¿Te has preguntado por qué algunos elementos son mejores conductores... Mostrar más
Inscríbete para ver los apuntes¡Es gratis!
Acceso a todos los documentos
Mejora tus notas
Únete a millones de estudiantes
Knowunity AI
Asignaturas
Triangle Congruence and Similarity Theorems
Triangle Properties and Classification
Linear Equations and Graphs
Geometric Angle Relationships
Trigonometric Functions and Identities
Equation Solving Techniques
Circle Geometry Fundamentals
Division Operations and Methods
Basic Differentiation Rules
Exponent and Logarithm Properties
Mostrar todos los temas
Human Organ Systems
Reproductive Cell Cycles
Biological Sciences Subdisciplines
Cellular Energy Metabolism
Autotrophic Energy Processes
Inheritance Patterns and Principles
Biomolecular Structure and Organization
Cell Cycle and Division Mechanics
Cellular Organization and Development
Biological Structural Organization
Mostrar todos los temas
Chemical Sciences and Applications
Atomic Structure and Composition
Molecular Electron Structure Representation
Atomic Electron Behavior
Matter Properties and Water
Mole Concept and Calculations
Gas Laws and Behavior
Periodic Table Organization
Chemical Thermodynamics Fundamentals
Chemical Bond Types and Properties
Mostrar todos los temas
European Renaissance and Enlightenment
European Cultural Movements 800-1920
American Revolution Era 1763-1797
American Civil War 1861-1865
Global Imperial Systems
Mongol and Chinese Dynasties
U.S. Presidents and World Leaders
Historical Sources and Documentation
World Wars Era and Impact
World Religious Systems
Mostrar todos los temas
Classic and Contemporary Novels
Literary Character Analysis
Rhetorical Theory and Practice
Classic Literary Narratives
Reading Analysis and Interpretation
Narrative Structure and Techniques
English Language Components
Influential English-Language Authors
Basic Sentence Structure
Narrative Voice and Perspective
Mostrar todos los temas
1,300
•
Actualizado Mar 21, 2026
•
Laura picas
@laurapicas
¿Te has preguntado por qué algunos elementos son mejores conductores... Mostrar más











Los átomos no tienen un tamaño exacto definido, pero podemos medir su radio atómico considerando la región donde hay 90% de probabilidad de encontrar los electrones. Imagínate que es como medir el "alcance" de un átomo.
En un grupo (columna vertical), el radio atómico aumenta hacia abajo. Esto ocurre porque se añaden más capas de electrones, como si fueran capas de una cebolla. Además, los electrones de las capas internas hacen efecto de apantallamiento, reduciendo la atracción del núcleo sobre los electrones externos.
En un periodo (fila horizontal), el radio atómico disminuye hacia la derecha. Aunque los electrones están en la misma capa, el núcleo tiene cada vez más protones, creando mayor atracción y "encogiendo" el átomo.
¡Truco de memoria! Piensa en el radio como la distancia del centro a la "superficie" del átomo - más capas = mayor distancia, más protones = mayor atracción hacia adentro.

El radio iónico cambia cuando un átomo gana o pierde electrones. Los cationes (iones positivos) son más pequeños que sus átomos originales porque tienen menos electrones compitiendo por el espacio. Los aniones (iones negativos) son más grandes porque los electrones adicionales se repelen entre sí.
La energía de ionización es la energía que necesitas para "arrancar" un electrón a un átomo gaseoso. Es como medir qué tan fuerte agarrado está el electrón.
En un grupo, la energía de ionización disminuye hacia abajo. Los electrones externos están más lejos del núcleo y menos atraídos, así que es más fácil quitarlos.
En un periodo, la energía de ionización aumenta hacia la derecha. Más protones en el núcleo significan mayor atracción, haciendo más difícil arrancar electrones.
¡Recuerda! Los gases nobles tienen energías de ionización altísimas porque ya tienen configuración estable - no quieren perder electrones.

La afinidad electrónica mide cuánta energía se libera cuando un átomo gana un electrón. Los no metales suelen liberar más energía porque "quieren" ese electrón extra para ser estables.
La electronegatividad es la tendencia de un átomo a atraer hacia sí los electrones compartidos en un enlace. El flúor es el elemento más electronegativo (el más "egoísta" con los electrones), mientras que el francio es el menos electronegativo.
El carácter metálico es la tendencia a perder electrones fácilmente. Aumenta hacia la izquierda y hacia abajo en la tabla periódica. Los metales son como los "donantes generosos" de electrones, mientras que los no metales son los "receptores ávidos".
¡Conexión práctica! La electronegatividad explica por qué algunos compuestos son polares - los átomos más electronegativos "roban" más la atención de los electrones.

