¿Te lías con las oraciones subordinadas y los tipos de... Mostrar más
Inscríbete para ver los apuntes¡Es gratis!
Acceso a todos los documentos
Mejora tus notas
Únete a millones de estudiantes
Knowunity AI
Asignaturas
Triangle Congruence and Similarity Theorems
Triangle Properties and Classification
Linear Equations and Graphs
Geometric Angle Relationships
Trigonometric Functions and Identities
Equation Solving Techniques
Circle Geometry Fundamentals
Division Operations and Methods
Basic Differentiation Rules
Exponent and Logarithm Properties
Mostrar todos los temas
Human Organ Systems
Reproductive Cell Cycles
Biological Sciences Subdisciplines
Cellular Energy Metabolism
Autotrophic Energy Processes
Inheritance Patterns and Principles
Biomolecular Structure and Organization
Cell Cycle and Division Mechanics
Cellular Organization and Development
Biological Structural Organization
Mostrar todos los temas
Chemical Sciences and Applications
Atomic Structure and Composition
Molecular Electron Structure Representation
Atomic Electron Behavior
Matter Properties and Water
Mole Concept and Calculations
Gas Laws and Behavior
Periodic Table Organization
Chemical Thermodynamics Fundamentals
Chemical Bond Types and Properties
Mostrar todos los temas
European Renaissance and Enlightenment
European Cultural Movements 800-1920
American Revolution Era 1763-1797
American Civil War 1861-1865
Global Imperial Systems
Mongol and Chinese Dynasties
U.S. Presidents and World Leaders
Historical Sources and Documentation
World Wars Era and Impact
World Religious Systems
Mostrar todos los temas
Classic and Contemporary Novels
Literary Character Analysis
Rhetorical Theory and Practice
Classic Literary Narratives
Reading Analysis and Interpretation
Narrative Structure and Techniques
English Language Components
Influential English-Language Authors
Basic Sentence Structure
Narrative Voice and Perspective
Mostrar todos los temas
706
•
Actualizado Mar 15, 2026
•
Apuntes 2° Bachillerato
@apuntes2dobach
¿Te lías con las oraciones subordinadas y los tipos de... Mostrar más










Las oraciones subordinadas son como piezas de puzzle que encajan dentro de otra oración principal. Hay tres tipos principales que debes conocer.
Las subordinadas sustantivas funcionan exactamente como un sustantivo normal. Puedes hacer la prueba: si puedes sustituir toda la oración por "eso" o "algo", ¡bingo! Por ejemplo, "Me alegra que hayas venido" = "Me alegra eso".
Las subordinadas adjetivas siempre acompañan a un sustantivo para describirlo mejor. Fíjate en "El libro que me prestaste es interesante" - puedes cambiar "que me prestaste" por un adjetivo como "prestado". Las explicativas van entre comas y dan info extra, mientras que las especificativas no llevan comas y son esenciales.
Truco: Para las coordinadas, cada oración puede funcionar sola. Se unen con conectores como "y" (copulativas), "pero" (adversativas) o "o" (disyuntivas).

El "se" es un comodín en español que puede tener mil funciones diferentes. No te agobies, la clave está en el contexto.
Cuando es reflexivo o recíproco, la acción vuelve al sujeto: "Se lava" (a sí mismo) o "Se miran" (el uno al otro). En las pasivas reflejas como "Se vendieron entradas", el "se" marca que es pasiva pero sin mencionar quién hace la acción.
El "que" también tiene dos caras principales. Como pronombre relativo introduce oraciones adjetivas y siempre tiene una función dentro de la subordinada (sujeto, CD, etc.). Como conjunción subordinante solo actúa de enlace sin función propia.
Recuerda: Si el "que" se puede sustituir por "el cual/la cual", es pronombre relativo. Si solo une oraciones, es conjunción.

