¿Alguna vez te has sentido atrapado en un ambiente que... Mostrar más
Inscríbete para ver los apuntes¡Es gratis!
Acceso a todos los documentos
Mejora tus notas
Únete a millones de estudiantes
Knowunity AI
Asignaturas
Triangle Congruence and Similarity Theorems
Triangle Properties and Classification
Linear Equations and Graphs
Geometric Angle Relationships
Trigonometric Functions and Identities
Equation Solving Techniques
Circle Geometry Fundamentals
Division Operations and Methods
Basic Differentiation Rules
Exponent and Logarithm Properties
Mostrar todos los temas
Human Organ Systems
Reproductive Cell Cycles
Biological Sciences Subdisciplines
Cellular Energy Metabolism
Autotrophic Energy Processes
Inheritance Patterns and Principles
Biomolecular Structure and Organization
Cell Cycle and Division Mechanics
Cellular Organization and Development
Biological Structural Organization
Mostrar todos los temas
Chemical Sciences and Applications
Atomic Structure and Composition
Molecular Electron Structure Representation
Atomic Electron Behavior
Matter Properties and Water
Mole Concept and Calculations
Gas Laws and Behavior
Periodic Table Organization
Chemical Thermodynamics Fundamentals
Chemical Bond Types and Properties
Mostrar todos los temas
European Renaissance and Enlightenment
European Cultural Movements 800-1920
American Revolution Era 1763-1797
American Civil War 1861-1865
Global Imperial Systems
Mongol and Chinese Dynasties
U.S. Presidents and World Leaders
Historical Sources and Documentation
World Wars Era and Impact
World Religious Systems
Mostrar todos los temas
Classic and Contemporary Novels
Literary Character Analysis
Rhetorical Theory and Practice
Classic Literary Narratives
Reading Analysis and Interpretation
Narrative Structure and Techniques
English Language Components
Influential English-Language Authors
Basic Sentence Structure
Narrative Voice and Perspective
Mostrar todos los temas
378
•
Actualizado Mar 24, 2026
•
Apuntes 2° Bachillerato
@apuntes2dobach
¿Alguna vez te has sentido atrapado en un ambiente que... Mostrar más







La posguerra española marca un antes y después en la literatura. La censura se convierte en una realidad que los escritores deben sortear, limitando especialmente la novela social que critica la situación del país.
Obras como La familia de Pascual Duarte (1942) y Nada (1945) abren el camino a una nueva forma de contar historias. En los años 50 surge con fuerza la novela social, destacando La colmena (1951) de Cela.
Dato clave: El realismo crítico y el objetivismo dominan esta época, usando técnicas como el personaje colectivo y la narración cinematográfica para mostrar la realidad social.
Autores como Ignacio Aldecoa, Ana María Matute y Carmen Martín Gaite se convierten en las voces de una generación que busca reflejar los problemas de su tiempo de manera sutil pero efectiva.
Nacida en Salamanca en 1925, Carmen crece en una familia liberal poco común para la época. Su padre la educa en casa, evitando la enseñanza católica predominante, lo que marca profundamente su forma de ver el mundo.
Estudia Filología Románica en Salamanca, donde descubre su pasión por escribir. En 1953 se une al grupo de la Revista Española, donde conoce a futuros grandes escritores como Rafael Sánchez Ferlosio, con quien se casa.
Su salto a la fama llega en 1957 con "Entre visillos", obra que le vale el prestigioso Premio Nadal. A partir de los 70, diversifica su trabajo hacia el ensayo y la investigación histórica.
Reconocimiento: En 1988 recibe el Premio Príncipe de Asturias, consolidándose como una de las voces más importantes de la literatura española.
Los años 90 la ven regresar a la novela con obras innovadoras, trabajando también en guiones televisivos hasta su muerte en Madrid en 2000.
La obra de Martín Gaite evoluciona a través de tres períodos claramente diferenciados que muestran su crecimiento artístico.
Realismo social (1954-1962): Utiliza un estilo objetivo para retratar la falta de libertad, especialmente femenina. El balneario (1954) y Entre visillos (1957) son sus obras más representativas de esta etapa.
Novela experimental (1962-1978): Introduce innovaciones narrativas como la ruptura temporal y la introspección psicológica. Destacan Ritmo lento (1963), Retahílas (1974) y El cuarto de atrás (1978).
Evolución creativa: La novela intimista (1990-2000) marca su regreso a un estilo más tradicional, centrado en la identidad personal y la comunicación.
Sus últimas obras, como Caperucita en Manhattan (1990) y Nubosidad variable (1992), muestran una madurez literaria excepcional que combina técnica y sensibilidad.