Vamos a aplicar lo aprendido con ejemplos reales. Dados los elementos F, S, Cl, K y Ca, puedes predecir sus propiedades usando las tendencias periódicas.
El más electronegativo es el flúor (F) porque está en la esquina superior derecha de la tabla periódica. Tiene pocas capas y mucha carga nuclear, por lo que atrae fuertemente los electrones.
El de menor energía de ionización es el potasio (K). Tiene más capas que el calcio y sus electrones externos están menos atraídos por el núcleo. Es más fácil quitarle un electrón.
El azufre (S) puede formar un anión divalente estable (S²⁻) porque le faltan exactamente 2 electrones para completar su capa externa y alcanzar la configuración de gas noble.
¡Tip de examen! Siempre identifica primero la posición en la tabla periódica - te dará pistas inmediatas sobre las propiedades del elemento.

Cuando comparamos iones isoelectrónicos (que tienen el mismo número de electrones), el que tenga más protones tendrá menor radio. Es como si hubiera más "tirón" hacia el centro.
Para el cloro y el calcio , sus iones más estables son Cl⁻ y Ca²⁺ respectivamente. Ambos iones tienen la misma configuración electrónica, pero el Ca²⁺ tiene más protones en el núcleo.
Por tanto, el ion Cl⁻ tiene mayor radio iónico que Ca²⁺. El calcio "aprieta" más fuerte a sus electrones debido a su mayor carga nuclear.
Esta comparación es súper útil para entender por qué ciertos iones son mejores en aplicaciones específicas - el tamaño importa en química.
¡Concepto clave! Los iones isoelectrónicos te permiten ver el efecto "puro" de la carga nuclear sin que interfiera el número de electrones.

Los metales de transición se caracterizan por tener electrones en orbitales d. Esto les da propiedades especiales como formar compuestos coloridos y tener múltiples estados de oxidación.
El hierro (II) tiene configuración [Ar] 3d⁶ después de perder 2 electrones. Este estado de oxidación existe porque es relativamente fácil quitar los 2 electrones del orbital 4s.
Los orbitales f pueden tener hasta 7 orientaciones diferentes en el espacio, por eso existen siete clases. Cada orientación puede albergar 2 electrones, dando un total de 14 electrones máximo en los orbitales f.
Comparando tamaños iónicos: un anión siempre es mayor que su átomo neutro , mientras que un catión siempre es menor .
¡Dato curioso! Los metales de transición son los responsables de los colores vibrantes en muchos minerales y compuestos químicos.

Las energías de ionización sucesivas siempre aumentan porque cada vez es más difícil quitar un electrón. Es como intentar quitar capas de una cebolla - cada capa está más "pegada" que la anterior.
Para el neón (configuración completa) vs sodio (un electrón extra), el neón necesita mucha más energía para perder su primer electrón porque tiene configuración estable de gas noble.
La segunda energía de ionización del helio será mayor que la primera del hidrógeno porque estás quitando un electrón a un ion He⁺ que ya tiene carga positiva, creando más atracción.
El magnesio muestra un patrón típico: su segunda energía de ionización es mayor que la primera, pero no tanto como sería para el sodio, porque el Mg "quiere" perder 2 electrones para ser estable.
¡Estrategia de resolución! Siempre considera si el ion resultante tendrá configuración de gas noble - esos son especialmente estables.

Las especies isoelectrónicas tienen el mismo número de electrones total. Por ejemplo, Cl⁻, Ca²⁺ y K⁺ todos tienen 18 electrones y la configuración [Ar].
Entre especies isoelectrónicas, el orden de tamaño se determina por la carga nuclear: más protones = menor radio. Así, Cl⁻ > K⁺ > Ca²⁺ en tamaño.
Para elementos en el mismo periodo como Na y Mg, el magnesio tiene mayor primera energía de ionización porque tiene más carga nuclear. Sin embargo, la segunda energía de ionización es mayor para el sodio porque significaría romper una configuración estable de gas noble.
Estas comparaciones te ayudan a predecir qué elementos formarán ciertos tipos de enlaces y compuestos.
¡Patrón importante! Los saltos grandes en energías de ionización sucesivas te indican dónde están los electrones de valencia vs los de core.