Los textos argumentativos no son solo dar tu opinión, sino convencer con argumentos sólidos. Todo gira en torno a la tesis, que es tu idea principal.
La estructura puede variar según cómo presentes tu tesis. En la deductiva empiezas con tu idea y luego das las razones (la más común). En la inductiva presentas hechos primero y concluyes con tu tesis al final.
La modalización es clave porque muestra tu subjetividad como autor. Es lo que diferencia un texto objetivo de uno argumentativo donde tú tomas postura.
Tip de examen: Identifica primero la tesis y después busca los argumentos que la apoyan. Te facilitará mucho el análisis.

La modalización es tu huella personal en el texto. Hay tres tipos principales que debes dominar.
La modalización valorativa expresa directamente tu opinión: "decisiones nefastas" muestra claramente qué piensas. La epistémica indica tu grado de certeza: "es evidente" (seguridad) vs "tal vez" (duda).
La modalización deóntica expresa necesidad u obligación moral: "deberíamos cuidar el medio ambiente". Es muy común en textos que buscan generar conciencia social.
Los rasgos modalizadores incluyen desde pronombres personales ("nosotros debemos") hasta verbos modales como "creo", "siento" o "necesitamos". Los adjetivos y adverbios valorativos también delatan tu postura.
Para recordar: La modalización convierte hechos objetivos en opiniones subjetivas. Busca estas marcas lingüísticas para analizar la intención del autor.

Las modalidades oracionales son herramientas potentes para transmitir tu actitud. No es lo mismo afirmar "El cambio climático es real" que preguntar "¿Hasta cuándo ignoraremos esta crisis?"
Las exclamativas añaden énfasis emocional, las desiderativas expresan deseos ("Ojalá tome medidas"), y las imperativas buscan acción directa ("Actuemos ya").
El grado de certeza marca la diferencia entre "sin duda" (total seguridad) y "quizás" (incertidumbre). El registro coloquial puede acercarte al lector: "esto no tiene ni pies ni cabeza".
En los exámenes: Fíjate en los signos de puntuación. ¿, ¡, ¿ te dan pistas directas sobre la modalidad oracional.

Las figuras retóricas no son solo adorno, sino armas de persuasión. La metáfora "el desempleo es una bomba de tiempo" impacta más que decir "el desempleo es peligroso".
La personificación humaniza conceptos abstractos: "la naturaleza nos pide ayuda" genera más empatía que datos fríos. La hipérbole exagera para enfatizar: "esperamos siglos" por "mucho tiempo".
La intertextualidad da autoridad a tus argumentos citando fuentes reconocidas. Los recursos tipográficos (negritas, cursivas, comillas) guían la atención del lector hacia lo más importante.
Consejo práctico: En tus propios textos argumentativos, usa estas figuras con moderación. Demasiadas pueden saturar al lector.

Los morfemas son las piezas más pequeñas con significado de las palabras. La raíz aporta el significado principal y es la base de todo.
Los afijos modifican o completan el significado. Los prefijos van delante , los sufijos detrás y pueden cambiar la categoría gramatical. Los interfijos conectan partes .
Las desinencias marcan flexión gramatical. En los nombres indican género y número . En los verbos son más complejas: vocal temática + tiempo/modo/aspecto + número/persona.
Método infalible: Separa siempre raíz de afijos. Te ayudará tanto en morfología como en etimología.

Las palabras simples tienen solo raíz: "sol", "mar". Son la base para formar otras más complejas.
Las palabras derivadas añaden afijos a la raíz. La prefijación , sufijación y parasíntesis son procesos diferentes. En la parasíntesis necesitas prefijo Y sufijo a la vez.
Las palabras compuestas unen dos o más raíces: "para-aguas", "medio-día". Pueden ser propias (significado unitario) o sintagmáticas (mantienen significados separados).
Truco del examen: En parasíntesis, si quitas el prefijo O el sufijo, la palabra no existe. En "aterrizar", ni "aterr" ni "terrizar" existen solos.

