¿Alguna vez has tenido que analizar un texto periodístico y... Mostrar más
Inscríbete para ver los apuntes¡Es gratis!
Acceso a todos los documentos
Mejora tus notas
Únete a millones de estudiantes
Knowunity AI
Asignaturas
Triangle Congruence and Similarity Theorems
Triangle Properties and Classification
Linear Equations and Graphs
Geometric Angle Relationships
Trigonometric Functions and Identities
Equation Solving Techniques
Circle Geometry Fundamentals
Division Operations and Methods
Basic Differentiation Rules
Exponent and Logarithm Properties
Mostrar todos los temas
Human Organ Systems
Reproductive Cell Cycles
Biological Sciences Subdisciplines
Cellular Energy Metabolism
Autotrophic Energy Processes
Inheritance Patterns and Principles
Biomolecular Structure and Organization
Cell Cycle and Division Mechanics
Cellular Organization and Development
Biological Structural Organization
Mostrar todos los temas
Chemical Sciences and Applications
Atomic Structure and Composition
Molecular Electron Structure Representation
Atomic Electron Behavior
Matter Properties and Water
Mole Concept and Calculations
Gas Laws and Behavior
Periodic Table Organization
Chemical Thermodynamics Fundamentals
Chemical Bond Types and Properties
Mostrar todos los temas
European Renaissance and Enlightenment
European Cultural Movements 800-1920
American Revolution Era 1763-1797
American Civil War 1861-1865
Global Imperial Systems
Mongol and Chinese Dynasties
U.S. Presidents and World Leaders
Historical Sources and Documentation
World Wars Era and Impact
World Religious Systems
Mostrar todos los temas
Classic and Contemporary Novels
Literary Character Analysis
Rhetorical Theory and Practice
Classic Literary Narratives
Reading Analysis and Interpretation
Narrative Structure and Techniques
English Language Components
Influential English-Language Authors
Basic Sentence Structure
Narrative Voice and Perspective
Mostrar todos los temas
1,053
•
Actualizado Apr 11, 2026
•
Lucia Cantero
@luciacantero
¿Alguna vez has tenido que analizar un texto periodístico y... Mostrar más








Identificar el tema es tu primer paso y es más fácil de lo que parece. Solo necesitas un sintagma nominal: un sustantivo con sus determinantes y adyacentes. Por ejemplo, "La crisis educativa actual" o "Los riesgos de las redes sociales". Recuerda subrayarlo y escribir 4-5 líneas explicando brevemente de qué trata.
Para analizar la estructura interna, tienes que dividir el texto por su contenido. Primero cuenta cuántas partes tiene y marca exactamente de qué línea a qué línea va cada una. Lo importante es que justifiques por qué has hecho esa división.
Después identifica si hay una tesis (la idea que el autor defiende o critica) y determina qué tipo de estructura sigue. Puede ser analizante (tesis al principio), sintetizante (tesis al final), encuadrada (tesis al inicio y conclusión al final) o paralela (solo argumentos, sin tesis clara).
💡 Consejo clave: La estructura te da pistas sobre la intención del autor. Si pone la tesis al final, probablemente quiere convencerte poco a poco.

La actitud es cómo el autor se posiciona ante lo que dice y cómo lo dice. Es esa huella personal que deja en el texto, sus emociones y su grado de certeza.
En textos periodísticos de opinión, normalmente encontrarás una actitud subjetiva, aunque puede estar matizada con datos objetivos. El autor puede mostrarse crítico, reflexivo, irónico, comprometido, alarmista o incluso manipulador. También fíjate en si habla con certeza (radical y tajante) o con incertidumbre (especulativo, dubitativo).
La intencionalidad es el objetivo que persigue el autor. ¿Quiere convencer? ¿Denunciar? ¿Tranquilizar? ¿Ridiculizar? Las posibilidades son infinitas: puede buscar agitar conciencias, conseguir adeptos, sensibilizar al lector o simplemente que saques tus propias conclusiones.
