Les integrals són una eina fonamental del càlcul que t'ajudarà... Mostrar más
Inscríbete para ver los apuntes¡Es gratis!
Acceso a todos los documentos
Mejora tus notas
Únete a millones de estudiantes
Knowunity AI
Asignaturas
Triangle Congruence and Similarity Theorems
Triangle Properties and Classification
Linear Equations and Graphs
Geometric Angle Relationships
Trigonometric Functions and Identities
Equation Solving Techniques
Circle Geometry Fundamentals
Division Operations and Methods
Basic Differentiation Rules
Exponent and Logarithm Properties
Mostrar todos los temas
Human Organ Systems
Reproductive Cell Cycles
Biological Sciences Subdisciplines
Cellular Energy Metabolism
Autotrophic Energy Processes
Inheritance Patterns and Principles
Biomolecular Structure and Organization
Cell Cycle and Division Mechanics
Cellular Organization and Development
Biological Structural Organization
Mostrar todos los temas
Chemical Sciences and Applications
Atomic Structure and Composition
Molecular Electron Structure Representation
Atomic Electron Behavior
Matter Properties and Water
Mole Concept and Calculations
Gas Laws and Behavior
Periodic Table Organization
Chemical Thermodynamics Fundamentals
Chemical Bond Types and Properties
Mostrar todos los temas
European Renaissance and Enlightenment
European Cultural Movements 800-1920
American Revolution Era 1763-1797
American Civil War 1861-1865
Global Imperial Systems
Mongol and Chinese Dynasties
U.S. Presidents and World Leaders
Historical Sources and Documentation
World Wars Era and Impact
World Religious Systems
Mostrar todos los temas
Classic and Contemporary Novels
Literary Character Analysis
Rhetorical Theory and Practice
Classic Literary Narratives
Reading Analysis and Interpretation
Narrative Structure and Techniques
English Language Components
Influential English-Language Authors
Basic Sentence Structure
Narrative Voice and Perspective
Mostrar todos los temas
161
•
Actualizado Mar 26, 2026
•
Ana
@ana_fxka
Les integrals són una eina fonamental del càlcul que t'ajudarà... Mostrar más







Aquestes són les fórmules bàsiques que has de memoritzar per resoldre integrals ràpidament. Són com el teu kit d'eines matemàtiques!
La primera fórmula ∫(f(x))^r · f'(x) dx = (f(x))^/ + C és especialment útil quan tens una funció elevada a una potència multiplicada per la seva derivada. Per exemple, si veus x² · 2x, ja saps que és perfecta per aquesta fórmula.