Los morfemas flexivos no crean palabras nuevas, solo indican variaciones gramaticales. Género y número en nombres , y las complejas desinencias verbales.
En tiempos simples como "cantamos", todo va junto: cant(raíz) + a(vocal temática) + mos(desinencia). Los tiempos compuestos usan auxiliar más participio: "hemos cantado".
Los morfemas derivativos sí crean palabras nuevas. Los interfijos mejoran la sonoridad , mientras que prefijos y sufijos aportan significado nuevo o cambian la categoría gramatical.
Para el análisis: Identifica primero si es flexión (misma palabra, distinta forma) o derivación (palabra nueva con significado relacionado).
Nuestro compañero de IA está específicamente adaptado a las necesidades de los estudiantes. Basándonos en los millones de contenidos que tenemos en la plataforma, podemos dar a los estudiantes respuestas realmente significativas y relevantes. Pero no se trata solo de respuestas, el compañero también guía a los estudiantes a través de sus retos de aprendizaje diarios, con planes de aprendizaje personalizados, cuestionarios o contenidos en el chat y una personalización del 100% basada en las habilidades y el desarrollo de los estudiantes.
Puedes descargar la app en Google Play Store y Apple App Store.
Sí, tienes acceso gratuito a los contenidos de la aplicación y a nuestro compañero de IA. Para desbloquear determinadas funciones de la aplicación, puedes adquirir Knowunity Pro.
App Store
Google Play
La app es muy fácil de usar y está muy bien diseñada. Hasta ahora he encontrado todo lo que estaba buscando y he podido aprender mucho de las presentaciones. Definitivamente utilizaré la aplicación para un examen de clase. Y, por supuesto, también me sirve mucho de inspiración.
Pablo
usuario de iOS
Esta app es realmente genial. Hay tantos apuntes de clase y ayuda [...]. Tengo problemas con matemáticas, por ejemplo, y la aplicación tiene muchas opciones de ayuda. Gracias a Knowunity, he mejorado en mates. Se la recomiendo a todo el mundo.
Elena
usuaria de Android
Vaya, estoy realmente sorprendida. Acabo de probar la app porque la he visto anunciada muchas veces y me he quedado absolutamente alucinada. Esta app es LA AYUDA que quieres para el insti y, sobre todo, ofrece muchísimas cosas, como ejercicios y hojas informativas, que a mí personalmente me han sido MUY útiles.
Ana
usuaria de iOS
Está app es muy buena, tiene apuntes que son de mucha ayuda y su IA es fantástica, te explica a la perfección y muy fácil de entender lo que necesites, te ayuda con los deberes, te hace esquemas... en definitiva es una muy buena opción!
Sophia
usuario de Android
Me encanta!!! Me resuelve todo con detalle y me da la explicación correcta. Tiene un montón de funciones, ami me ha ido genial!! Os la recomiendo!!!
Marta
usuaria de Android
La uso casi diariamente, sirve para todas las asignaturas. Yo, por ejemplo la utilizo más en inglés porque se me da bastante mal, ¡Todas las respuestas están correctas! Consta con personas reales que suben sus apuntes y IA para que puedas hacer los deberes muchísimo más fácil, la recomiendo.
Izan
usuario de iOS
¡La app es buenísima! Sólo tengo que introducir el tema en la barra de búsqueda y recibo la respuesta muy rápido. No tengo que ver 10 vídeos de YouTube para entender algo, así que me ahorro tiempo. ¡Muy recomendable!
Sara
usuaria de Android
En el instituto era muy malo en matemáticas, pero gracias a la app, ahora saco mejores notas. Os agradezco mucho que hayáis creado la aplicación.
Roberto
usuario de Android
Esto no es como Chatgpt, es MUCHISMO MEJOR, te hace unos resúmenes espectaculares y gracias a esta app pase de sacar 5-6 a sacar 8-9.
Julyana
usuaria de Android
Es la mejor aplicación del mundo, la uso para revisar los deberes a mi hijo.
Javier
usuario de Android