💡 Consejo clave: Para detectar la actitud, busca adjetivos valorativos, exclamaciones y el uso de la primera persona. Para la intencionalidad, pregúntate: "¿qué quiere conseguir con este texto?"

Los textos periodísticos de opinión incluyen artículos, columnas y editoriales. Se diferencian del periodismo informativo porque interpretan y opinan sobre sucesos actuales, no solo informan.
Un artículo de opinión va firmado por el autor, que se responsabiliza de sus ideas. Una columna también va firmada, pero suele ocupar un espacio fijo y el autor tiene prestigio literario. El editorial no lleva firma porque representa la línea ideológica de todo el periódico.
Los textos en internet (blogs o prensa digital) tienen dos características especiales: la inmediatez (se publican al instante) y la interacción directa entre autor y lector a través de comentarios.
Los rasgos lingüísticos que debes identificar son: uso de primera persona (subjetividad), segunda persona (interpelación al lector), o tercera persona (aparente objetividad). Cada una cumple una función del lenguaje diferente.
💡 Consejo clave: Si ves "yo creo", "nosotros pensamos" es función expresiva. Si aparece "tú debes" es función apelativa. Si predomina la tercera persona, es función referencial.

El modo argumentativo es el más común en textos de opinión. El autor defiende una tesis usando diferentes tipos de argumentos: de autoridad (cita expertos), de mayoría (lo que piensa la gente), por analogía (casos similares), de ejemplificación o de experiencia personal.
Los rasgos lingüísticos incluyen: verbos de opinión (creer, considerar, juzgar), primera persona del plural, sintaxis compleja con subordinadas, modo subjuntivo y marcadores textuales (por consiguiente, no obstante, finalmente).
El modo expositivo aparece cuando el autor presenta datos objetivos, generalmente en la introducción. Se caracteriza por construcciones impersonales, tercera persona, presente atemporal, verbos copulativos y ausencia de subjetividad.
También pueden aparecer fragmentos narrativos (cuenta hechos), descriptivos (describe situaciones) o dialogados (reproduce conversaciones).
💡 Consejo clave: Un mismo texto puede combinar varios modos. Identifica cada fragmento y analízalos por separado con sus rasgos específicos.

La valoración personal es tu oportunidad de dar tu opinión fundamentada sobre el texto. No es solo decir si te gusta o no, sino argumentar tu postura de forma madura.
Primero, posiciónate sobre el contenido: ¿estás de acuerdo con lo que dice el autor? Puedes relacionarlo con tus experiencias o conocimientos. Después evalúa la forma: ¿cómo lo dice? ¿Es claro, convincente, original?
Analiza el tratamiento del tema: ¿te parece acertado, novedoso, superficial? Comenta el interés y vigencia del mensaje: ¿sigue siendo relevante? ¿a quién va dirigido? Termina con una conclusión breve que resuma lo esencial.
Recuerda escribir entre 20-25 líneas y mantener un tono formal pero personal. Tu valoración debe demostrar madurez intelectual y capacidad de análisis crítico.
💡 Consejo clave: No tengas miedo de discrepar con el autor, pero hazlo siempre con argumentos sólidos y respeto. Tu opinión vale tanto como la suya si está bien fundamentada.


Nuestro compañero de IA está específicamente adaptado a las necesidades de los estudiantes. Basándonos en los millones de contenidos que tenemos en la plataforma, podemos dar a los estudiantes respuestas realmente significativas y relevantes. Pero no se trata solo de respuestas, el compañero también guía a los estudiantes a través de sus retos de aprendizaje diarios, con planes de aprendizaje personalizados, cuestionarios o contenidos en el chat y una personalización del 100% basada en las habilidades y el desarrollo de los estudiantes.
Puedes descargar la app en Google Play Store y Apple App Store.
Sí, tienes acceso gratuito a los contenidos de la aplicación y a nuestro compañero de IA. Para desbloquear determinadas funciones de la aplicación, puedes adquirir Knowunity Pro.