Entre visillos refleja magistralmente la represión de la posguerra en una ciudad de provincias que claramente evoca Salamanca. La novela se estructura en dos partes: la vida colectiva (11 capítulos) y los conflictos personales (7 capítulos).
La técnica narrativa combina una perspectiva múltiple con narrador externo y dos internos: Natalia y Pablo. Esta variedad de puntos de vista enriquece la historia y permite ver la realidad desde diferentes ángulos.
Los personajes principales son jóvenes que luchan contra la monotonía de la posguerra. Pablo Klein, el forastero crítico, y Natalia, la chica inconformista, representan la búsqueda de libertad frente a las convenciones sociales.
Simbolismo espacial: El contraste entre espacios cerrados (represión) y abiertos (deseo de libertad) refuerza temáticamente la sensación de ahogo social.

La acción transcurre entre septiembre y diciembre en un contexto de posguerra con referencias sutiles al franquismo. Este marco temporal refuerza la sensación de estancamiento que viven los personajes.
El contraste espacial es fundamental: los espacios cerrados simbolizan la represión social, mientras que los abiertos representan el anhelo de libertad. Los visillos del título funcionan como metáfora de las barreras sociales que limitan especialmente a las mujeres.
Martín Gaite logra combinar profundidad literaria con comunicación accesible, creando una obra compleja pero comprensible. Su conciencia social y estilo sólido garantizan que la novela trascienda su época histórica.
Relevancia actual: Los temas de Entre visillos siguen siendo actuales: la búsqueda de identidad, la presión social y el deseo de libertad personal.
La novela arranca con Natalia escribiendo en su diario sobre su amiga Gertru, quien ha dejado los estudios por presión de su novio Ángel. Esta situación ya anticipa uno de los temas centrales: la limitación de las oportunidades femeninas.
Pablo Klein llega a Salamanca desde San Sebastián como profesor de alemán, pero descubre que el director del instituto ha fallecido. Su perspectiva de forastero le permite observar críticamente la sociedad provinciana.
Goyita, la chica de rosa, se siente inferior por sus experiencias veraniegas limitadas. Su búsqueda de Toñuca y su inquietud por Manolo Torre revelan las inseguridades de una generación que busca su lugar en el mundo.
Técnica narrativa: Cada personaje presenta su punto de vista, creando un mosaico de perspectivas que enriquece la comprensión de la realidad social.
Pablo visita la casa del difunto director y conoce a Elvira, quien se siente atrapada tanto en casa como en la ciudad. También conoce a Teo, hermano de Elvira, y a Emilio, un joven aspirante a poeta que simboliza las inquietudes intelectuales de la época.
Natalia es convencida por Gertru para ir al Casino, donde conoce a Manolo Torre. Su rechazo a los coqueteos de Manolo muestra su carácter independiente y su incomodidad con los roles sociales esperados.
La escena donde Pablo ayuda a Rosa, la cantante del Casino, revela su lado compasivo y marca el inicio de una relación que contrasta con las convenciones sociales de la época.
Ambiente social: El Casino representa el espacio de ocio burgués donde se reproducen y cuestionan las normas sociales establecidas.
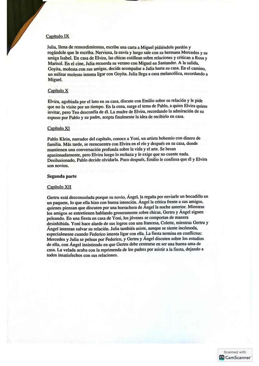
Julia vive un conflicto entre sus impulsos naturales y la moral religiosa, confesándose con el padre Luis sobre sus pensamientos "impuros" hacia Miguel. Su encuentro sorpresa con él junto al río simboliza la tensión entre deseo y represión.
Pablo recibe una carta de Elvira confesando su interés, pero él duda sobre cómo reaccionar. Su relación con Rosa se intensifica hasta una despedida emotiva que marca su primera experiencia real en la ciudad.
El encuentro final entre Pablo y Elvira junto al río culmina en un beso apasionado que ella luego rechaza, exigiendo silencio. Esta situación refleja las contradicciones de una sociedad que reprime los sentimientos auténticos.
Simbolismo del río: El espacio natural del río representa la libertad emocional frente a los espacios urbanos represivos.

La segunda parte intensifica los conflictos personales con la pelea entre Gertru y Ángel por un malentendido sobre un bocadillo. Esta escena aparentemente trivial revela la tensión machista en las relaciones de pareja.
La fiesta en casa de Yoni se convierte en el escenario donde explotan las tensiones acumuladas. Los jóvenes se comportan de manera más desinhibida, pero surgen conflictos que evidencian las contradicciones sociales.