LOS QUIZ Y FLASHCARDS SON SÚPER ÚTILES Y ME ENCANTA Knowunity IA. ADEMÁS ES LITERALMENTE COMO CHATGPT PERO MÁS LISTO!! ME AYUDÓ TAMBIÉN CON MIS PROBLEMAS DE MÁSCARA!! Y CON MIS ASIGNATURAS DE VERDAD! OBVIO 😍😁😲🤑💗✨🎀😮
Erick
usuario de Android
Me me encanta esta app, todo lo que tiene es de calidad ya que antes de ser publicado es revisado por un equipo de profesionales. Me ha ido genial esta aplicación ya que gracias a ella puedo estudiar mucho mejor, sin tener que agobiarme porque mi profesor no ha hecho teoría o porque no entiendo su teoría. Le doy un 10 de 10!
Mar
usuaria de iOS
La app es muy fácil de usar y está muy bien diseñada. Hasta ahora he encontrado todo lo que estaba buscando y he podido aprender mucho de las presentaciones. Definitivamente utilizaré la aplicación para un examen de clase. Y, por supuesto, también me sirve mucho de inspiración.
Pablo
usuario de iOS
Esta app es realmente genial. Hay tantos apuntes de clase y ayuda [...]. Tengo problemas con matemáticas, por ejemplo, y la aplicación tiene muchas opciones de ayuda. Gracias a Knowunity, he mejorado en mates. Se la recomiendo a todo el mundo.
Elena
usuaria de Android
Vaya, estoy realmente sorprendida. Acabo de probar la app porque la he visto anunciada muchas veces y me he quedado absolutamente alucinada. Esta app es LA AYUDA que quieres para el insti y, sobre todo, ofrece muchísimas cosas, como ejercicios y hojas informativas, que a mí personalmente me han sido MUY útiles.
Ana
usuaria de iOS
Está app es muy buena, tiene apuntes que son de mucha ayuda y su IA es fantástica, te explica a la perfección y muy fácil de entender lo que necesites, te ayuda con los deberes, te hace esquemas... en definitiva es una muy buena opción!
Sophia
usuario de Android
Me encanta!!! Me resuelve todo con detalle y me da la explicación correcta. Tiene un montón de funciones, ami me ha ido genial!! Os la recomiendo!!!
Marta
usuaria de Android
La uso casi diariamente, sirve para todas las asignaturas. Yo, por ejemplo la utilizo más en inglés porque se me da bastante mal, ¡Todas las respuestas están correctas! Consta con personas reales que suben sus apuntes y IA para que puedas hacer los deberes muchísimo más fácil, la recomiendo.
Izan
usuario de iOS
¡La app es buenísima! Sólo tengo que introducir el tema en la barra de búsqueda y recibo la respuesta muy rápido. No tengo que ver 10 vídeos de YouTube para entender algo, así que me ahorro tiempo. ¡Muy recomendable!
Sara
usuaria de Android
En el instituto era muy malo en matemáticas, pero gracias a la app, ahora saco mejores notas. Os agradezco mucho que hayáis creado la aplicación.
Roberto
usuario de Android
Esto no es como Chatgpt, es MUCHISMO MEJOR, te hace unos resúmenes espectaculares y gracias a esta app pase de sacar 5-6 a sacar 8-9.
Julyana
usuaria de Android
Es la mejor aplicación del mundo, la uso para revisar los deberes a mi hijo.
Javier
usuario de Android
LOS QUIZ Y FLASHCARDS SON SÚPER ÚTILES Y ME ENCANTA Knowunity IA. ADEMÁS ES LITERALMENTE COMO CHATGPT PERO MÁS LISTO!! ME AYUDÓ TAMBIÉN CON MIS PROBLEMAS DE MÁSCARA!! Y CON MIS ASIGNATURAS DE VERDAD! OBVIO 😍😁😲🤑💗✨🎀😮
Erick
usuario de Android
Me me encanta esta app, todo lo que tiene es de calidad ya que antes de ser publicado es revisado por un equipo de profesionales. Me ha ido genial esta aplicación ya que gracias a ella puedo estudiar mucho mejor, sin tener que agobiarme porque mi profesor no ha hecho teoría o porque no entiendo su teoría. Le doy un 10 de 10!
Mar
usuaria de iOS
Apuntes 2° Bachillerato
@apuntes2dobach
¿Te lías con las oraciones subordinadas y los tipos de texto? No te preocupes, que en realidad es más fácil de lo que parece. Aquí tienes todo lo que necesitas saber sobre sintaxis, argumentación y morfología para dominar estos temas... Mostrar más