La fórmula ∫f'(x)/f(x) dx = ln|f(x)| + C apareix constantment en exàmens. Recorda que sempre que tinguis la derivada d'una funció dividida per la mateixa funció, el resultat és el logaritme natural.
Consell clau: Practica identificant quin tipus d'integral tens davant abans de començar a resoldre. Això t'estalviarà molt temps!

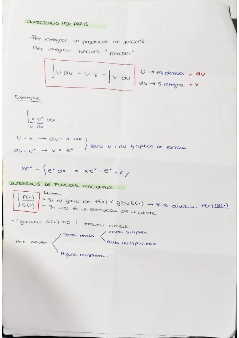
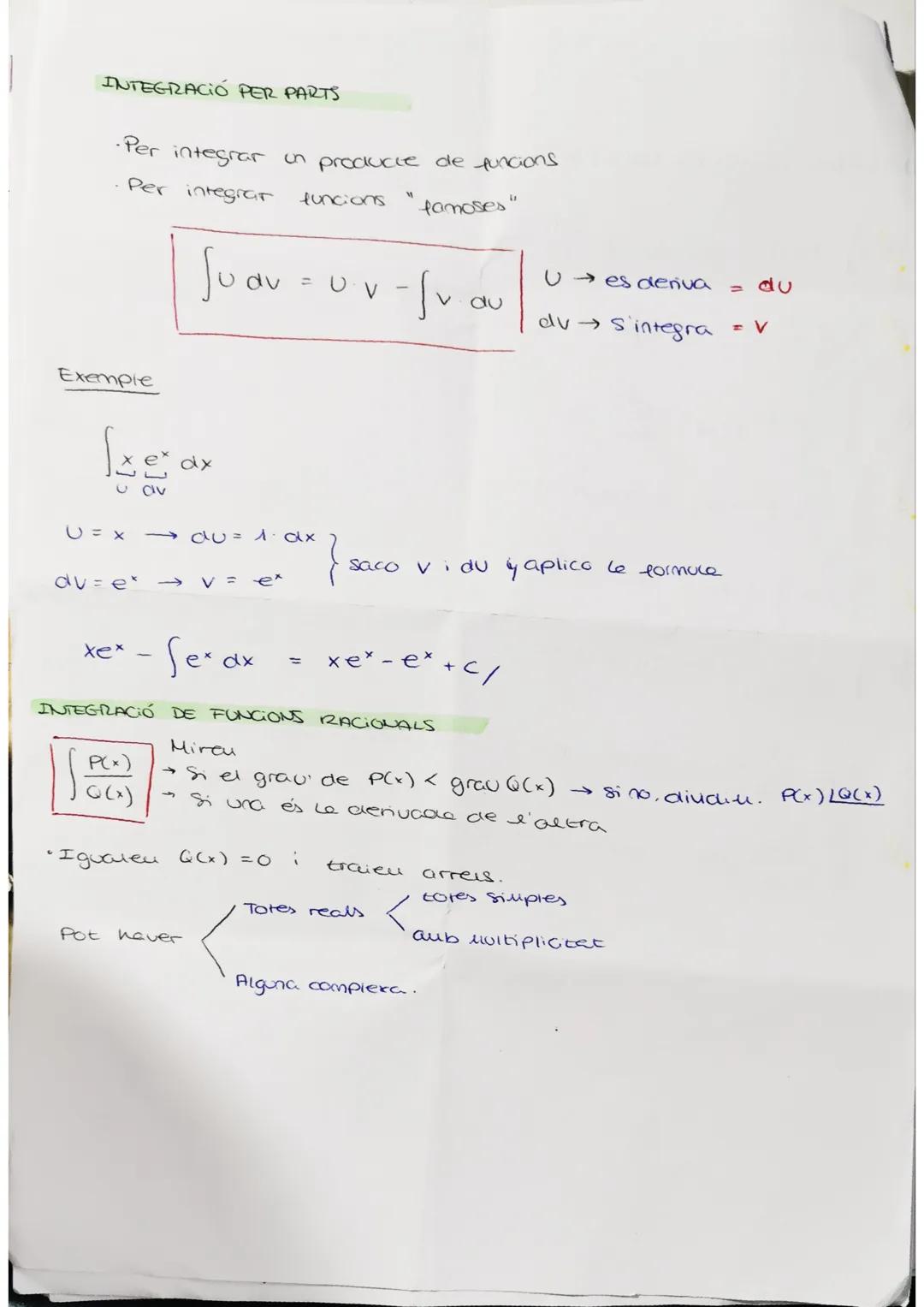
Aquest mètode és el teu millor amic quan has d'integrar un producte de funcions o funcions "famoses" com xe^x.
La fórmula màgica és ∫u dv = u·v - ∫v du. El truc està en triar bé què és u (que derivaràs) i què és dv (que integraràs). Normalment, fes que u sigui la part més fàcil de derivar.
Vegem l'exemple ∫xe^x dx: tries u = x i dv = e^x . Apliques la fórmula i obtens xe^x - ∫e^x dx = xe^x - e^x + C.
Recorda: Si la integral es complica més després d'aplicar la fórmula, prova canviant l'elecció de u i dv!

Les funcions racionals semblen complicades, però tenen un mètode molt sistemàtic.
Primer, comprova que el grau de P(x) sigui menor que el de Q(x). Si no ho és, divideix primer. Després, factoritza Q(x) = 0 per trobar les arrels.
Quan totes les arrels són simples (no repetides), pots descomposar la fracció: P(x)/ = A/ + B/. Per trobar A i B, multiplica tot per el denominador i substitueix valors estratègics de x.
A l'exemple ∫dx/, factoritzem x²+2x-3 = . Descomponent i substituint x=1 i x=-3, obtenim A=1/4 i B=-1/4.
Estratègia d'examen: Sempre comprova que les arrels que trobes siguin correctes substituint-les a l'equació original!

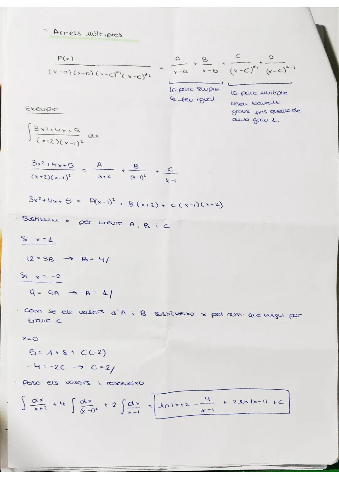
Quan una arrel es repeteix (té multiplicitat), la descomposició canvia lleugerament.
Per una arrel doble com ², necessites termes amb ² i ¹. Si tens P(x)/, la descomposició serà A/ + B/² + C/.
A l'exemple amb /, substituint x=1 obtens B=4, amb x=-2 obtens A=1, i amb qualsevol altre valor pots trobar C=2.
La part múltiple sempre va baixant graus fins arribar a grau 1. Això és clau per no perdre cap terme en la descomposició.
Important: Les arrels múltiples apareixen sovint en problemes d'examen, així que practica aquest mètode fins que el dominis!

Quan el grau del numerador és major o igual al del denominador, primer has de fer una divisió polinòmica.
Divideixes P(x) entre Q(x) per obtenir P(x) = C(x)·Q(x) + R(x), on C(x) és el quocient i R(x) el residu. Això et dona P(x)/Q(x) = C(x) + R(x)/Q(x).
A l'exemple /, després de dividir obtens x²+x+4 + /. Integres cada part per separat: la polynomial directament i la racional com hem après abans.
