∈ (-∞, 2.25].
Sempre comprova la solució substituint un valor de l'interval a la inequació original. Si funciona, has resolt correctament.
Els sistemes d'inequacions requereixen que totes les inequacions es compleixin simultàniament. Resol cada inequació per separat i després troba la intersecció de les solucions.
Consell pràctic: Dibuixa els intervals a la recta numèrica per visualitzar la intersecció.

Acceso a todos los documentos
Mejora tus notas
Únete a millones de estudiantes
Les inequacions de segon grau com x² - 2x - 8 ≤ 0 requereixen primer trobar les arrels de l'equació corresponent. Aquestes arrels divideixen la recta en intervals.
Després d'obtenir les arrels , comprova el signe de l'expressió en cada interval. Utilitza valors de prova: x = -100, x = 0, x = 100.
La regla del signe: si l'expressió quadràtica té coeficient principal positiu, la paràbola obre cap amunt. La inequació ≤ 0 es compleix entre les arrels.
Els sistemes d'inequacions combinen diverses inequacions. La solució final és la intersecció de totes les solucions individuals. En l'exemple, x > -1/2 i x ∈ (-∞, -3] ∪ [1, +∞) dóna x ∈ (1, +∞).
Visualització: Sempre representa gràficament per entendre millor les solucions.

Acceso a todos los documentos
Mejora tus notas
Únete a millones de estudiantes
Les inequacions amb fraccions algebraiques requereixen atenció especial al denominador. Per x²-9/ ≥ 3, primer porta tot a un membre: / ≥ 0.
Troba les arrels del numerador i denominador per separat. El denominador mai pot ser zero, així que x ≠ 4 és una restricció obligatòria.
Estudia el signe de l'expressió en cada interval determinat per les arrels. Recorda que quan el denominador canvia de signe, tota la fracció canvia de signe.
Les aplicacions pràctiques apareixen en problemes d'edats, geometria i percentatges. El mètode de Gauss per a sistemes 3x3 és essencial per resoldre aquests problemes reals.
Precaució: En fraccions algebraiques, el denominador no pot mai valer zero.
Nuestro compañero de IA está específicamente adaptado a las necesidades de los estudiantes. Basándonos en los millones de contenidos que tenemos en la plataforma, podemos dar a los estudiantes respuestas realmente significativas y relevantes. Pero no se trata solo de respuestas, el compañero también guía a los estudiantes a través de sus retos de aprendizaje diarios, con planes de aprendizaje personalizados, cuestionarios o contenidos en el chat y una personalización del 100% basada en las habilidades y el desarrollo de los estudiantes.
Puedes descargar la app en Google Play Store y Apple App Store.
Sí, tienes acceso gratuito a los contenidos de la aplicación y a nuestro compañero de IA. Para desbloquear determinadas funciones de la aplicación, puedes adquirir Knowunity Pro.
33
Herramientas Inteligentes NUEVO
Transforma estos apuntes en: ✓ 50+ Preguntas de Práctica ✓ Flashcards Interactivas ✓ Examen Completo de Práctica ✓ Esquemas de Ensayo
Els nombres reals
nombres reals
Sintexis de Lengua Castellana. Incluye las oraciones simples, los complementos y todas las oraciones compuestas
App Store
Google Play
La app es muy fácil de usar y está muy bien diseñada. Hasta ahora he encontrado todo lo que estaba buscando y he podido aprender mucho de las presentaciones. Definitivamente utilizaré la aplicación para un examen de clase. Y, por supuesto, también me sirve mucho de inspiración.
Pablo
usuario de iOS
Esta app es realmente genial. Hay tantos apuntes de clase y ayuda [...]. Tengo problemas con matemáticas, por ejemplo, y la aplicación tiene muchas opciones de ayuda. Gracias a Knowunity, he mejorado en mates. Se la recomiendo a todo el mundo.
Elena
usuaria de Android
Vaya, estoy realmente sorprendida. Acabo de probar la app porque la he visto anunciada muchas veces y me he quedado absolutamente alucinada. Esta app es LA AYUDA que quieres para el insti y, sobre todo, ofrece muchísimas cosas, como ejercicios y hojas informativas, que a mí personalmente me han sido MUY útiles.
Ana
usuaria de iOS
Está app es muy buena, tiene apuntes que son de mucha ayuda y su IA es fantástica, te explica a la perfección y muy fácil de entender lo que necesites, te ayuda con los deberes, te hace esquemas... en definitiva es una muy buena opción!
Sophia
usuario de Android
Me encanta!!! Me resuelve todo con detalle y me da la explicación correcta. Tiene un montón de funciones, ami me ha ido genial!! Os la recomiendo!!!
Marta
usuaria de Android
La uso casi diariamente, sirve para todas las asignaturas. Yo, por ejemplo la utilizo más en inglés porque se me da bastante mal, ¡Todas las respuestas están correctas! Consta con personas reales que suben sus apuntes y IA para que puedas hacer los deberes muchísimo más fácil, la recomiendo.