Acceso a todos los documentos
Mejora tus notas
Únete a millones de estudiantes
Las oraciones subordinadas son como piezas de puzzle que encajan dentro de otra oración principal. Hay tres tipos principales que debes conocer.
Las subordinadas sustantivas funcionan exactamente como un sustantivo normal. Puedes hacer la prueba: si puedes sustituir toda la oración por "eso" o "algo", ¡bingo! Por ejemplo, "Me alegra que hayas venido" = "Me alegra eso".
Las subordinadas adjetivas siempre acompañan a un sustantivo para describirlo mejor. Fíjate en "El libro que me prestaste es interesante" - puedes cambiar "que me prestaste" por un adjetivo como "prestado". Las explicativas van entre comas y dan info extra, mientras que las especificativas no llevan comas y son esenciales.
Truco: Para las coordinadas, cada oración puede funcionar sola. Se unen con conectores como "y" (copulativas), "pero" (adversativas) o "o" (disyuntivas).

Acceso a todos los documentos
Mejora tus notas
Únete a millones de estudiantes
El "se" es un comodín en español que puede tener mil funciones diferentes. No te agobies, la clave está en el contexto.
Cuando es reflexivo o recíproco, la acción vuelve al sujeto: "Se lava" (a sí mismo) o "Se miran" (el uno al otro). En las pasivas reflejas como "Se vendieron entradas", el "se" marca que es pasiva pero sin mencionar quién hace la acción.
El "que" también tiene dos caras principales. Como pronombre relativo introduce oraciones adjetivas y siempre tiene una función dentro de la subordinada (sujeto, CD, etc.). Como conjunción subordinante solo actúa de enlace sin función propia.
Recuerda: Si el "que" se puede sustituir por "el cual/la cual", es pronombre relativo. Si solo une oraciones, es conjunción.

Acceso a todos los documentos
Mejora tus notas
Únete a millones de estudiantes
Los textos argumentativos no son solo dar tu opinión, sino convencer con argumentos sólidos. Todo gira en torno a la tesis, que es tu idea principal.
La estructura puede variar según cómo presentes tu tesis. En la deductiva empiezas con tu idea y luego das las razones (la más común). En la inductiva presentas hechos primero y concluyes con tu tesis al final.
La modalización es clave porque muestra tu subjetividad como autor. Es lo que diferencia un texto objetivo de uno argumentativo donde tú tomas postura.
Tip de examen: Identifica primero la tesis y después busca los argumentos que la apoyan. Te facilitará mucho el análisis.

Acceso a todos los documentos
Mejora tus notas
Únete a millones de estudiantes
La modalización es tu huella personal en el texto. Hay tres tipos principales que debes dominar.
La modalización valorativa expresa directamente tu opinión: "decisiones nefastas" muestra claramente qué piensas. La epistémica indica tu grado de certeza: "es evidente" (seguridad) vs "tal vez" (duda).
La modalización deóntica expresa necesidad u obligación moral: "deberíamos cuidar el medio ambiente". Es muy común en textos que buscan generar conciencia social.
Los rasgos modalizadores incluyen desde pronombres personales ("nosotros debemos") hasta verbos modales como "creo", "siento" o "necesitamos". Los adjetivos y adverbios valorativos también delatan tu postura.
Para recordar: La modalización convierte hechos objetivos en opiniones subjetivas. Busca estas marcas lingüísticas para analizar la intención del autor.