Mercedes y Julia se pelean por Federico, mientras Gertru y Ángel discuten sobre los estudios de ella. Ángel insiste en que Gertru debe centrarse en ser "una buena ama de casa", reflejando las limitaciones impuestas a las mujeres.
Tensión generacional: La fiesta representa el choque entre las aspiraciones juveniles y las expectativas sociales tradicionales.
Natalia regresa al instituto tras una enfermedad y se encuentra con Pablo Klein, su profesor de alemán. Él se sorprende por su falta de ambición académica, influenciada por la oposición paterna a que estudie una carrera.
El encuentro entre Natalia y Pablo en un café marca un punto de inflexión. Aunque ella se excusa, la invitación representa una puerta hacia un mundo de posibilidades que su entorno familiar rechaza.
Elvira se debate entre las expectativas de sus amigas, que sueñan con casarse con Emilio, y sus propios deseos. Su rechazo inicial a Emilio, seguido de su sorpresiva decisión de casarse, muestra las contradicciones femeninas de la época.
Reflexión educativa: El contraste entre las aspiraciones de Natalia y las limitaciones familiares ilustra la frustración de una generación de mujeres inteligentes sin oportunidades.
Natalia describe las tensiones en su hogar, donde su tía Concha la controla severamente. A pesar de las presiones familiares, encuentra consuelo en su amistad con Alicia y comienza a cuestionar seriamente su futuro.
La boda de Gertru con Ángel se organiza rápidamente con la llegada de la madre de él desde Argentina. Natalia se siente incómoda en el evento, rodeada de mujeres que hablan superficialmente sobre matrimonio y familia.
Pablo decide abandonar Salamanca tras sentirse cada vez más desconectado de la vida provinciana. En su despedida, se encuentra con Julia, que se va a Madrid con su novio, y con Natalia, quien enfrenta sus propios dilemas sobre el futuro.
Final simbólico: Pablo observa a Natalia llorando mientras el tren se aleja, simbolizando las oportunidades perdidas y los sueños frustrados por las limitaciones sociales.



Nuestro compañero de IA está específicamente adaptado a las necesidades de los estudiantes. Basándonos en los millones de contenidos que tenemos en la plataforma, podemos dar a los estudiantes respuestas realmente significativas y relevantes. Pero no se trata solo de respuestas, el compañero también guía a los estudiantes a través de sus retos de aprendizaje diarios, con planes de aprendizaje personalizados, cuestionarios o contenidos en el chat y una personalización del 100% basada en las habilidades y el desarrollo de los estudiantes.
Puedes descargar la app en Google Play Store y Apple App Store.
Sí, tienes acceso gratuito a los contenidos de la aplicación y a nuestro compañero de IA. Para desbloquear determinadas funciones de la aplicación, puedes adquirir Knowunity Pro.
Sintexis de Lengua Castellana. Incluye las oraciones simples, los complementos y todas las oraciones compuestas
Sintexis de Lengua Castellana. Incluye las oraciones simples, los complementos y todas las oraciones compuestas
App Store
Google Play
La app es muy fácil de usar y está muy bien diseñada. Hasta ahora he encontrado todo lo que estaba buscando y he podido aprender mucho de las presentaciones. Definitivamente utilizaré la aplicación para un examen de clase. Y, por supuesto, también me sirve mucho de inspiración.
Pablo
usuario de iOS
Esta app es realmente genial. Hay tantos apuntes de clase y ayuda [...]. Tengo problemas con matemáticas, por ejemplo, y la aplicación tiene muchas opciones de ayuda. Gracias a Knowunity, he mejorado en mates. Se la recomiendo a todo el mundo.
Elena
usuaria de Android
Vaya, estoy realmente sorprendida. Acabo de probar la app porque la he visto anunciada muchas veces y me he quedado absolutamente alucinada. Esta app es LA AYUDA que quieres para el insti y, sobre todo, ofrece muchísimas cosas, como ejercicios y hojas informativas, que a mí personalmente me han sido MUY útiles.
Ana
usuaria de iOS
Está app es muy buena, tiene apuntes que son de mucha ayuda y su IA es fantástica, te explica a la perfección y muy fácil de entender lo que necesites, te ayuda con los deberes, te hace esquemas... en definitiva es una muy buena opción!
Sophia
usuario de Android
Me encanta!!! Me resuelve todo con detalle y me da la explicación correcta. Tiene un montón de funciones, ami me ha ido genial!! Os la recomiendo!!!