Izan
usuario de iOS
¡La app es buenísima! Sólo tengo que introducir el tema en la barra de búsqueda y recibo la respuesta muy rápido. No tengo que ver 10 vídeos de YouTube para entender algo, así que me ahorro tiempo. ¡Muy recomendable!
Sara
usuaria de Android
En el instituto era muy malo en matemáticas, pero gracias a la app, ahora saco mejores notas. Os agradezco mucho que hayáis creado la aplicación.
Roberto
usuario de Android
Esto no es como Chatgpt, es MUCHISMO MEJOR, te hace unos resúmenes espectaculares y gracias a esta app pase de sacar 5-6 a sacar 8-9.
Julyana
usuaria de Android
Es la mejor aplicación del mundo, la uso para revisar los deberes a mi hijo.
Javier
usuario de Android
LOS QUIZ Y FLASHCARDS SON SÚPER ÚTILES Y ME ENCANTA Knowunity IA. ADEMÁS ES LITERALMENTE COMO CHATGPT PERO MÁS LISTO!! ME AYUDÓ TAMBIÉN CON MIS PROBLEMAS DE MÁSCARA!! Y CON MIS ASIGNATURAS DE VERDAD! OBVIO 😍😁😲🤑💗✨🎀😮
Erick
usuario de Android
Me me encanta esta app, todo lo que tiene es de calidad ya que antes de ser publicado es revisado por un equipo de profesionales. Me ha ido genial esta aplicación ya que gracias a ella puedo estudiar mucho mejor, sin tener que agobiarme porque mi profesor no ha hecho teoría o porque no entiendo su teoría. Le doy un 10 de 10!
Mar
usuaria de iOS
La app es muy fácil de usar y está muy bien diseñada. Hasta ahora he encontrado todo lo que estaba buscando y he podido aprender mucho de las presentaciones. Definitivamente utilizaré la aplicación para un examen de clase. Y, por supuesto, también me sirve mucho de inspiración.
Pablo
usuario de iOS
Esta app es realmente genial. Hay tantos apuntes de clase y ayuda [...]. Tengo problemas con matemáticas, por ejemplo, y la aplicación tiene muchas opciones de ayuda. Gracias a Knowunity, he mejorado en mates. Se la recomiendo a todo el mundo.
Elena
usuaria de Android
Vaya, estoy realmente sorprendida. Acabo de probar la app porque la he visto anunciada muchas veces y me he quedado absolutamente alucinada. Esta app es LA AYUDA que quieres para el insti y, sobre todo, ofrece muchísimas cosas, como ejercicios y hojas informativas, que a mí personalmente me han sido MUY útiles.
Ana
usuaria de iOS
Está app es muy buena, tiene apuntes que son de mucha ayuda y su IA es fantástica, te explica a la perfección y muy fácil de entender lo que necesites, te ayuda con los deberes, te hace esquemas... en definitiva es una muy buena opción!
Sophia
usuario de Android
Me encanta!!! Me resuelve todo con detalle y me da la explicación correcta. Tiene un montón de funciones, ami me ha ido genial!! Os la recomiendo!!!
Marta
usuaria de Android
La uso casi diariamente, sirve para todas las asignaturas. Yo, por ejemplo la utilizo más en inglés porque se me da bastante mal, ¡Todas las respuestas están correctas! Consta con personas reales que suben sus apuntes y IA para que puedas hacer los deberes muchísimo más fácil, la recomiendo.
Izan
usuario de iOS
¡La app es buenísima! Sólo tengo que introducir el tema en la barra de búsqueda y recibo la respuesta muy rápido. No tengo que ver 10 vídeos de YouTube para entender algo, así que me ahorro tiempo. ¡Muy recomendable!
Sara
usuaria de Android
En el instituto era muy malo en matemáticas, pero gracias a la app, ahora saco mejores notas. Os agradezco mucho que hayáis creado la aplicación.
Roberto
usuario de Android
Esto no es como Chatgpt, es MUCHISMO MEJOR, te hace unos resúmenes espectaculares y gracias a esta app pase de sacar 5-6 a sacar 8-9.
Julyana
usuaria de Android
Es la mejor aplicación del mundo, la uso para revisar los deberes a mi hijo.
Javier
usuario de Android
LOS QUIZ Y FLASHCARDS SON SÚPER ÚTILES Y ME ENCANTA Knowunity IA. ADEMÁS ES LITERALMENTE COMO CHATGPT PERO MÁS LISTO!! ME AYUDÓ TAMBIÉN CON MIS PROBLEMAS DE MÁSCARA!! Y CON MIS ASIGNATURAS DE VERDAD! OBVIO 😍😁😲🤑💗✨🎀😮
Erick
usuario de Android
Me me encanta esta app, todo lo que tiene es de calidad ya que antes de ser publicado es revisado por un equipo de profesionales. Me ha ido genial esta aplicación ya que gracias a ella puedo estudiar mucho mejor, sin tener que agobiarme porque mi profesor no ha hecho teoría o porque no entiendo su teoría. Le doy un 10 de 10!
Mar
usuaria de iOS