Acceso a todos los documentos
Mejora tus notas
Únete a millones de estudiantes
Las modalidades oracionales son herramientas potentes para transmitir tu actitud. No es lo mismo afirmar "El cambio climático es real" que preguntar "¿Hasta cuándo ignoraremos esta crisis?"
Las exclamativas añaden énfasis emocional, las desiderativas expresan deseos ("Ojalá tome medidas"), y las imperativas buscan acción directa ("Actuemos ya").
El grado de certeza marca la diferencia entre "sin duda" (total seguridad) y "quizás" (incertidumbre). El registro coloquial puede acercarte al lector: "esto no tiene ni pies ni cabeza".
En los exámenes: Fíjate en los signos de puntuación. ¿, ¡, ¿ te dan pistas directas sobre la modalidad oracional.

Acceso a todos los documentos
Mejora tus notas
Únete a millones de estudiantes
Las figuras retóricas no son solo adorno, sino armas de persuasión. La metáfora "el desempleo es una bomba de tiempo" impacta más que decir "el desempleo es peligroso".
La personificación humaniza conceptos abstractos: "la naturaleza nos pide ayuda" genera más empatía que datos fríos. La hipérbole exagera para enfatizar: "esperamos siglos" por "mucho tiempo".
La intertextualidad da autoridad a tus argumentos citando fuentes reconocidas. Los recursos tipográficos (negritas, cursivas, comillas) guían la atención del lector hacia lo más importante.
Consejo práctico: En tus propios textos argumentativos, usa estas figuras con moderación. Demasiadas pueden saturar al lector.

Acceso a todos los documentos
Mejora tus notas
Únete a millones de estudiantes
Los morfemas son las piezas más pequeñas con significado de las palabras. La raíz aporta el significado principal y es la base de todo.
Los afijos modifican o completan el significado. Los prefijos van delante , los sufijos detrás y pueden cambiar la categoría gramatical. Los interfijos conectan partes .
Las desinencias marcan flexión gramatical. En los nombres indican género y número . En los verbos son más complejas: vocal temática + tiempo/modo/aspecto + número/persona.
Método infalible: Separa siempre raíz de afijos. Te ayudará tanto en morfología como en etimología.

Acceso a todos los documentos
Mejora tus notas
Únete a millones de estudiantes
Las palabras simples tienen solo raíz: "sol", "mar". Son la base para formar otras más complejas.
Las palabras derivadas añaden afijos a la raíz. La prefijación , sufijación y parasíntesis son procesos diferentes. En la parasíntesis necesitas prefijo Y sufijo a la vez.
Las palabras compuestas unen dos o más raíces: "para-aguas", "medio-día". Pueden ser propias (significado unitario) o sintagmáticas (mantienen significados separados).
Truco del examen: En parasíntesis, si quitas el prefijo O el sufijo, la palabra no existe. En "aterrizar", ni "aterr" ni "terrizar" existen solos.