Recorda que pots dividir integrals quan hi ha sumes: ∫dx = ∫x²dx + ∫xdx + ∫4dx.
Consell pràctic: Sempre comprova la divisió multiplicant el quocient pel divisor i sumant el residu per veure si recuperes el dividend original!

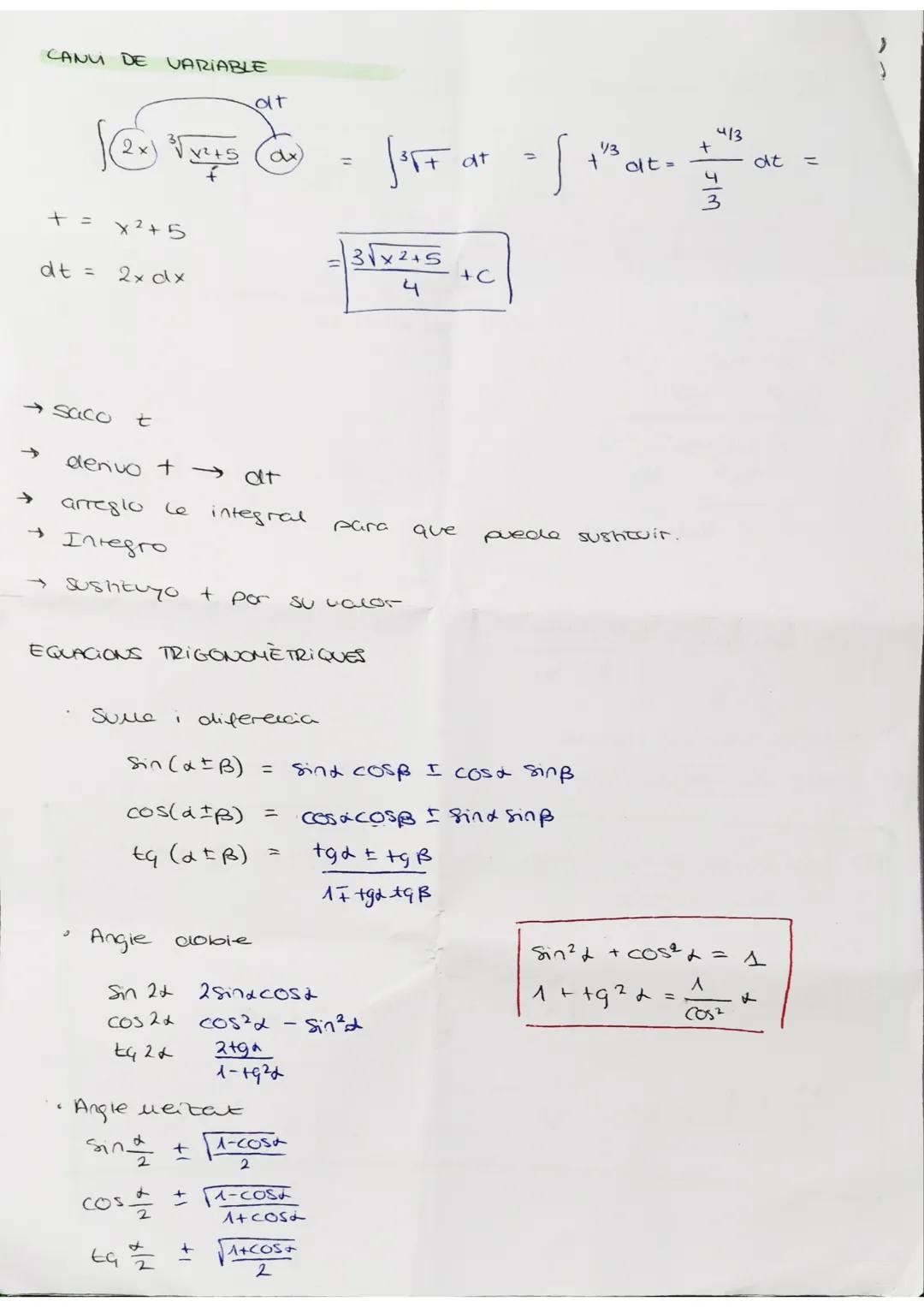
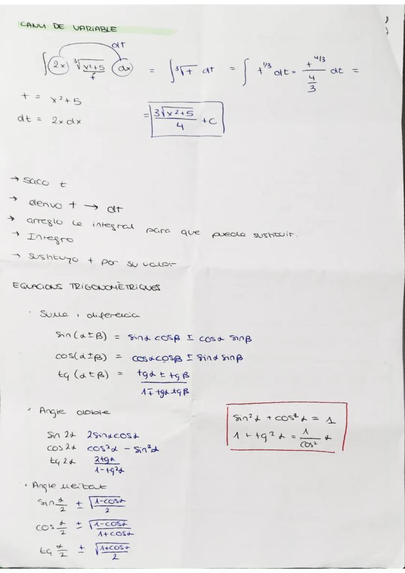
El canvi de variable és perfecte quan veus una funció i la seva derivada juntes en la integral.