App Store
Google Play
La app es muy fácil de usar y está muy bien diseñada. Hasta ahora he encontrado todo lo que estaba buscando y he podido aprender mucho de las presentaciones. Definitivamente utilizaré la aplicación para un examen de clase. Y, por supuesto, también me sirve mucho de inspiración.
Pablo
usuario de iOS
Esta app es realmente genial. Hay tantos apuntes de clase y ayuda [...]. Tengo problemas con matemáticas, por ejemplo, y la aplicación tiene muchas opciones de ayuda. Gracias a Knowunity, he mejorado en mates. Se la recomiendo a todo el mundo.
Elena
usuaria de Android
Vaya, estoy realmente sorprendida. Acabo de probar la app porque la he visto anunciada muchas veces y me he quedado absolutamente alucinada. Esta app es LA AYUDA que quieres para el insti y, sobre todo, ofrece muchísimas cosas, como ejercicios y hojas informativas, que a mí personalmente me han sido MUY útiles.
Ana
usuaria de iOS
Está app es muy buena, tiene apuntes que son de mucha ayuda y su IA es fantástica, te explica a la perfección y muy fácil de entender lo que necesites, te ayuda con los deberes, te hace esquemas... en definitiva es una muy buena opción!
Sophia
usuario de Android
Me encanta!!! Me resuelve todo con detalle y me da la explicación correcta. Tiene un montón de funciones, ami me ha ido genial!! Os la recomiendo!!!
Marta
usuaria de Android
La uso casi diariamente, sirve para todas las asignaturas. Yo, por ejemplo la utilizo más en inglés porque se me da bastante mal, ¡Todas las respuestas están correctas! Consta con personas reales que suben sus apuntes y IA para que puedas hacer los deberes muchísimo más fácil, la recomiendo.
Izan
usuario de iOS
¡La app es buenísima! Sólo tengo que introducir el tema en la barra de búsqueda y recibo la respuesta muy rápido. No tengo que ver 10 vídeos de YouTube para entender algo, así que me ahorro tiempo. ¡Muy recomendable!
Sara
usuaria de Android
En el instituto era muy malo en matemáticas, pero gracias a la app, ahora saco mejores notas. Os agradezco mucho que hayáis creado la aplicación.
Roberto
usuario de Android
Esto no es como Chatgpt, es MUCHISMO MEJOR, te hace unos resúmenes espectaculares y gracias a esta app pase de sacar 5-6 a sacar 8-9.
Julyana
usuaria de Android
Es la mejor aplicación del mundo, la uso para revisar los deberes a mi hijo.
Javier
usuario de Android
LOS QUIZ Y FLASHCARDS SON SÚPER ÚTILES Y ME ENCANTA Knowunity IA. ADEMÁS ES LITERALMENTE COMO CHATGPT PERO MÁS LISTO!! ME AYUDÓ TAMBIÉN CON MIS PROBLEMAS DE MÁSCARA!! Y CON MIS ASIGNATURAS DE VERDAD! OBVIO 😍😁😲🤑💗✨🎀😮
Erick
usuario de Android
Me me encanta esta app, todo lo que tiene es de calidad ya que antes de ser publicado es revisado por un equipo de profesionales. Me ha ido genial esta aplicación ya que gracias a ella puedo estudiar mucho mejor, sin tener que agobiarme porque mi profesor no ha hecho teoría o porque no entiendo su teoría. Le doy un 10 de 10!
Mar
usuaria de iOS
La app es muy fácil de usar y está muy bien diseñada. Hasta ahora he encontrado todo lo que estaba buscando y he podido aprender mucho de las presentaciones. Definitivamente utilizaré la aplicación para un examen de clase. Y, por supuesto, también me sirve mucho de inspiración.
Pablo
usuario de iOS
Esta app es realmente genial. Hay tantos apuntes de clase y ayuda [...]. Tengo problemas con matemáticas, por ejemplo, y la aplicación tiene muchas opciones de ayuda. Gracias a Knowunity, he mejorado en mates. Se la recomiendo a todo el mundo.