Conociendo el número atómico, puedes escribir la configuración electrónica y predecir las propiedades. El flúor es el más electronegativo por estar casi en la esquina superior derecha.
Los elementos del grupo 1 terminan en s¹, como el sodio. Son metales alcalinos que pierden fácilmente su electrón de valencia.
Los gases nobles terminan en configuraciones s²p⁶ (excepto el helio que es solo s²). Son estables y raramente forman compuestos.
Identificar el grupo y periodo de un elemento por su configuración electrónica es una habilidad fundamental que te servirá en toda la química.
¡Método rápido! La configuración electrónica del último orbital te dice inmediatamente a qué grupo pertenece el elemento.

Combinando todos los conceptos, puedes resolver problemas complejos. Al comparar Mg, Si y Cl, el magnesio tiene mayor radio porque está más a la izquierda en el periodo.
Entre Mg, Si, Cl y Rb, el cloro tiene mayor energía de ionización. Aunque el Mg también es pequeño, el Cl está más a la derecha en su periodo y tiene mayor atracción nuclear efectiva.
Los iones estables siguen reglas predecibles: los metales forman cationes (Mg²⁺) y los no metales forman aniones, pero solo hasta completar su octeto.
Dominar estas tendencias te permite predecir el comportamiento químico sin memorizar cada elemento individualmente.
¡Consejo final! Practica identificando patrones en grupos de elementos - las tendencias periódicas son tu mejor herramienta predictiva en química.
Nuestro compañero de IA está específicamente adaptado a las necesidades de los estudiantes. Basándonos en los millones de contenidos que tenemos en la plataforma, podemos dar a los estudiantes respuestas realmente significativas y relevantes. Pero no se trata solo de respuestas, el compañero también guía a los estudiantes a través de sus retos de aprendizaje diarios, con planes de aprendizaje personalizados, cuestionarios o contenidos en el chat y una personalización del 100% basada en las habilidades y el desarrollo de los estudiantes.
Puedes descargar la app en Google Play Store y Apple App Store.
Sí, tienes acceso gratuito a los contenidos de la aplicación y a nuestro compañero de IA. Para desbloquear determinadas funciones de la aplicación, puedes adquirir Knowunity Pro.
apuntes
Elementos de la tabla periódica
Sintexis de Lengua Castellana. Incluye las oraciones simples, los complementos y todas las oraciones compuestas
App Store
Google Play
La app es muy fácil de usar y está muy bien diseñada. Hasta ahora he encontrado todo lo que estaba buscando y he podido aprender mucho de las presentaciones. Definitivamente utilizaré la aplicación para un examen de clase. Y, por supuesto, también me sirve mucho de inspiración.
Pablo
usuario de iOS
Esta app es realmente genial. Hay tantos apuntes de clase y ayuda [...]. Tengo problemas con matemáticas, por ejemplo, y la aplicación tiene muchas opciones de ayuda. Gracias a Knowunity, he mejorado en mates. Se la recomiendo a todo el mundo.
Elena
usuaria de Android
Vaya, estoy realmente sorprendida. Acabo de probar la app porque la he visto anunciada muchas veces y me he quedado absolutamente alucinada. Esta app es LA AYUDA que quieres para el insti y, sobre todo, ofrece muchísimas cosas, como ejercicios y hojas informativas, que a mí personalmente me han sido MUY útiles.
Ana
usuaria de iOS
Está app es muy buena, tiene apuntes que son de mucha ayuda y su IA es fantástica, te explica a la perfección y muy fácil de entender lo que necesites, te ayuda con los deberes, te hace esquemas... en definitiva es una muy buena opción!
Sophia
usuario de Android
Me encanta!!! Me resuelve todo con detalle y me da la explicación correcta. Tiene un montón de funciones, ami me ha ido genial!! Os la recomiendo!!!
Marta
usuaria de Android
La uso casi diariamente, sirve para todas las asignaturas. Yo, por ejemplo la utilizo más en inglés porque se me da bastante mal, ¡Todas las respuestas están correctas! Consta con personas reales que suben sus apuntes y IA para que puedas hacer los deberes muchísimo más fácil, la recomiendo.
Izan
usuario de iOS
¡La app es buenísima! Sólo tengo que introducir el tema en la barra de búsqueda y recibo la respuesta muy rápido. No tengo que ver 10 vídeos de YouTube para entender algo, así que me ahorro tiempo. ¡Muy recomendable!