A ∫2x∛ dx, fas t = x²+5, per tant dt = 2x dx. La integral es converteix en ∫∛t dt = ∫t^(1/3) dt, molt més fàcil de resoldre. Al final, substitueixes t pel seu valor original.
Les identitats trigonomètriques són essencials per resoldre integrals amb funcions trigonomètriques:
La identitat fonamental sin²t + cos²t = 1 i 1 + tg²t = 1/cos²t apareixen constantment en problemes d'integració.
Recordatori: El canvi de variable funciona millor quan pots identificar clarament una funció composada amb la seva derivada present!
Nuestro compañero de IA está específicamente adaptado a las necesidades de los estudiantes. Basándonos en los millones de contenidos que tenemos en la plataforma, podemos dar a los estudiantes respuestas realmente significativas y relevantes. Pero no se trata solo de respuestas, el compañero también guía a los estudiantes a través de sus retos de aprendizaje diarios, con planes de aprendizaje personalizados, cuestionarios o contenidos en el chat y una personalización del 100% basada en las habilidades y el desarrollo de los estudiantes.
Puedes descargar la app en Google Play Store y Apple App Store.
Sí, tienes acceso gratuito a los contenidos de la aplicación y a nuestro compañero de IA. Para desbloquear determinadas funciones de la aplicación, puedes adquirir Knowunity Pro.
Els nombres reals
nombres reals
Sintexis de Lengua Castellana. Incluye las oraciones simples, los complementos y todas las oraciones compuestas
App Store
Google Play
La app es muy fácil de usar y está muy bien diseñada. Hasta ahora he encontrado todo lo que estaba buscando y he podido aprender mucho de las presentaciones. Definitivamente utilizaré la aplicación para un examen de clase. Y, por supuesto, también me sirve mucho de inspiración.
Pablo
usuario de iOS
Esta app es realmente genial. Hay tantos apuntes de clase y ayuda [...]. Tengo problemas con matemáticas, por ejemplo, y la aplicación tiene muchas opciones de ayuda. Gracias a Knowunity, he mejorado en mates. Se la recomiendo a todo el mundo.
Elena
usuaria de Android
Vaya, estoy realmente sorprendida. Acabo de probar la app porque la he visto anunciada muchas veces y me he quedado absolutamente alucinada. Esta app es LA AYUDA que quieres para el insti y, sobre todo, ofrece muchísimas cosas, como ejercicios y hojas informativas, que a mí personalmente me han sido MUY útiles.
Ana
usuaria de iOS
Está app es muy buena, tiene apuntes que son de mucha ayuda y su IA es fantástica, te explica a la perfección y muy fácil de entender lo que necesites, te ayuda con los deberes, te hace esquemas... en definitiva es una muy buena opción!
Sophia
usuario de Android
Me encanta!!! Me resuelve todo con detalle y me da la explicación correcta. Tiene un montón de funciones, ami me ha ido genial!! Os la recomiendo!!!
Marta
usuaria de Android
La uso casi diariamente, sirve para todas las asignaturas. Yo, por ejemplo la utilizo más en inglés porque se me da bastante mal, ¡Todas las respuestas están correctas! Consta con personas reales que suben sus apuntes y IA para que puedas hacer los deberes muchísimo más fácil, la recomiendo.
Izan
usuario de iOS
¡La app es buenísima! Sólo tengo que introducir el tema en la barra de búsqueda y recibo la respuesta muy rápido. No tengo que ver 10 vídeos de YouTube para entender algo, así que me ahorro tiempo. ¡Muy recomendable!
Sara
usuaria de Android
En el instituto era muy malo en matemáticas, pero gracias a la app, ahora saco mejores notas. Os agradezco mucho que hayáis creado la aplicación.
Roberto
usuario de Android
Esto no es como Chatgpt, es MUCHISMO MEJOR, te hace unos resúmenes espectaculares y gracias a esta app pase de sacar 5-6 a sacar 8-9.
Julyana
usuaria de Android
Es la mejor aplicación del mundo, la uso para revisar los deberes a mi hijo.
Javier
usuario de Android
LOS QUIZ Y FLASHCARDS SON SÚPER ÚTILES Y ME ENCANTA Knowunity IA. ADEMÁS ES LITERALMENTE COMO CHATGPT PERO MÁS LISTO!! ME AYUDÓ TAMBIÉN CON MIS PROBLEMAS DE MÁSCARA!! Y CON MIS ASIGNATURAS DE VERDAD! OBVIO 😍😁😲🤑💗✨🎀😮
Erick
usuario de Android
Me me encanta esta app, todo lo que tiene es de calidad ya que antes de ser publicado es revisado por un equipo de profesionales. Me ha ido genial esta aplicación ya que gracias a ella puedo estudiar mucho mejor, sin tener que agobiarme porque mi profesor no ha hecho teoría o porque no entiendo su teoría. Le doy un 10 de 10!