Marta
usuaria de Android
La uso casi diariamente, sirve para todas las asignaturas. Yo, por ejemplo la utilizo más en inglés porque se me da bastante mal, ¡Todas las respuestas están correctas! Consta con personas reales que suben sus apuntes y IA para que puedas hacer los deberes muchísimo más fácil, la recomiendo.
Izan
usuario de iOS
¡La app es buenísima! Sólo tengo que introducir el tema en la barra de búsqueda y recibo la respuesta muy rápido. No tengo que ver 10 vídeos de YouTube para entender algo, así que me ahorro tiempo. ¡Muy recomendable!
Sara
usuaria de Android
En el instituto era muy malo en matemáticas, pero gracias a la app, ahora saco mejores notas. Os agradezco mucho que hayáis creado la aplicación.
Roberto
usuario de Android
Esto no es como Chatgpt, es MUCHISMO MEJOR, te hace unos resúmenes espectaculares y gracias a esta app pase de sacar 5-6 a sacar 8-9.
Julyana
usuaria de Android
Es la mejor aplicación del mundo, la uso para revisar los deberes a mi hijo.
Javier
usuario de Android
LOS QUIZ Y FLASHCARDS SON SÚPER ÚTILES Y ME ENCANTA Knowunity IA. ADEMÁS ES LITERALMENTE COMO CHATGPT PERO MÁS LISTO!! ME AYUDÓ TAMBIÉN CON MIS PROBLEMAS DE MÁSCARA!! Y CON MIS ASIGNATURAS DE VERDAD! OBVIO 😍😁😲🤑💗✨🎀😮
Erick
usuario de Android
Me me encanta esta app, todo lo que tiene es de calidad ya que antes de ser publicado es revisado por un equipo de profesionales. Me ha ido genial esta aplicación ya que gracias a ella puedo estudiar mucho mejor, sin tener que agobiarme porque mi profesor no ha hecho teoría o porque no entiendo su teoría. Le doy un 10 de 10!
Mar
usuaria de iOS
La app es muy fácil de usar y está muy bien diseñada. Hasta ahora he encontrado todo lo que estaba buscando y he podido aprender mucho de las presentaciones. Definitivamente utilizaré la aplicación para un examen de clase. Y, por supuesto, también me sirve mucho de inspiración.
Pablo
usuario de iOS
Esta app es realmente genial. Hay tantos apuntes de clase y ayuda [...]. Tengo problemas con matemáticas, por ejemplo, y la aplicación tiene muchas opciones de ayuda. Gracias a Knowunity, he mejorado en mates. Se la recomiendo a todo el mundo.
Elena
usuaria de Android
Vaya, estoy realmente sorprendida. Acabo de probar la app porque la he visto anunciada muchas veces y me he quedado absolutamente alucinada. Esta app es LA AYUDA que quieres para el insti y, sobre todo, ofrece muchísimas cosas, como ejercicios y hojas informativas, que a mí personalmente me han sido MUY útiles.
Ana
usuaria de iOS
Está app es muy buena, tiene apuntes que son de mucha ayuda y su IA es fantástica, te explica a la perfección y muy fácil de entender lo que necesites, te ayuda con los deberes, te hace esquemas... en definitiva es una muy buena opción!
Sophia
usuario de Android
Me encanta!!! Me resuelve todo con detalle y me da la explicación correcta. Tiene un montón de funciones, ami me ha ido genial!! Os la recomiendo!!!
Marta
usuaria de Android
La uso casi diariamente, sirve para todas las asignaturas. Yo, por ejemplo la utilizo más en inglés porque se me da bastante mal, ¡Todas las respuestas están correctas! Consta con personas reales que suben sus apuntes y IA para que puedas hacer los deberes muchísimo más fácil, la recomiendo.
Izan
usuario de iOS
¡La app es buenísima! Sólo tengo que introducir el tema en la barra de búsqueda y recibo la respuesta muy rápido. No tengo que ver 10 vídeos de YouTube para entender algo, así que me ahorro tiempo. ¡Muy recomendable!
Sara
usuaria de Android
En el instituto era muy malo en matemáticas, pero gracias a la app, ahora saco mejores notas. Os agradezco mucho que hayáis creado la aplicación.
Roberto
usuario de Android
Esto no es como Chatgpt, es MUCHISMO MEJOR, te hace unos resúmenes espectaculares y gracias a esta app pase de sacar 5-6 a sacar 8-9.
Julyana
usuaria de Android
Es la mejor aplicación del mundo, la uso para revisar los deberes a mi hijo.