Elena
usuaria de Android
Vaya, estoy realmente sorprendida. Acabo de probar la app porque la he visto anunciada muchas veces y me he quedado absolutamente alucinada. Esta app es LA AYUDA que quieres para el insti y, sobre todo, ofrece muchísimas cosas, como ejercicios y hojas informativas, que a mí personalmente me han sido MUY útiles.
Ana
usuaria de iOS
Está app es muy buena, tiene apuntes que son de mucha ayuda y su IA es fantástica, te explica a la perfección y muy fácil de entender lo que necesites, te ayuda con los deberes, te hace esquemas... en definitiva es una muy buena opción!
Sophia
usuario de Android
Me encanta!!! Me resuelve todo con detalle y me da la explicación correcta. Tiene un montón de funciones, ami me ha ido genial!! Os la recomiendo!!!
Marta
usuaria de Android
La uso casi diariamente, sirve para todas las asignaturas. Yo, por ejemplo la utilizo más en inglés porque se me da bastante mal, ¡Todas las respuestas están correctas! Consta con personas reales que suben sus apuntes y IA para que puedas hacer los deberes muchísimo más fácil, la recomiendo.
Izan
usuario de iOS
¡La app es buenísima! Sólo tengo que introducir el tema en la barra de búsqueda y recibo la respuesta muy rápido. No tengo que ver 10 vídeos de YouTube para entender algo, así que me ahorro tiempo. ¡Muy recomendable!
Sara
usuaria de Android
En el instituto era muy malo en matemáticas, pero gracias a la app, ahora saco mejores notas. Os agradezco mucho que hayáis creado la aplicación.
Roberto
usuario de Android
Esto no es como Chatgpt, es MUCHISMO MEJOR, te hace unos resúmenes espectaculares y gracias a esta app pase de sacar 5-6 a sacar 8-9.
Julyana
usuaria de Android
Es la mejor aplicación del mundo, la uso para revisar los deberes a mi hijo.
Javier
usuario de Android
LOS QUIZ Y FLASHCARDS SON SÚPER ÚTILES Y ME ENCANTA Knowunity IA. ADEMÁS ES LITERALMENTE COMO CHATGPT PERO MÁS LISTO!! ME AYUDÓ TAMBIÉN CON MIS PROBLEMAS DE MÁSCARA!! Y CON MIS ASIGNATURAS DE VERDAD! OBVIO 😍😁😲🤑💗✨🎀😮
Erick
usuario de Android
Me me encanta esta app, todo lo que tiene es de calidad ya que antes de ser publicado es revisado por un equipo de profesionales. Me ha ido genial esta aplicación ya que gracias a ella puedo estudiar mucho mejor, sin tener que agobiarme porque mi profesor no ha hecho teoría o porque no entiendo su teoría. Le doy un 10 de 10!
Mar
usuaria de iOS
Lucia Cantero
@luciacantero
¿Alguna vez has tenido que analizar un texto periodístico y no sabías por dónde empezar? El comentario crítico es una herramienta fundamental que te permite desmenuzar cualquier texto de opinión de forma sistemática. Te ayudará a entender no solo lo... Mostrar más

Acceso a todos los documentos
Mejora tus notas
Únete a millones de estudiantes
Identificar el tema es tu primer paso y es más fácil de lo que parece. Solo necesitas un sintagma nominal: un sustantivo con sus determinantes y adyacentes. Por ejemplo, "La crisis educativa actual" o "Los riesgos de las redes sociales". Recuerda subrayarlo y escribir 4-5 líneas explicando brevemente de qué trata.
Para analizar la estructura interna, tienes que dividir el texto por su contenido. Primero cuenta cuántas partes tiene y marca exactamente de qué línea a qué línea va cada una. Lo importante es que justifiques por qué has hecho esa división.