Mar
usuaria de iOS
La app es muy fácil de usar y está muy bien diseñada. Hasta ahora he encontrado todo lo que estaba buscando y he podido aprender mucho de las presentaciones. Definitivamente utilizaré la aplicación para un examen de clase. Y, por supuesto, también me sirve mucho de inspiración.
Pablo
usuario de iOS
Esta app es realmente genial. Hay tantos apuntes de clase y ayuda [...]. Tengo problemas con matemáticas, por ejemplo, y la aplicación tiene muchas opciones de ayuda. Gracias a Knowunity, he mejorado en mates. Se la recomiendo a todo el mundo.
Elena
usuaria de Android
Vaya, estoy realmente sorprendida. Acabo de probar la app porque la he visto anunciada muchas veces y me he quedado absolutamente alucinada. Esta app es LA AYUDA que quieres para el insti y, sobre todo, ofrece muchísimas cosas, como ejercicios y hojas informativas, que a mí personalmente me han sido MUY útiles.
Ana
usuaria de iOS
Está app es muy buena, tiene apuntes que son de mucha ayuda y su IA es fantástica, te explica a la perfección y muy fácil de entender lo que necesites, te ayuda con los deberes, te hace esquemas... en definitiva es una muy buena opción!
Sophia
usuario de Android
Me encanta!!! Me resuelve todo con detalle y me da la explicación correcta. Tiene un montón de funciones, ami me ha ido genial!! Os la recomiendo!!!
Marta
usuaria de Android
La uso casi diariamente, sirve para todas las asignaturas. Yo, por ejemplo la utilizo más en inglés porque se me da bastante mal, ¡Todas las respuestas están correctas! Consta con personas reales que suben sus apuntes y IA para que puedas hacer los deberes muchísimo más fácil, la recomiendo.
Izan
usuario de iOS
¡La app es buenísima! Sólo tengo que introducir el tema en la barra de búsqueda y recibo la respuesta muy rápido. No tengo que ver 10 vídeos de YouTube para entender algo, así que me ahorro tiempo. ¡Muy recomendable!
Sara
usuaria de Android
En el instituto era muy malo en matemáticas, pero gracias a la app, ahora saco mejores notas. Os agradezco mucho que hayáis creado la aplicación.
Roberto
usuario de Android
Esto no es como Chatgpt, es MUCHISMO MEJOR, te hace unos resúmenes espectaculares y gracias a esta app pase de sacar 5-6 a sacar 8-9.
Julyana
usuaria de Android
Es la mejor aplicación del mundo, la uso para revisar los deberes a mi hijo.
Javier
usuario de Android
LOS QUIZ Y FLASHCARDS SON SÚPER ÚTILES Y ME ENCANTA Knowunity IA. ADEMÁS ES LITERALMENTE COMO CHATGPT PERO MÁS LISTO!! ME AYUDÓ TAMBIÉN CON MIS PROBLEMAS DE MÁSCARA!! Y CON MIS ASIGNATURAS DE VERDAD! OBVIO 😍😁😲🤑💗✨🎀😮
Erick
usuario de Android
Me me encanta esta app, todo lo que tiene es de calidad ya que antes de ser publicado es revisado por un equipo de profesionales. Me ha ido genial esta aplicación ya que gracias a ella puedo estudiar mucho mejor, sin tener que agobiarme porque mi profesor no ha hecho teoría o porque no entiendo su teoría. Le doy un 10 de 10!
Mar
usuaria de iOS
Ana
@ana_fxka
Les integrals són una eina fonamental del càlcul que t'ajudarà a resoldre problemes de física i matemàtiques avançades. Aquí trobaràs tots els mètodes essencials que necessites dominar: des de les primitives immediates fins a les tècniques més avançades com la... Mostrar más

Acceso a todos los documentos
Mejora tus notas
Únete a millones de estudiantes
Aquestes són les fórmules bàsiques que has de memoritzar per resoldre integrals ràpidament. Són com el teu kit d'eines matemàtiques!
La primera fórmula ∫(f(x))^r · f'(x) dx = (f(x))^/ + C és especialment útil quan tens una funció elevada a una potència multiplicada per la seva derivada. Per exemple, si veus x² · 2x, ja saps que és perfecta per aquesta fórmula.
La fórmula ∫f'(x)/f(x) dx = ln|f(x)| + C apareix constantment en exàmens. Recorda que sempre que tinguis la derivada d'una funció dividida per la mateixa funció, el resultat és el logaritme natural.
Consell clau: Practica identificant quin tipus d'integral tens davant abans de començar a resoldre. Això t'estalviarà molt temps!

Acceso a todos los documentos
Mejora tus notas
Únete a millones de estudiantes
Aquest mètode és el teu millor amic quan has d'integrar un producte de funcions o funcions "famoses" com xe^x.
La fórmula màgica és ∫u dv = u·v - ∫v du. El truc està en triar bé què és u (que derivaràs) i què és dv (que integraràs). Normalment, fes que u sigui la part més fàcil de derivar.
Vegem l'exemple ∫xe^x dx: tries u = x i dv = e^x . Apliques la fórmula i obtens xe^x - ∫e^x dx = xe^x - e^x + C.