Sara
usuaria de Android
En el instituto era muy malo en matemáticas, pero gracias a la app, ahora saco mejores notas. Os agradezco mucho que hayáis creado la aplicación.
Roberto
usuario de Android
Esto no es como Chatgpt, es MUCHISMO MEJOR, te hace unos resúmenes espectaculares y gracias a esta app pase de sacar 5-6 a sacar 8-9.
Julyana
usuaria de Android
Es la mejor aplicación del mundo, la uso para revisar los deberes a mi hijo.
Javier
usuario de Android
LOS QUIZ Y FLASHCARDS SON SÚPER ÚTILES Y ME ENCANTA Knowunity IA. ADEMÁS ES LITERALMENTE COMO CHATGPT PERO MÁS LISTO!! ME AYUDÓ TAMBIÉN CON MIS PROBLEMAS DE MÁSCARA!! Y CON MIS ASIGNATURAS DE VERDAD! OBVIO 😍😁😲🤑💗✨🎀😮
Erick
usuario de Android
Me me encanta esta app, todo lo que tiene es de calidad ya que antes de ser publicado es revisado por un equipo de profesionales. Me ha ido genial esta aplicación ya que gracias a ella puedo estudiar mucho mejor, sin tener que agobiarme porque mi profesor no ha hecho teoría o porque no entiendo su teoría. Le doy un 10 de 10!
Mar
usuaria de iOS
La app es muy fácil de usar y está muy bien diseñada. Hasta ahora he encontrado todo lo que estaba buscando y he podido aprender mucho de las presentaciones. Definitivamente utilizaré la aplicación para un examen de clase. Y, por supuesto, también me sirve mucho de inspiración.
Pablo
usuario de iOS
Esta app es realmente genial. Hay tantos apuntes de clase y ayuda [...]. Tengo problemas con matemáticas, por ejemplo, y la aplicación tiene muchas opciones de ayuda. Gracias a Knowunity, he mejorado en mates. Se la recomiendo a todo el mundo.
Elena
usuaria de Android
Vaya, estoy realmente sorprendida. Acabo de probar la app porque la he visto anunciada muchas veces y me he quedado absolutamente alucinada. Esta app es LA AYUDA que quieres para el insti y, sobre todo, ofrece muchísimas cosas, como ejercicios y hojas informativas, que a mí personalmente me han sido MUY útiles.
Ana
usuaria de iOS
Está app es muy buena, tiene apuntes que son de mucha ayuda y su IA es fantástica, te explica a la perfección y muy fácil de entender lo que necesites, te ayuda con los deberes, te hace esquemas... en definitiva es una muy buena opción!
Sophia
usuario de Android
Me encanta!!! Me resuelve todo con detalle y me da la explicación correcta. Tiene un montón de funciones, ami me ha ido genial!! Os la recomiendo!!!
Marta
usuaria de Android
La uso casi diariamente, sirve para todas las asignaturas. Yo, por ejemplo la utilizo más en inglés porque se me da bastante mal, ¡Todas las respuestas están correctas! Consta con personas reales que suben sus apuntes y IA para que puedas hacer los deberes muchísimo más fácil, la recomiendo.
Izan
usuario de iOS
¡La app es buenísima! Sólo tengo que introducir el tema en la barra de búsqueda y recibo la respuesta muy rápido. No tengo que ver 10 vídeos de YouTube para entender algo, así que me ahorro tiempo. ¡Muy recomendable!
Sara
usuaria de Android
En el instituto era muy malo en matemáticas, pero gracias a la app, ahora saco mejores notas. Os agradezco mucho que hayáis creado la aplicación.
Roberto
usuario de Android
Esto no es como Chatgpt, es MUCHISMO MEJOR, te hace unos resúmenes espectaculares y gracias a esta app pase de sacar 5-6 a sacar 8-9.
Julyana
usuaria de Android
Es la mejor aplicación del mundo, la uso para revisar los deberes a mi hijo.
Javier
usuario de Android
LOS QUIZ Y FLASHCARDS SON SÚPER ÚTILES Y ME ENCANTA Knowunity IA. ADEMÁS ES LITERALMENTE COMO CHATGPT PERO MÁS LISTO!! ME AYUDÓ TAMBIÉN CON MIS PROBLEMAS DE MÁSCARA!! Y CON MIS ASIGNATURAS DE VERDAD! OBVIO 😍😁😲🤑💗✨🎀😮
Erick
usuario de Android
Me me encanta esta app, todo lo que tiene es de calidad ya que antes de ser publicado es revisado por un equipo de profesionales. Me ha ido genial esta aplicación ya que gracias a ella puedo estudiar mucho mejor, sin tener que agobiarme porque mi profesor no ha hecho teoría o porque no entiendo su teoría. Le doy un 10 de 10!
Mar
usuaria de iOS
Laura picas
@laurapicas
¿Te has preguntado por qué algunos elementos son mejores conductores que otros o por qué ciertos átomos se combinan fácilmente? Las propiedades periódicasson las características que varían de forma predecible en la tabla periódica. Entenderlas te ayudará a predecir... Mostrar más