Después identifica si hay una tesis (la idea que el autor defiende o critica) y determina qué tipo de estructura sigue. Puede ser analizante (tesis al principio), sintetizante (tesis al final), encuadrada (tesis al inicio y conclusión al final) o paralela (solo argumentos, sin tesis clara).
💡 Consejo clave: La estructura te da pistas sobre la intención del autor. Si pone la tesis al final, probablemente quiere convencerte poco a poco.

Acceso a todos los documentos
Mejora tus notas
Únete a millones de estudiantes
La actitud es cómo el autor se posiciona ante lo que dice y cómo lo dice. Es esa huella personal que deja en el texto, sus emociones y su grado de certeza.
En textos periodísticos de opinión, normalmente encontrarás una actitud subjetiva, aunque puede estar matizada con datos objetivos. El autor puede mostrarse crítico, reflexivo, irónico, comprometido, alarmista o incluso manipulador. También fíjate en si habla con certeza (radical y tajante) o con incertidumbre (especulativo, dubitativo).
La intencionalidad es el objetivo que persigue el autor. ¿Quiere convencer? ¿Denunciar? ¿Tranquilizar? ¿Ridiculizar? Las posibilidades son infinitas: puede buscar agitar conciencias, conseguir adeptos, sensibilizar al lector o simplemente que saques tus propias conclusiones.
💡 Consejo clave: Para detectar la actitud, busca adjetivos valorativos, exclamaciones y el uso de la primera persona. Para la intencionalidad, pregúntate: "¿qué quiere conseguir con este texto?"

Acceso a todos los documentos
Mejora tus notas
Únete a millones de estudiantes
Los textos periodísticos de opinión incluyen artículos, columnas y editoriales. Se diferencian del periodismo informativo porque interpretan y opinan sobre sucesos actuales, no solo informan.
Un artículo de opinión va firmado por el autor, que se responsabiliza de sus ideas. Una columna también va firmada, pero suele ocupar un espacio fijo y el autor tiene prestigio literario. El editorial no lleva firma porque representa la línea ideológica de todo el periódico.
Los textos en internet (blogs o prensa digital) tienen dos características especiales: la inmediatez (se publican al instante) y la interacción directa entre autor y lector a través de comentarios.
Los rasgos lingüísticos que debes identificar son: uso de primera persona (subjetividad), segunda persona (interpelación al lector), o tercera persona (aparente objetividad). Cada una cumple una función del lenguaje diferente.
💡 Consejo clave: Si ves "yo creo", "nosotros pensamos" es función expresiva. Si aparece "tú debes" es función apelativa. Si predomina la tercera persona, es función referencial.

Acceso a todos los documentos
Mejora tus notas
Únete a millones de estudiantes
El modo argumentativo es el más común en textos de opinión. El autor defiende una tesis usando diferentes tipos de argumentos: de autoridad (cita expertos), de mayoría (lo que piensa la gente), por analogía (casos similares), de ejemplificación o de experiencia personal.
Los rasgos lingüísticos incluyen: verbos de opinión (creer, considerar, juzgar), primera persona del plural, sintaxis compleja con subordinadas, modo subjuntivo y marcadores textuales (por consiguiente, no obstante, finalmente).
El modo expositivo aparece cuando el autor presenta datos objetivos, generalmente en la introducción. Se caracteriza por construcciones impersonales, tercera persona, presente atemporal, verbos copulativos y ausencia de subjetividad.
También pueden aparecer fragmentos narrativos (cuenta hechos), descriptivos (describe situaciones) o dialogados (reproduce conversaciones).
💡 Consejo clave: Un mismo texto puede combinar varios modos. Identifica cada fragmento y analízalos por separado con sus rasgos específicos.