Javier
usuario de Android
LOS QUIZ Y FLASHCARDS SON SÚPER ÚTILES Y ME ENCANTA Knowunity IA. ADEMÁS ES LITERALMENTE COMO CHATGPT PERO MÁS LISTO!! ME AYUDÓ TAMBIÉN CON MIS PROBLEMAS DE MÁSCARA!! Y CON MIS ASIGNATURAS DE VERDAD! OBVIO 😍😁😲🤑💗✨🎀😮
Erick
usuario de Android
Me me encanta esta app, todo lo que tiene es de calidad ya que antes de ser publicado es revisado por un equipo de profesionales. Me ha ido genial esta aplicación ya que gracias a ella puedo estudiar mucho mejor, sin tener que agobiarme porque mi profesor no ha hecho teoría o porque no entiendo su teoría. Le doy un 10 de 10!
Mar
usuaria de iOS
Apuntes 2° Bachillerato
@apuntes2dobach
¿Alguna vez te has sentido atrapado en un ambiente que no va contigo? Carmen Martín Gaite capturó perfectamente esa sensación en "Entre visillos", una novela que retrata la España de posguerra a través de los ojos de jóvenes que buscan... Mostrar más

Acceso a todos los documentos
Mejora tus notas
Únete a millones de estudiantes
La posguerra española marca un antes y después en la literatura. La censura se convierte en una realidad que los escritores deben sortear, limitando especialmente la novela social que critica la situación del país.
Obras como La familia de Pascual Duarte (1942) y Nada (1945) abren el camino a una nueva forma de contar historias. En los años 50 surge con fuerza la novela social, destacando La colmena (1951) de Cela.
Dato clave: El realismo crítico y el objetivismo dominan esta época, usando técnicas como el personaje colectivo y la narración cinematográfica para mostrar la realidad social.
Autores como Ignacio Aldecoa, Ana María Matute y Carmen Martín Gaite se convierten en las voces de una generación que busca reflejar los problemas de su tiempo de manera sutil pero efectiva.
Nacida en Salamanca en 1925, Carmen crece en una familia liberal poco común para la época. Su padre la educa en casa, evitando la enseñanza católica predominante, lo que marca profundamente su forma de ver el mundo.
Estudia Filología Románica en Salamanca, donde descubre su pasión por escribir. En 1953 se une al grupo de la Revista Española, donde conoce a futuros grandes escritores como Rafael Sánchez Ferlosio, con quien se casa.
Su salto a la fama llega en 1957 con "Entre visillos", obra que le vale el prestigioso Premio Nadal. A partir de los 70, diversifica su trabajo hacia el ensayo y la investigación histórica.
Reconocimiento: En 1988 recibe el Premio Príncipe de Asturias, consolidándose como una de las voces más importantes de la literatura española.
Los años 90 la ven regresar a la novela con obras innovadoras, trabajando también en guiones televisivos hasta su muerte en Madrid en 2000.
La obra de Martín Gaite evoluciona a través de tres períodos claramente diferenciados que muestran su crecimiento artístico.
Realismo social (1954-1962): Utiliza un estilo objetivo para retratar la falta de libertad, especialmente femenina. El balneario (1954) y Entre visillos (1957) son sus obras más representativas de esta etapa.
Novela experimental (1962-1978): Introduce innovaciones narrativas como la ruptura temporal y la introspección psicológica. Destacan Ritmo lento (1963), Retahílas (1974) y El cuarto de atrás (1978).
Evolución creativa: La novela intimista (1990-2000) marca su regreso a un estilo más tradicional, centrado en la identidad personal y la comunicación.
Sus últimas obras, como Caperucita en Manhattan (1990) y Nubosidad variable (1992), muestran una madurez literaria excepcional que combina técnica y sensibilidad.
Entre visillos refleja magistralmente la represión de la posguerra en una ciudad de provincias que claramente evoca Salamanca. La novela se estructura en dos partes: la vida colectiva (11 capítulos) y los conflictos personales (7 capítulos).
La técnica narrativa combina una perspectiva múltiple con narrador externo y dos internos: Natalia y Pablo. Esta variedad de puntos de vista enriquece la historia y permite ver la realidad desde diferentes ángulos.
Los personajes principales son jóvenes que luchan contra la monotonía de la posguerra. Pablo Klein, el forastero crítico, y Natalia, la chica inconformista, representan la búsqueda de libertad frente a las convenciones sociales.
Simbolismo espacial: El contraste entre espacios cerrados (represión) y abiertos (deseo de libertad) refuerza temáticamente la sensación de ahogo social.

Acceso a todos los documentos
Mejora tus notas
Únete a millones de estudiantes
La acción transcurre entre septiembre y diciembre en un contexto de posguerra con referencias sutiles al franquismo. Este marco temporal refuerza la sensación de estancamiento que viven los personajes.