Acceso a todos los documentos
Mejora tus notas
Únete a millones de estudiantes
Los átomos no tienen un tamaño exacto definido, pero podemos medir su radio atómico considerando la región donde hay 90% de probabilidad de encontrar los electrones. Imagínate que es como medir el "alcance" de un átomo.
En un grupo (columna vertical), el radio atómico aumenta hacia abajo. Esto ocurre porque se añaden más capas de electrones, como si fueran capas de una cebolla. Además, los electrones de las capas internas hacen efecto de apantallamiento, reduciendo la atracción del núcleo sobre los electrones externos.
En un periodo (fila horizontal), el radio atómico disminuye hacia la derecha. Aunque los electrones están en la misma capa, el núcleo tiene cada vez más protones, creando mayor atracción y "encogiendo" el átomo.
¡Truco de memoria! Piensa en el radio como la distancia del centro a la "superficie" del átomo - más capas = mayor distancia, más protones = mayor atracción hacia adentro.

Acceso a todos los documentos
Mejora tus notas
Únete a millones de estudiantes
El radio iónico cambia cuando un átomo gana o pierde electrones. Los cationes (iones positivos) son más pequeños que sus átomos originales porque tienen menos electrones compitiendo por el espacio. Los aniones (iones negativos) son más grandes porque los electrones adicionales se repelen entre sí.
La energía de ionización es la energía que necesitas para "arrancar" un electrón a un átomo gaseoso. Es como medir qué tan fuerte agarrado está el electrón.
En un grupo, la energía de ionización disminuye hacia abajo. Los electrones externos están más lejos del núcleo y menos atraídos, así que es más fácil quitarlos.
En un periodo, la energía de ionización aumenta hacia la derecha. Más protones en el núcleo significan mayor atracción, haciendo más difícil arrancar electrones.
¡Recuerda! Los gases nobles tienen energías de ionización altísimas porque ya tienen configuración estable - no quieren perder electrones.

Acceso a todos los documentos
Mejora tus notas
Únete a millones de estudiantes
La afinidad electrónica mide cuánta energía se libera cuando un átomo gana un electrón. Los no metales suelen liberar más energía porque "quieren" ese electrón extra para ser estables.
La electronegatividad es la tendencia de un átomo a atraer hacia sí los electrones compartidos en un enlace. El flúor es el elemento más electronegativo (el más "egoísta" con los electrones), mientras que el francio es el menos electronegativo.
El carácter metálico es la tendencia a perder electrones fácilmente. Aumenta hacia la izquierda y hacia abajo en la tabla periódica. Los metales son como los "donantes generosos" de electrones, mientras que los no metales son los "receptores ávidos".
¡Conexión práctica! La electronegatividad explica por qué algunos compuestos son polares - los átomos más electronegativos "roban" más la atención de los electrones.

Acceso a todos los documentos
Mejora tus notas
Únete a millones de estudiantes
Vamos a aplicar lo aprendido con ejemplos reales. Dados los elementos F, S, Cl, K y Ca, puedes predecir sus propiedades usando las tendencias periódicas.
El más electronegativo es el flúor (F) porque está en la esquina superior derecha de la tabla periódica. Tiene pocas capas y mucha carga nuclear, por lo que atrae fuertemente los electrones.
El de menor energía de ionización es el potasio (K). Tiene más capas que el calcio y sus electrones externos están menos atraídos por el núcleo. Es más fácil quitarle un electrón.
El azufre (S) puede formar un anión divalente estable (S²⁻) porque le faltan exactamente 2 electrones para completar su capa externa y alcanzar la configuración de gas noble.
¡Tip de examen! Siempre identifica primero la posición en la tabla periódica - te dará pistas inmediatas sobre las propiedades del elemento.

Acceso a todos los documentos
Mejora tus notas
Únete a millones de estudiantes
Cuando comparamos iones isoelectrónicos (que tienen el mismo número de electrones), el que tenga más protones tendrá menor radio. Es como si hubiera más "tirón" hacia el centro.
Para el cloro y el calcio , sus iones más estables son Cl⁻ y Ca²⁺ respectivamente. Ambos iones tienen la misma configuración electrónica, pero el Ca²⁺ tiene más protones en el núcleo.
Por tanto, el ion Cl⁻ tiene mayor radio iónico que Ca²⁺. El calcio "aprieta" más fuerte a sus electrones debido a su mayor carga nuclear.
Esta comparación es súper útil para entender por qué ciertos iones son mejores en aplicaciones específicas - el tamaño importa en química.
¡Concepto clave! Los iones isoelectrónicos te permiten ver el efecto "puro" de la carga nuclear sin que interfiera el número de electrones.