Acceso a todos los documentos
Mejora tus notas
Únete a millones de estudiantes
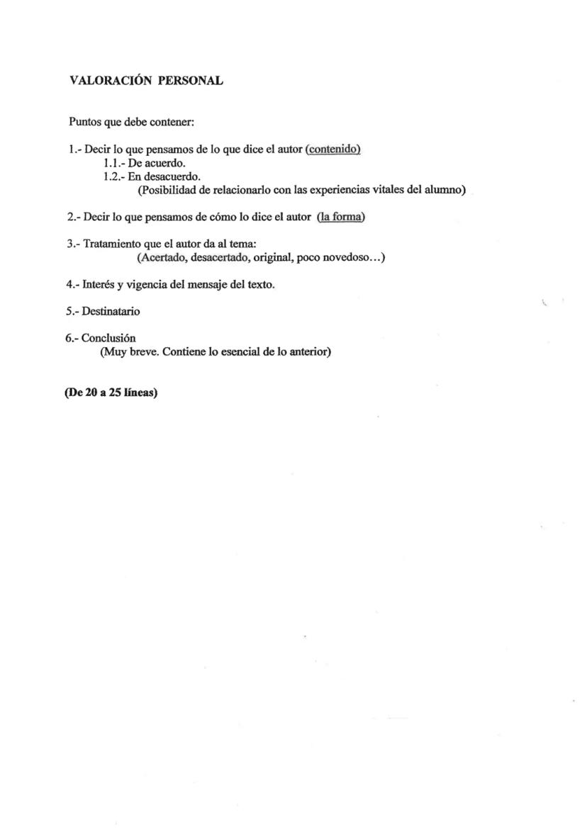
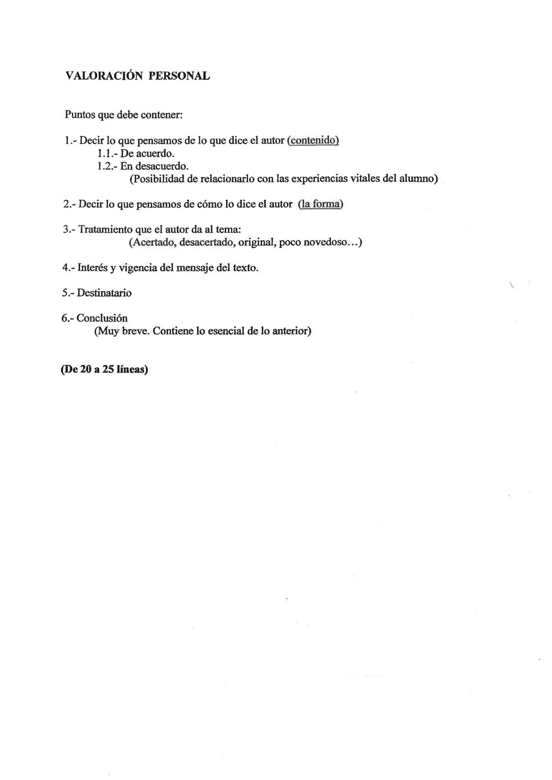
La valoración personal es tu oportunidad de dar tu opinión fundamentada sobre el texto. No es solo decir si te gusta o no, sino argumentar tu postura de forma madura.
Primero, posiciónate sobre el contenido: ¿estás de acuerdo con lo que dice el autor? Puedes relacionarlo con tus experiencias o conocimientos. Después evalúa la forma: ¿cómo lo dice? ¿Es claro, convincente, original?
Analiza el tratamiento del tema: ¿te parece acertado, novedoso, superficial? Comenta el interés y vigencia del mensaje: ¿sigue siendo relevante? ¿a quién va dirigido? Termina con una conclusión breve que resuma lo esencial.
Recuerda escribir entre 20-25 líneas y mantener un tono formal pero personal. Tu valoración debe demostrar madurez intelectual y capacidad de análisis crítico.
💡 Consejo clave: No tengas miedo de discrepar con el autor, pero hazlo siempre con argumentos sólidos y respeto. Tu opinión vale tanto como la suya si está bien fundamentada.