El contraste espacial es fundamental: los espacios cerrados simbolizan la represión social, mientras que los abiertos representan el anhelo de libertad. Los visillos del título funcionan como metáfora de las barreras sociales que limitan especialmente a las mujeres.
Martín Gaite logra combinar profundidad literaria con comunicación accesible, creando una obra compleja pero comprensible. Su conciencia social y estilo sólido garantizan que la novela trascienda su época histórica.
Relevancia actual: Los temas de Entre visillos siguen siendo actuales: la búsqueda de identidad, la presión social y el deseo de libertad personal.
La novela arranca con Natalia escribiendo en su diario sobre su amiga Gertru, quien ha dejado los estudios por presión de su novio Ángel. Esta situación ya anticipa uno de los temas centrales: la limitación de las oportunidades femeninas.
Pablo Klein llega a Salamanca desde San Sebastián como profesor de alemán, pero descubre que el director del instituto ha fallecido. Su perspectiva de forastero le permite observar críticamente la sociedad provinciana.
Goyita, la chica de rosa, se siente inferior por sus experiencias veraniegas limitadas. Su búsqueda de Toñuca y su inquietud por Manolo Torre revelan las inseguridades de una generación que busca su lugar en el mundo.
Técnica narrativa: Cada personaje presenta su punto de vista, creando un mosaico de perspectivas que enriquece la comprensión de la realidad social.
Pablo visita la casa del difunto director y conoce a Elvira, quien se siente atrapada tanto en casa como en la ciudad. También conoce a Teo, hermano de Elvira, y a Emilio, un joven aspirante a poeta que simboliza las inquietudes intelectuales de la época.
Natalia es convencida por Gertru para ir al Casino, donde conoce a Manolo Torre. Su rechazo a los coqueteos de Manolo muestra su carácter independiente y su incomodidad con los roles sociales esperados.
La escena donde Pablo ayuda a Rosa, la cantante del Casino, revela su lado compasivo y marca el inicio de una relación que contrasta con las convenciones sociales de la época.
Ambiente social: El Casino representa el espacio de ocio burgués donde se reproducen y cuestionan las normas sociales establecidas.
Julia vive un conflicto entre sus impulsos naturales y la moral religiosa, confesándose con el padre Luis sobre sus pensamientos "impuros" hacia Miguel. Su encuentro sorpresa con él junto al río simboliza la tensión entre deseo y represión.
Pablo recibe una carta de Elvira confesando su interés, pero él duda sobre cómo reaccionar. Su relación con Rosa se intensifica hasta una despedida emotiva que marca su primera experiencia real en la ciudad.
El encuentro final entre Pablo y Elvira junto al río culmina en un beso apasionado que ella luego rechaza, exigiendo silencio. Esta situación refleja las contradicciones de una sociedad que reprime los sentimientos auténticos.
Simbolismo del río: El espacio natural del río representa la libertad emocional frente a los espacios urbanos represivos.

Acceso a todos los documentos
Mejora tus notas
Únete a millones de estudiantes
La segunda parte intensifica los conflictos personales con la pelea entre Gertru y Ángel por un malentendido sobre un bocadillo. Esta escena aparentemente trivial revela la tensión machista en las relaciones de pareja.
La fiesta en casa de Yoni se convierte en el escenario donde explotan las tensiones acumuladas. Los jóvenes se comportan de manera más desinhibida, pero surgen conflictos que evidencian las contradicciones sociales.
Mercedes y Julia se pelean por Federico, mientras Gertru y Ángel discuten sobre los estudios de ella. Ángel insiste en que Gertru debe centrarse en ser "una buena ama de casa", reflejando las limitaciones impuestas a las mujeres.
Tensión generacional: La fiesta representa el choque entre las aspiraciones juveniles y las expectativas sociales tradicionales.
Natalia regresa al instituto tras una enfermedad y se encuentra con Pablo Klein, su profesor de alemán. Él se sorprende por su falta de ambición académica, influenciada por la oposición paterna a que estudie una carrera.
El encuentro entre Natalia y Pablo en un café marca un punto de inflexión. Aunque ella se excusa, la invitación representa una puerta hacia un mundo de posibilidades que su entorno familiar rechaza.
Elvira se debate entre las expectativas de sus amigas, que sueñan con casarse con Emilio, y sus propios deseos. Su rechazo inicial a Emilio, seguido de su sorpresiva decisión de casarse, muestra las contradicciones femeninas de la época.
Reflexión educativa: El contraste entre las aspiraciones de Natalia y las limitaciones familiares ilustra la frustración de una generación de mujeres inteligentes sin oportunidades.