Recorda: Si la integral es complica més després d'aplicar la fórmula, prova canviant l'elecció de u i dv!

Acceso a todos los documentos
Mejora tus notas
Únete a millones de estudiantes
Les funcions racionals semblen complicades, però tenen un mètode molt sistemàtic.
Primer, comprova que el grau de P(x) sigui menor que el de Q(x). Si no ho és, divideix primer. Després, factoritza Q(x) = 0 per trobar les arrels.
Quan totes les arrels són simples (no repetides), pots descomposar la fracció: P(x)/ = A/ + B/. Per trobar A i B, multiplica tot per el denominador i substitueix valors estratègics de x.
A l'exemple ∫dx/, factoritzem x²+2x-3 = . Descomponent i substituint x=1 i x=-3, obtenim A=1/4 i B=-1/4.
Estratègia d'examen: Sempre comprova que les arrels que trobes siguin correctes substituint-les a l'equació original!

Acceso a todos los documentos
Mejora tus notas
Únete a millones de estudiantes
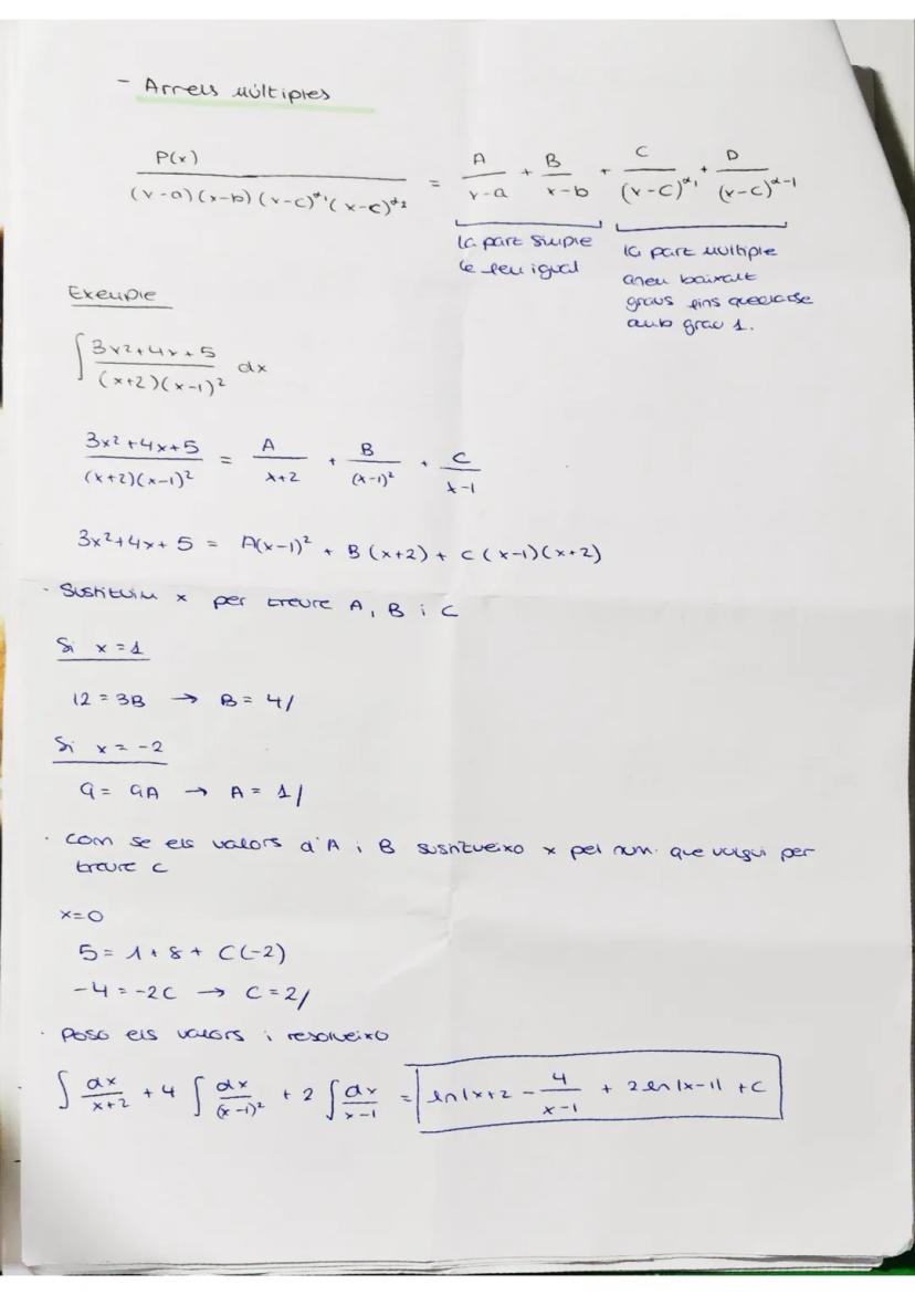
Quan una arrel es repeteix (té multiplicitat), la descomposició canvia lleugerament.