Acceso a todos los documentos
Mejora tus notas
Únete a millones de estudiantes
Los metales de transición se caracterizan por tener electrones en orbitales d. Esto les da propiedades especiales como formar compuestos coloridos y tener múltiples estados de oxidación.
El hierro (II) tiene configuración [Ar] 3d⁶ después de perder 2 electrones. Este estado de oxidación existe porque es relativamente fácil quitar los 2 electrones del orbital 4s.
Los orbitales f pueden tener hasta 7 orientaciones diferentes en el espacio, por eso existen siete clases. Cada orientación puede albergar 2 electrones, dando un total de 14 electrones máximo en los orbitales f.
Comparando tamaños iónicos: un anión siempre es mayor que su átomo neutro , mientras que un catión siempre es menor .
¡Dato curioso! Los metales de transición son los responsables de los colores vibrantes en muchos minerales y compuestos químicos.

Acceso a todos los documentos
Mejora tus notas
Únete a millones de estudiantes
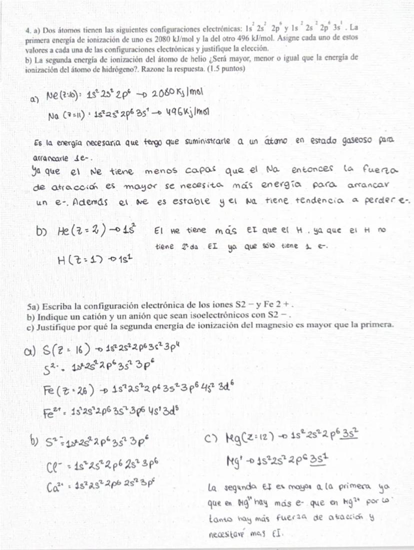
Las energías de ionización sucesivas siempre aumentan porque cada vez es más difícil quitar un electrón. Es como intentar quitar capas de una cebolla - cada capa está más "pegada" que la anterior.
Para el neón (configuración completa) vs sodio (un electrón extra), el neón necesita mucha más energía para perder su primer electrón porque tiene configuración estable de gas noble.
La segunda energía de ionización del helio será mayor que la primera del hidrógeno porque estás quitando un electrón a un ion He⁺ que ya tiene carga positiva, creando más atracción.
El magnesio muestra un patrón típico: su segunda energía de ionización es mayor que la primera, pero no tanto como sería para el sodio, porque el Mg "quiere" perder 2 electrones para ser estable.
¡Estrategia de resolución! Siempre considera si el ion resultante tendrá configuración de gas noble - esos son especialmente estables.

Acceso a todos los documentos
Mejora tus notas
Únete a millones de estudiantes
Las especies isoelectrónicas tienen el mismo número de electrones total. Por ejemplo, Cl⁻, Ca²⁺ y K⁺ todos tienen 18 electrones y la configuración [Ar].
Entre especies isoelectrónicas, el orden de tamaño se determina por la carga nuclear: más protones = menor radio. Así, Cl⁻ > K⁺ > Ca²⁺ en tamaño.
Para elementos en el mismo periodo como Na y Mg, el magnesio tiene mayor primera energía de ionización porque tiene más carga nuclear. Sin embargo, la segunda energía de ionización es mayor para el sodio porque significaría romper una configuración estable de gas noble.
Estas comparaciones te ayudan a predecir qué elementos formarán ciertos tipos de enlaces y compuestos.
¡Patrón importante! Los saltos grandes en energías de ionización sucesivas te indican dónde están los electrones de valencia vs los de core.

Acceso a todos los documentos
Mejora tus notas
Únete a millones de estudiantes
Conociendo el número atómico, puedes escribir la configuración electrónica y predecir las propiedades. El flúor es el más electronegativo por estar casi en la esquina superior derecha.
Los elementos del grupo 1 terminan en s¹, como el sodio. Son metales alcalinos que pierden fácilmente su electrón de valencia.
Los gases nobles terminan en configuraciones s²p⁶ (excepto el helio que es solo s²). Son estables y raramente forman compuestos.
Identificar el grupo y periodo de un elemento por su configuración electrónica es una habilidad fundamental que te servirá en toda la química.
¡Método rápido! La configuración electrónica del último orbital te dice inmediatamente a qué grupo pertenece el elemento.