Acceso a todos los documentos
Mejora tus notas
Únete a millones de estudiantes
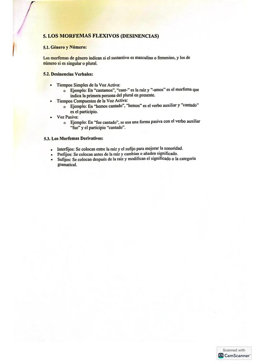
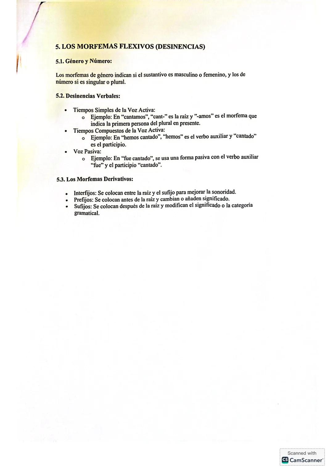
Los morfemas flexivos no crean palabras nuevas, solo indican variaciones gramaticales. Género y número en nombres , y las complejas desinencias verbales.
En tiempos simples como "cantamos", todo va junto: cant(raíz) + a(vocal temática) + mos(desinencia). Los tiempos compuestos usan auxiliar más participio: "hemos cantado".
Los morfemas derivativos sí crean palabras nuevas. Los interfijos mejoran la sonoridad , mientras que prefijos y sufijos aportan significado nuevo o cambian la categoría gramatical.
Para el análisis: Identifica primero si es flexión (misma palabra, distinta forma) o derivación (palabra nueva con significado relacionado).
Nuestro compañero de IA está específicamente adaptado a las necesidades de los estudiantes. Basándonos en los millones de contenidos que tenemos en la plataforma, podemos dar a los estudiantes respuestas realmente significativas y relevantes. Pero no se trata solo de respuestas, el compañero también guía a los estudiantes a través de sus retos de aprendizaje diarios, con planes de aprendizaje personalizados, cuestionarios o contenidos en el chat y una personalización del 100% basada en las habilidades y el desarrollo de los estudiantes.
Puedes descargar la app en Google Play Store y Apple App Store.
Sí, tienes acceso gratuito a los contenidos de la aplicación y a nuestro compañero de IA. Para desbloquear determinadas funciones de la aplicación, puedes adquirir Knowunity Pro.
21
Herramientas Inteligentes NUEVO
Transforma estos apuntes en: ✓ 50+ Preguntas de Práctica ✓ Flashcards Interactivas ✓ Examen Completo de Práctica ✓ Esquemas de Ensayo
App Store
Google Play
La app es muy fácil de usar y está muy bien diseñada. Hasta ahora he encontrado todo lo que estaba buscando y he podido aprender mucho de las presentaciones. Definitivamente utilizaré la aplicación para un examen de clase. Y, por supuesto, también me sirve mucho de inspiración.
Pablo
usuario de iOS
Esta app es realmente genial. Hay tantos apuntes de clase y ayuda [...]. Tengo problemas con matemáticas, por ejemplo, y la aplicación tiene muchas opciones de ayuda. Gracias a Knowunity, he mejorado en mates. Se la recomiendo a todo el mundo.
Elena
usuaria de Android
Vaya, estoy realmente sorprendida. Acabo de probar la app porque la he visto anunciada muchas veces y me he quedado absolutamente alucinada. Esta app es LA AYUDA que quieres para el insti y, sobre todo, ofrece muchísimas cosas, como ejercicios y hojas informativas, que a mí personalmente me han sido MUY útiles.
Ana
usuaria de iOS
Está app es muy buena, tiene apuntes que son de mucha ayuda y su IA es fantástica, te explica a la perfección y muy fácil de entender lo que necesites, te ayuda con los deberes, te hace esquemas... en definitiva es una muy buena opción!
Sophia
usuario de Android
Me encanta!!! Me resuelve todo con detalle y me da la explicación correcta. Tiene un montón de funciones, ami me ha ido genial!! Os la recomiendo!!!
Marta
usuaria de Android
La uso casi diariamente, sirve para todas las asignaturas. Yo, por ejemplo la utilizo más en inglés porque se me da bastante mal, ¡Todas las respuestas están correctas! Consta con personas reales que suben sus apuntes y IA para que puedas hacer los deberes muchísimo más fácil, la recomiendo.
Izan
usuario de iOS
¡La app es buenísima! Sólo tengo que introducir el tema en la barra de búsqueda y recibo la respuesta muy rápido. No tengo que ver 10 vídeos de YouTube para entender algo, así que me ahorro tiempo. ¡Muy recomendable!
Sara
usuaria de Android
En el instituto era muy malo en matemáticas, pero gracias a la app, ahora saco mejores notas. Os agradezco mucho que hayáis creado la aplicación.