Per una arrel doble com ², necessites termes amb ² i ¹. Si tens P(x)/, la descomposició serà A/ + B/² + C/.
A l'exemple amb /, substituint x=1 obtens B=4, amb x=-2 obtens A=1, i amb qualsevol altre valor pots trobar C=2.
La part múltiple sempre va baixant graus fins arribar a grau 1. Això és clau per no perdre cap terme en la descomposició.
Important: Les arrels múltiples apareixen sovint en problemes d'examen, així que practica aquest mètode fins que el dominis!

Acceso a todos los documentos
Mejora tus notas
Únete a millones de estudiantes
Quan el grau del numerador és major o igual al del denominador, primer has de fer una divisió polinòmica.
Divideixes P(x) entre Q(x) per obtenir P(x) = C(x)·Q(x) + R(x), on C(x) és el quocient i R(x) el residu. Això et dona P(x)/Q(x) = C(x) + R(x)/Q(x).
A l'exemple /, després de dividir obtens x²+x+4 + /. Integres cada part per separat: la polynomial directament i la racional com hem après abans.
Recorda que pots dividir integrals quan hi ha sumes: ∫dx = ∫x²dx + ∫xdx + ∫4dx.
Consell pràctic: Sempre comprova la divisió multiplicant el quocient pel divisor i sumant el residu per veure si recuperes el dividend original!

Acceso a todos los documentos
Mejora tus notas
Únete a millones de estudiantes
El canvi de variable és perfecte quan veus una funció i la seva derivada juntes en la integral.
A ∫2x∛ dx, fas t = x²+5, per tant dt = 2x dx. La integral es converteix en ∫∛t dt = ∫t^(1/3) dt, molt més fàcil de resoldre. Al final, substitueixes t pel seu valor original.
Les identitats trigonomètriques són essencials per resoldre integrals amb funcions trigonomètriques:
La identitat fonamental sin²t + cos²t = 1 i 1 + tg²t = 1/cos²t apareixen constantment en problemes d'integració.
Recordatori: El canvi de variable funciona millor quan pots identificar clarament una funció composada amb la seva derivada present!
Nuestro compañero de IA está específicamente adaptado a las necesidades de los estudiantes. Basándonos en los millones de contenidos que tenemos en la plataforma, podemos dar a los estudiantes respuestas realmente significativas y relevantes. Pero no se trata solo de respuestas, el compañero también guía a los estudiantes a través de sus retos de aprendizaje diarios, con planes de aprendizaje personalizados, cuestionarios o contenidos en el chat y una personalización del 100% basada en las habilidades y el desarrollo de los estudiantes.
Puedes descargar la app en Google Play Store y Apple App Store.
Sí, tienes acceso gratuito a los contenidos de la aplicación y a nuestro compañero de IA. Para desbloquear determinadas funciones de la aplicación, puedes adquirir Knowunity Pro.
7
Herramientas Inteligentes NUEVO
Transforma estos apuntes en: ✓ 50+ Preguntas de Práctica ✓ Flashcards Interactivas ✓ Examen Completo de Práctica ✓ Esquemas de Ensayo
Els nombres reals
nombres reals
Sintexis de Lengua Castellana. Incluye las oraciones simples, los complementos y todas las oraciones compuestas
App Store
Google Play
La app es muy fácil de usar y está muy bien diseñada. Hasta ahora he encontrado todo lo que estaba buscando y he podido aprender mucho de las presentaciones. Definitivamente utilizaré la aplicación para un examen de clase. Y, por supuesto, también me sirve mucho de inspiración.
Pablo
usuario de iOS
Esta app es realmente genial. Hay tantos apuntes de clase y ayuda [...]. Tengo problemas con matemáticas, por ejemplo, y la aplicación tiene muchas opciones de ayuda. Gracias a Knowunity, he mejorado en mates. Se la recomiendo a todo el mundo.
Elena
usuaria de Android
Vaya, estoy realmente sorprendida. Acabo de probar la app porque la he visto anunciada muchas veces y me he quedado absolutamente alucinada. Esta app es LA AYUDA que quieres para el insti y, sobre todo, ofrece muchísimas cosas, como ejercicios y hojas informativas, que a mí personalmente me han sido MUY útiles.
Ana
usuaria de iOS
Está app es muy buena, tiene apuntes que son de mucha ayuda y su IA es fantástica, te explica a la perfección y muy fácil de entender lo que necesites, te ayuda con los deberes, te hace esquemas... en definitiva es una muy buena opción!
Sophia
usuario de Android
Me encanta!!! Me resuelve todo con detalle y me da la explicación correcta. Tiene un montón de funciones, ami me ha ido genial!! Os la recomiendo!!!
Marta
usuaria de Android
La uso casi diariamente, sirve para todas las asignaturas. Yo, por ejemplo la utilizo más en inglés porque se me da bastante mal, ¡Todas las respuestas están correctas! Consta con personas reales que suben sus apuntes y IA para que puedas hacer los deberes muchísimo más fácil, la recomiendo.