Acceso a todos los documentos
Mejora tus notas
Únete a millones de estudiantes
Combinando todos los conceptos, puedes resolver problemas complejos. Al comparar Mg, Si y Cl, el magnesio tiene mayor radio porque está más a la izquierda en el periodo.
Entre Mg, Si, Cl y Rb, el cloro tiene mayor energía de ionización. Aunque el Mg también es pequeño, el Cl está más a la derecha en su periodo y tiene mayor atracción nuclear efectiva.
Los iones estables siguen reglas predecibles: los metales forman cationes (Mg²⁺) y los no metales forman aniones, pero solo hasta completar su octeto.
Dominar estas tendencias te permite predecir el comportamiento químico sin memorizar cada elemento individualmente.
¡Consejo final! Practica identificando patrones en grupos de elementos - las tendencias periódicas son tu mejor herramienta predictiva en química.
Nuestro compañero de IA está específicamente adaptado a las necesidades de los estudiantes. Basándonos en los millones de contenidos que tenemos en la plataforma, podemos dar a los estudiantes respuestas realmente significativas y relevantes. Pero no se trata solo de respuestas, el compañero también guía a los estudiantes a través de sus retos de aprendizaje diarios, con planes de aprendizaje personalizados, cuestionarios o contenidos en el chat y una personalización del 100% basada en las habilidades y el desarrollo de los estudiantes.
Puedes descargar la app en Google Play Store y Apple App Store.
Sí, tienes acceso gratuito a los contenidos de la aplicación y a nuestro compañero de IA. Para desbloquear determinadas funciones de la aplicación, puedes adquirir Knowunity Pro.
31
Herramientas Inteligentes NUEVO
Transforma estos apuntes en: ✓ 50+ Preguntas de Práctica ✓ Flashcards Interactivas ✓ Examen Completo de Práctica ✓ Esquemas de Ensayo
apuntes
Elementos de la tabla periódica
Sintexis de Lengua Castellana. Incluye las oraciones simples, los complementos y todas las oraciones compuestas
App Store
Google Play
La app es muy fácil de usar y está muy bien diseñada. Hasta ahora he encontrado todo lo que estaba buscando y he podido aprender mucho de las presentaciones. Definitivamente utilizaré la aplicación para un examen de clase. Y, por supuesto, también me sirve mucho de inspiración.
Pablo
usuario de iOS
Esta app es realmente genial. Hay tantos apuntes de clase y ayuda [...]. Tengo problemas con matemáticas, por ejemplo, y la aplicación tiene muchas opciones de ayuda. Gracias a Knowunity, he mejorado en mates. Se la recomiendo a todo el mundo.
Elena
usuaria de Android
Vaya, estoy realmente sorprendida. Acabo de probar la app porque la he visto anunciada muchas veces y me he quedado absolutamente alucinada. Esta app es LA AYUDA que quieres para el insti y, sobre todo, ofrece muchísimas cosas, como ejercicios y hojas informativas, que a mí personalmente me han sido MUY útiles.
Ana
usuaria de iOS
Está app es muy buena, tiene apuntes que son de mucha ayuda y su IA es fantástica, te explica a la perfección y muy fácil de entender lo que necesites, te ayuda con los deberes, te hace esquemas... en definitiva es una muy buena opción!
Sophia
usuario de Android
Me encanta!!! Me resuelve todo con detalle y me da la explicación correcta. Tiene un montón de funciones, ami me ha ido genial!! Os la recomiendo!!!
Marta
usuaria de Android
La uso casi diariamente, sirve para todas las asignaturas. Yo, por ejemplo la utilizo más en inglés porque se me da bastante mal, ¡Todas las respuestas están correctas! Consta con personas reales que suben sus apuntes y IA para que puedas hacer los deberes muchísimo más fácil, la recomiendo.
Izan
usuario de iOS
¡La app es buenísima! Sólo tengo que introducir el tema en la barra de búsqueda y recibo la respuesta muy rápido. No tengo que ver 10 vídeos de YouTube para entender algo, así que me ahorro tiempo. ¡Muy recomendable!
Sara
usuaria de Android