Roberto
usuario de Android
Esto no es como Chatgpt, es MUCHISMO MEJOR, te hace unos resúmenes espectaculares y gracias a esta app pase de sacar 5-6 a sacar 8-9.
Julyana
usuaria de Android
Es la mejor aplicación del mundo, la uso para revisar los deberes a mi hijo.
Javier
usuario de Android
LOS QUIZ Y FLASHCARDS SON SÚPER ÚTILES Y ME ENCANTA Knowunity IA. ADEMÁS ES LITERALMENTE COMO CHATGPT PERO MÁS LISTO!! ME AYUDÓ TAMBIÉN CON MIS PROBLEMAS DE MÁSCARA!! Y CON MIS ASIGNATURAS DE VERDAD! OBVIO 😍😁😲🤑💗✨🎀😮
Erick
usuario de Android
Me me encanta esta app, todo lo que tiene es de calidad ya que antes de ser publicado es revisado por un equipo de profesionales. Me ha ido genial esta aplicación ya que gracias a ella puedo estudiar mucho mejor, sin tener que agobiarme porque mi profesor no ha hecho teoría o porque no entiendo su teoría. Le doy un 10 de 10!
Mar
usuaria de iOS
La app es muy fácil de usar y está muy bien diseñada. Hasta ahora he encontrado todo lo que estaba buscando y he podido aprender mucho de las presentaciones. Definitivamente utilizaré la aplicación para un examen de clase. Y, por supuesto, también me sirve mucho de inspiración.
Pablo
usuario de iOS
Esta app es realmente genial. Hay tantos apuntes de clase y ayuda [...]. Tengo problemas con matemáticas, por ejemplo, y la aplicación tiene muchas opciones de ayuda. Gracias a Knowunity, he mejorado en mates. Se la recomiendo a todo el mundo.
Elena
usuaria de Android
Vaya, estoy realmente sorprendida. Acabo de probar la app porque la he visto anunciada muchas veces y me he quedado absolutamente alucinada. Esta app es LA AYUDA que quieres para el insti y, sobre todo, ofrece muchísimas cosas, como ejercicios y hojas informativas, que a mí personalmente me han sido MUY útiles.
Ana
usuaria de iOS
Está app es muy buena, tiene apuntes que son de mucha ayuda y su IA es fantástica, te explica a la perfección y muy fácil de entender lo que necesites, te ayuda con los deberes, te hace esquemas... en definitiva es una muy buena opción!
Sophia
usuario de Android
Me encanta!!! Me resuelve todo con detalle y me da la explicación correcta. Tiene un montón de funciones, ami me ha ido genial!! Os la recomiendo!!!
Marta
usuaria de Android
La uso casi diariamente, sirve para todas las asignaturas. Yo, por ejemplo la utilizo más en inglés porque se me da bastante mal, ¡Todas las respuestas están correctas! Consta con personas reales que suben sus apuntes y IA para que puedas hacer los deberes muchísimo más fácil, la recomiendo.
Izan
usuario de iOS
¡La app es buenísima! Sólo tengo que introducir el tema en la barra de búsqueda y recibo la respuesta muy rápido. No tengo que ver 10 vídeos de YouTube para entender algo, así que me ahorro tiempo. ¡Muy recomendable!
Sara
usuaria de Android
En el instituto era muy malo en matemáticas, pero gracias a la app, ahora saco mejores notas. Os agradezco mucho que hayáis creado la aplicación.
Roberto
usuario de Android
Esto no es como Chatgpt, es MUCHISMO MEJOR, te hace unos resúmenes espectaculares y gracias a esta app pase de sacar 5-6 a sacar 8-9.
Julyana
usuaria de Android
Es la mejor aplicación del mundo, la uso para revisar los deberes a mi hijo.
Javier
usuario de Android
LOS QUIZ Y FLASHCARDS SON SÚPER ÚTILES Y ME ENCANTA Knowunity IA. ADEMÁS ES LITERALMENTE COMO CHATGPT PERO MÁS LISTO!! ME AYUDÓ TAMBIÉN CON MIS PROBLEMAS DE MÁSCARA!! Y CON MIS ASIGNATURAS DE VERDAD! OBVIO 😍😁😲🤑💗✨🎀😮
Erick
usuario de Android
Me me encanta esta app, todo lo que tiene es de calidad ya que antes de ser publicado es revisado por un equipo de profesionales. Me ha ido genial esta aplicación ya que gracias a ella puedo estudiar mucho mejor, sin tener que agobiarme porque mi profesor no ha hecho teoría o porque no entiendo su teoría. Le doy un 10 de 10!
Mar
usuaria de iOS