Izan
usuario de iOS
¡La app es buenísima! Sólo tengo que introducir el tema en la barra de búsqueda y recibo la respuesta muy rápido. No tengo que ver 10 vídeos de YouTube para entender algo, así que me ahorro tiempo. ¡Muy recomendable!
Sara
usuaria de Android
En el instituto era muy malo en matemáticas, pero gracias a la app, ahora saco mejores notas. Os agradezco mucho que hayáis creado la aplicación.
Roberto
usuario de Android
Esto no es como Chatgpt, es MUCHISMO MEJOR, te hace unos resúmenes espectaculares y gracias a esta app pase de sacar 5-6 a sacar 8-9.
Julyana
usuaria de Android
Es la mejor aplicación del mundo, la uso para revisar los deberes a mi hijo.
Javier
usuario de Android
LOS QUIZ Y FLASHCARDS SON SÚPER ÚTILES Y ME ENCANTA Knowunity IA. ADEMÁS ES LITERALMENTE COMO CHATGPT PERO MÁS LISTO!! ME AYUDÓ TAMBIÉN CON MIS PROBLEMAS DE MÁSCARA!! Y CON MIS ASIGNATURAS DE VERDAD! OBVIO 😍😁😲🤑💗✨🎀😮
Erick
usuario de Android
Me me encanta esta app, todo lo que tiene es de calidad ya que antes de ser publicado es revisado por un equipo de profesionales. Me ha ido genial esta aplicación ya que gracias a ella puedo estudiar mucho mejor, sin tener que agobiarme porque mi profesor no ha hecho teoría o porque no entiendo su teoría. Le doy un 10 de 10!
Mar
usuaria de iOS
La app es muy fácil de usar y está muy bien diseñada. Hasta ahora he encontrado todo lo que estaba buscando y he podido aprender mucho de las presentaciones. Definitivamente utilizaré la aplicación para un examen de clase. Y, por supuesto, también me sirve mucho de inspiración.
Pablo
usuario de iOS
Esta app es realmente genial. Hay tantos apuntes de clase y ayuda [...]. Tengo problemas con matemáticas, por ejemplo, y la aplicación tiene muchas opciones de ayuda. Gracias a Knowunity, he mejorado en mates. Se la recomiendo a todo el mundo.
Elena
usuaria de Android
Vaya, estoy realmente sorprendida. Acabo de probar la app porque la he visto anunciada muchas veces y me he quedado absolutamente alucinada. Esta app es LA AYUDA que quieres para el insti y, sobre todo, ofrece muchísimas cosas, como ejercicios y hojas informativas, que a mí personalmente me han sido MUY útiles.
Ana
usuaria de iOS
Está app es muy buena, tiene apuntes que son de mucha ayuda y su IA es fantástica, te explica a la perfección y muy fácil de entender lo que necesites, te ayuda con los deberes, te hace esquemas... en definitiva es una muy buena opción!
Sophia
usuario de Android
Me encanta!!! Me resuelve todo con detalle y me da la explicación correcta. Tiene un montón de funciones, ami me ha ido genial!! Os la recomiendo!!!
Marta
usuaria de Android
La uso casi diariamente, sirve para todas las asignaturas. Yo, por ejemplo la utilizo más en inglés porque se me da bastante mal, ¡Todas las respuestas están correctas! Consta con personas reales que suben sus apuntes y IA para que puedas hacer los deberes muchísimo más fácil, la recomiendo.
Izan
usuario de iOS
¡La app es buenísima! Sólo tengo que introducir el tema en la barra de búsqueda y recibo la respuesta muy rápido. No tengo que ver 10 vídeos de YouTube para entender algo, así que me ahorro tiempo. ¡Muy recomendable!
Sara
usuaria de Android
En el instituto era muy malo en matemáticas, pero gracias a la app, ahora saco mejores notas. Os agradezco mucho que hayáis creado la aplicación.
Roberto
usuario de Android
Esto no es como Chatgpt, es MUCHISMO MEJOR, te hace unos resúmenes espectaculares y gracias a esta app pase de sacar 5-6 a sacar 8-9.
Julyana
usuaria de Android
Es la mejor aplicación del mundo, la uso para revisar los deberes a mi hijo.
Javier
usuario de Android
LOS QUIZ Y FLASHCARDS SON SÚPER ÚTILES Y ME ENCANTA Knowunity IA. ADEMÁS ES LITERALMENTE COMO CHATGPT PERO MÁS LISTO!! ME AYUDÓ TAMBIÉN CON MIS PROBLEMAS DE MÁSCARA!! Y CON MIS ASIGNATURAS DE VERDAD! OBVIO 😍😁😲🤑💗✨🎀😮
Erick
usuario de Android
Me me encanta esta app, todo lo que tiene es de calidad ya que antes de ser publicado es revisado por un equipo de profesionales. Me ha ido genial esta aplicación ya que gracias a ella puedo estudiar mucho mejor, sin tener que agobiarme porque mi profesor no ha hecho teoría o porque no entiendo su teoría. Le doy un 10 de 10!
Mar
usuaria de iOS