Natalia describe las tensiones en su hogar, donde su tía Concha la controla severamente. A pesar de las presiones familiares, encuentra consuelo en su amistad con Alicia y comienza a cuestionar seriamente su futuro.
La boda de Gertru con Ángel se organiza rápidamente con la llegada de la madre de él desde Argentina. Natalia se siente incómoda en el evento, rodeada de mujeres que hablan superficialmente sobre matrimonio y familia.
Pablo decide abandonar Salamanca tras sentirse cada vez más desconectado de la vida provinciana. En su despedida, se encuentra con Julia, que se va a Madrid con su novio, y con Natalia, quien enfrenta sus propios dilemas sobre el futuro.
Final simbólico: Pablo observa a Natalia llorando mientras el tren se aleja, simbolizando las oportunidades perdidas y los sueños frustrados por las limitaciones sociales.

Acceso a todos los documentos
Mejora tus notas
Únete a millones de estudiantes

Acceso a todos los documentos
Mejora tus notas
Únete a millones de estudiantes

Acceso a todos los documentos
Mejora tus notas
Únete a millones de estudiantes
Nuestro compañero de IA está específicamente adaptado a las necesidades de los estudiantes. Basándonos en los millones de contenidos que tenemos en la plataforma, podemos dar a los estudiantes respuestas realmente significativas y relevantes. Pero no se trata solo de respuestas, el compañero también guía a los estudiantes a través de sus retos de aprendizaje diarios, con planes de aprendizaje personalizados, cuestionarios o contenidos en el chat y una personalización del 100% basada en las habilidades y el desarrollo de los estudiantes.
Puedes descargar la app en Google Play Store y Apple App Store.
Sí, tienes acceso gratuito a los contenidos de la aplicación y a nuestro compañero de IA. Para desbloquear determinadas funciones de la aplicación, puedes adquirir Knowunity Pro.
8
Herramientas Inteligentes NUEVO
Transforma estos apuntes en: ✓ 50+ Preguntas de Práctica ✓ Flashcards Interactivas ✓ Examen Completo de Práctica ✓ Esquemas de Ensayo
Sintexis de Lengua Castellana. Incluye las oraciones simples, los complementos y todas las oraciones compuestas
Sintexis de Lengua Castellana. Incluye las oraciones simples, los complementos y todas las oraciones compuestas
App Store
Google Play
La app es muy fácil de usar y está muy bien diseñada. Hasta ahora he encontrado todo lo que estaba buscando y he podido aprender mucho de las presentaciones. Definitivamente utilizaré la aplicación para un examen de clase. Y, por supuesto, también me sirve mucho de inspiración.
Pablo
usuario de iOS
Esta app es realmente genial. Hay tantos apuntes de clase y ayuda [...]. Tengo problemas con matemáticas, por ejemplo, y la aplicación tiene muchas opciones de ayuda. Gracias a Knowunity, he mejorado en mates. Se la recomiendo a todo el mundo.
Elena
usuaria de Android
Vaya, estoy realmente sorprendida. Acabo de probar la app porque la he visto anunciada muchas veces y me he quedado absolutamente alucinada. Esta app es LA AYUDA que quieres para el insti y, sobre todo, ofrece muchísimas cosas, como ejercicios y hojas informativas, que a mí personalmente me han sido MUY útiles.
Ana
usuaria de iOS
Está app es muy buena, tiene apuntes que son de mucha ayuda y su IA es fantástica, te explica a la perfección y muy fácil de entender lo que necesites, te ayuda con los deberes, te hace esquemas... en definitiva es una muy buena opción!
Sophia
usuario de Android
Me encanta!!! Me resuelve todo con detalle y me da la explicación correcta. Tiene un montón de funciones, ami me ha ido genial!! Os la recomiendo!!!
Marta
usuaria de Android
La uso casi diariamente, sirve para todas las asignaturas. Yo, por ejemplo la utilizo más en inglés porque se me da bastante mal, ¡Todas las respuestas están correctas! Consta con personas reales que suben sus apuntes y IA para que puedas hacer los deberes muchísimo más fácil, la recomiendo.
Izan
usuario de iOS
¡La app es buenísima! Sólo tengo que introducir el tema en la barra de búsqueda y recibo la respuesta muy rápido. No tengo que ver 10 vídeos de YouTube para entender algo, así que me ahorro tiempo. ¡Muy recomendable!
Sara
usuaria de Android
En el instituto era muy malo en matemáticas, pero gracias a la app, ahora saco mejores notas. Os agradezco mucho que hayáis creado la aplicación.