Acceso a todos los documentos
Mejora tus notas
Únete a millones de estudiantes

Acceso a todos los documentos
Mejora tus notas
Únete a millones de estudiantes
Nuestro compañero de IA está específicamente adaptado a las necesidades de los estudiantes. Basándonos en los millones de contenidos que tenemos en la plataforma, podemos dar a los estudiantes respuestas realmente significativas y relevantes. Pero no se trata solo de respuestas, el compañero también guía a los estudiantes a través de sus retos de aprendizaje diarios, con planes de aprendizaje personalizados, cuestionarios o contenidos en el chat y una personalización del 100% basada en las habilidades y el desarrollo de los estudiantes.
Puedes descargar la app en Google Play Store y Apple App Store.
Sí, tienes acceso gratuito a los contenidos de la aplicación y a nuestro compañero de IA. Para desbloquear determinadas funciones de la aplicación, puedes adquirir Knowunity Pro.
7
Herramientas Inteligentes NUEVO
Transforma estos apuntes en: ✓ 50+ Preguntas de Práctica ✓ Flashcards Interactivas ✓ Examen Completo de Práctica ✓ Esquemas de Ensayo
App Store
Google Play
La app es muy fácil de usar y está muy bien diseñada. Hasta ahora he encontrado todo lo que estaba buscando y he podido aprender mucho de las presentaciones. Definitivamente utilizaré la aplicación para un examen de clase. Y, por supuesto, también me sirve mucho de inspiración.
Pablo
usuario de iOS
Esta app es realmente genial. Hay tantos apuntes de clase y ayuda [...]. Tengo problemas con matemáticas, por ejemplo, y la aplicación tiene muchas opciones de ayuda. Gracias a Knowunity, he mejorado en mates. Se la recomiendo a todo el mundo.
Elena
usuaria de Android
Vaya, estoy realmente sorprendida. Acabo de probar la app porque la he visto anunciada muchas veces y me he quedado absolutamente alucinada. Esta app es LA AYUDA que quieres para el insti y, sobre todo, ofrece muchísimas cosas, como ejercicios y hojas informativas, que a mí personalmente me han sido MUY útiles.
Ana
usuaria de iOS
Está app es muy buena, tiene apuntes que son de mucha ayuda y su IA es fantástica, te explica a la perfección y muy fácil de entender lo que necesites, te ayuda con los deberes, te hace esquemas... en definitiva es una muy buena opción!
Sophia
usuario de Android
Me encanta!!! Me resuelve todo con detalle y me da la explicación correcta. Tiene un montón de funciones, ami me ha ido genial!! Os la recomiendo!!!
Marta
usuaria de Android
La uso casi diariamente, sirve para todas las asignaturas. Yo, por ejemplo la utilizo más en inglés porque se me da bastante mal, ¡Todas las respuestas están correctas! Consta con personas reales que suben sus apuntes y IA para que puedas hacer los deberes muchísimo más fácil, la recomiendo.
Izan
usuario de iOS
¡La app es buenísima! Sólo tengo que introducir el tema en la barra de búsqueda y recibo la respuesta muy rápido. No tengo que ver 10 vídeos de YouTube para entender algo, así que me ahorro tiempo. ¡Muy recomendable!
Sara
usuaria de Android
En el instituto era muy malo en matemáticas, pero gracias a la app, ahora saco mejores notas. Os agradezco mucho que hayáis creado la aplicación.
Roberto
usuario de Android
Esto no es como Chatgpt, es MUCHISMO MEJOR, te hace unos resúmenes espectaculares y gracias a esta app pase de sacar 5-6 a sacar 8-9.
Julyana
usuaria de Android
Es la mejor aplicación del mundo, la uso para revisar los deberes a mi hijo.
Javier
usuario de Android
LOS QUIZ Y FLASHCARDS SON SÚPER ÚTILES Y ME ENCANTA Knowunity IA. ADEMÁS ES LITERALMENTE COMO CHATGPT PERO MÁS LISTO!! ME AYUDÓ TAMBIÉN CON MIS PROBLEMAS DE MÁSCARA!! Y CON MIS ASIGNATURAS DE VERDAD! OBVIO 😍😁😲🤑💗✨🎀😮
Erick
usuario de Android
Me me encanta esta app, todo lo que tiene es de calidad ya que antes de ser publicado es revisado por un equipo de profesionales. Me ha ido genial esta aplicación ya que gracias a ella puedo estudiar mucho mejor, sin tener que agobiarme porque mi profesor no ha hecho teoría o porque no entiendo su teoría. Le doy un 10 de 10!
Mar
usuaria de iOS
La app es muy fácil de usar y está muy bien diseñada. Hasta ahora he encontrado todo lo que estaba buscando y he podido aprender mucho de las presentaciones. Definitivamente utilizaré la aplicación para un examen de clase. Y, por supuesto, también me sirve mucho de inspiración.
Pablo
usuario de iOS
Esta app es realmente genial. Hay tantos apuntes de clase y ayuda [...]. Tengo problemas con matemáticas, por ejemplo, y la aplicación tiene muchas opciones de ayuda. Gracias a Knowunity, he mejorado en mates. Se la recomiendo a todo el mundo.
Elena
usuaria de Android
Vaya, estoy realmente sorprendida. Acabo de probar la app porque la he visto anunciada muchas veces y me he quedado absolutamente alucinada. Esta app es LA AYUDA que quieres para el insti y, sobre todo, ofrece muchísimas cosas, como ejercicios y hojas informativas, que a mí personalmente me han sido MUY útiles.
Ana
usuaria de iOS
Está app es muy buena, tiene apuntes que son de mucha ayuda y su IA es fantástica, te explica a la perfección y muy fácil de entender lo que necesites, te ayuda con los deberes, te hace esquemas... en definitiva es una muy buena opción!
Sophia
usuario de Android
Me encanta!!! Me resuelve todo con detalle y me da la explicación correcta. Tiene un montón de funciones, ami me ha ido genial!! Os la recomiendo!!!
Marta
usuaria de Android
La uso casi diariamente, sirve para todas las asignaturas. Yo, por ejemplo la utilizo más en inglés porque se me da bastante mal, ¡Todas las respuestas están correctas! Consta con personas reales que suben sus apuntes y IA para que puedas hacer los deberes muchísimo más fácil, la recomiendo.
Izan
usuario de iOS
¡La app es buenísima! Sólo tengo que introducir el tema en la barra de búsqueda y recibo la respuesta muy rápido. No tengo que ver 10 vídeos de YouTube para entender algo, así que me ahorro tiempo. ¡Muy recomendable!
Sara
usuaria de Android
En el instituto era muy malo en matemáticas, pero gracias a la app, ahora saco mejores notas. Os agradezco mucho que hayáis creado la aplicación.
Roberto
usuario de Android
Esto no es como Chatgpt, es MUCHISMO MEJOR, te hace unos resúmenes espectaculares y gracias a esta app pase de sacar 5-6 a sacar 8-9.
Julyana
usuaria de Android
Es la mejor aplicación del mundo, la uso para revisar los deberes a mi hijo.
Javier
usuario de Android
LOS QUIZ Y FLASHCARDS SON SÚPER ÚTILES Y ME ENCANTA Knowunity IA. ADEMÁS ES LITERALMENTE COMO CHATGPT PERO MÁS LISTO!! ME AYUDÓ TAMBIÉN CON MIS PROBLEMAS DE MÁSCARA!! Y CON MIS ASIGNATURAS DE VERDAD! OBVIO 😍😁😲🤑💗✨🎀😮
Erick
usuario de Android
Me me encanta esta app, todo lo que tiene es de calidad ya que antes de ser publicado es revisado por un equipo de profesionales. Me ha ido genial esta aplicación ya que gracias a ella puedo estudiar mucho mejor, sin tener que agobiarme porque mi profesor no ha hecho teoría o porque no entiendo su teoría. Le doy un 10 de 10!
Mar
usuaria de iOS