Roberto
usuario de Android
Esto no es como Chatgpt, es MUCHISMO MEJOR, te hace unos resúmenes espectaculares y gracias a esta app pase de sacar 5-6 a sacar 8-9.
Julyana
usuaria de Android
Es la mejor aplicación del mundo, la uso para revisar los deberes a mi hijo.
Javier
usuario de Android
LOS QUIZ Y FLASHCARDS SON SÚPER ÚTILES Y ME ENCANTA Knowunity IA. ADEMÁS ES LITERALMENTE COMO CHATGPT PERO MÁS LISTO!! ME AYUDÓ TAMBIÉN CON MIS PROBLEMAS DE MÁSCARA!! Y CON MIS ASIGNATURAS DE VERDAD! OBVIO 😍😁😲🤑💗✨🎀😮
Erick
usuario de Android
Me me encanta esta app, todo lo que tiene es de calidad ya que antes de ser publicado es revisado por un equipo de profesionales. Me ha ido genial esta aplicación ya que gracias a ella puedo estudiar mucho mejor, sin tener que agobiarme porque mi profesor no ha hecho teoría o porque no entiendo su teoría. Le doy un 10 de 10!
Mar
usuaria de iOS
La app es muy fácil de usar y está muy bien diseñada. Hasta ahora he encontrado todo lo que estaba buscando y he podido aprender mucho de las presentaciones. Definitivamente utilizaré la aplicación para un examen de clase. Y, por supuesto, también me sirve mucho de inspiración.
Pablo
usuario de iOS
Esta app es realmente genial. Hay tantos apuntes de clase y ayuda [...]. Tengo problemas con matemáticas, por ejemplo, y la aplicación tiene muchas opciones de ayuda. Gracias a Knowunity, he mejorado en mates. Se la recomiendo a todo el mundo.
Elena
usuaria de Android
Vaya, estoy realmente sorprendida. Acabo de probar la app porque la he visto anunciada muchas veces y me he quedado absolutamente alucinada. Esta app es LA AYUDA que quieres para el insti y, sobre todo, ofrece muchísimas cosas, como ejercicios y hojas informativas, que a mí personalmente me han sido MUY útiles.
Ana
usuaria de iOS
Está app es muy buena, tiene apuntes que son de mucha ayuda y su IA es fantástica, te explica a la perfección y muy fácil de entender lo que necesites, te ayuda con los deberes, te hace esquemas... en definitiva es una muy buena opción!
Sophia
usuario de Android
Me encanta!!! Me resuelve todo con detalle y me da la explicación correcta. Tiene un montón de funciones, ami me ha ido genial!! Os la recomiendo!!!
Marta
usuaria de Android
La uso casi diariamente, sirve para todas las asignaturas. Yo, por ejemplo la utilizo más en inglés porque se me da bastante mal, ¡Todas las respuestas están correctas! Consta con personas reales que suben sus apuntes y IA para que puedas hacer los deberes muchísimo más fácil, la recomiendo.
Izan
usuario de iOS
¡La app es buenísima! Sólo tengo que introducir el tema en la barra de búsqueda y recibo la respuesta muy rápido. No tengo que ver 10 vídeos de YouTube para entender algo, así que me ahorro tiempo. ¡Muy recomendable!
Sara
usuaria de Android
En el instituto era muy malo en matemáticas, pero gracias a la app, ahora saco mejores notas. Os agradezco mucho que hayáis creado la aplicación.
Roberto
usuario de Android
Esto no es como Chatgpt, es MUCHISMO MEJOR, te hace unos resúmenes espectaculares y gracias a esta app pase de sacar 5-6 a sacar 8-9.
Julyana
usuaria de Android
Es la mejor aplicación del mundo, la uso para revisar los deberes a mi hijo.
Javier
usuario de Android
LOS QUIZ Y FLASHCARDS SON SÚPER ÚTILES Y ME ENCANTA Knowunity IA. ADEMÁS ES LITERALMENTE COMO CHATGPT PERO MÁS LISTO!! ME AYUDÓ TAMBIÉN CON MIS PROBLEMAS DE MÁSCARA!! Y CON MIS ASIGNATURAS DE VERDAD! OBVIO 😍😁😲🤑💗✨🎀😮
Erick
usuario de Android
Me me encanta esta app, todo lo que tiene es de calidad ya que antes de ser publicado es revisado por un equipo de profesionales. Me ha ido genial esta aplicación ya que gracias a ella puedo estudiar mucho mejor, sin tener que agobiarme porque mi profesor no ha hecho teoría o porque no entiendo su teoría. Le doy un 10 de 10!
Mar
usuaria de iOS