En el instituto era muy malo en matemáticas, pero gracias a la app, ahora saco mejores notas. Os agradezco mucho que hayáis creado la aplicación.
Roberto
usuario de Android
Esto no es como Chatgpt, es MUCHISMO MEJOR, te hace unos resúmenes espectaculares y gracias a esta app pase de sacar 5-6 a sacar 8-9.
Julyana
usuaria de Android
Es la mejor aplicación del mundo, la uso para revisar los deberes a mi hijo.
Javier
usuario de Android
LOS QUIZ Y FLASHCARDS SON SÚPER ÚTILES Y ME ENCANTA Knowunity IA. ADEMÁS ES LITERALMENTE COMO CHATGPT PERO MÁS LISTO!! ME AYUDÓ TAMBIÉN CON MIS PROBLEMAS DE MÁSCARA!! Y CON MIS ASIGNATURAS DE VERDAD! OBVIO 😍😁😲🤑💗✨🎀😮
Erick
usuario de Android
Me me encanta esta app, todo lo que tiene es de calidad ya que antes de ser publicado es revisado por un equipo de profesionales. Me ha ido genial esta aplicación ya que gracias a ella puedo estudiar mucho mejor, sin tener que agobiarme porque mi profesor no ha hecho teoría o porque no entiendo su teoría. Le doy un 10 de 10!
Mar
usuaria de iOS
La app es muy fácil de usar y está muy bien diseñada. Hasta ahora he encontrado todo lo que estaba buscando y he podido aprender mucho de las presentaciones. Definitivamente utilizaré la aplicación para un examen de clase. Y, por supuesto, también me sirve mucho de inspiración.
Pablo
usuario de iOS
Esta app es realmente genial. Hay tantos apuntes de clase y ayuda [...]. Tengo problemas con matemáticas, por ejemplo, y la aplicación tiene muchas opciones de ayuda. Gracias a Knowunity, he mejorado en mates. Se la recomiendo a todo el mundo.
Elena
usuaria de Android
Vaya, estoy realmente sorprendida. Acabo de probar la app porque la he visto anunciada muchas veces y me he quedado absolutamente alucinada. Esta app es LA AYUDA que quieres para el insti y, sobre todo, ofrece muchísimas cosas, como ejercicios y hojas informativas, que a mí personalmente me han sido MUY útiles.
Ana
usuaria de iOS
Está app es muy buena, tiene apuntes que son de mucha ayuda y su IA es fantástica, te explica a la perfección y muy fácil de entender lo que necesites, te ayuda con los deberes, te hace esquemas... en definitiva es una muy buena opción!
Sophia
usuario de Android
Me encanta!!! Me resuelve todo con detalle y me da la explicación correcta. Tiene un montón de funciones, ami me ha ido genial!! Os la recomiendo!!!
Marta
usuaria de Android
La uso casi diariamente, sirve para todas las asignaturas. Yo, por ejemplo la utilizo más en inglés porque se me da bastante mal, ¡Todas las respuestas están correctas! Consta con personas reales que suben sus apuntes y IA para que puedas hacer los deberes muchísimo más fácil, la recomiendo.
Izan
usuario de iOS
¡La app es buenísima! Sólo tengo que introducir el tema en la barra de búsqueda y recibo la respuesta muy rápido. No tengo que ver 10 vídeos de YouTube para entender algo, así que me ahorro tiempo. ¡Muy recomendable!
Sara
usuaria de Android
En el instituto era muy malo en matemáticas, pero gracias a la app, ahora saco mejores notas. Os agradezco mucho que hayáis creado la aplicación.
Roberto
usuario de Android
Esto no es como Chatgpt, es MUCHISMO MEJOR, te hace unos resúmenes espectaculares y gracias a esta app pase de sacar 5-6 a sacar 8-9.
Julyana
usuaria de Android
Es la mejor aplicación del mundo, la uso para revisar los deberes a mi hijo.
Javier
usuario de Android
LOS QUIZ Y FLASHCARDS SON SÚPER ÚTILES Y ME ENCANTA Knowunity IA. ADEMÁS ES LITERALMENTE COMO CHATGPT PERO MÁS LISTO!! ME AYUDÓ TAMBIÉN CON MIS PROBLEMAS DE MÁSCARA!! Y CON MIS ASIGNATURAS DE VERDAD! OBVIO 😍😁😲🤑💗✨🎀😮
Erick
usuario de Android
Me me encanta esta app, todo lo que tiene es de calidad ya que antes de ser publicado es revisado por un equipo de profesionales. Me ha ido genial esta aplicación ya que gracias a ella puedo estudiar mucho mejor, sin tener que agobiarme porque mi profesor no ha hecho teoría o porque no entiendo su teoría. Le doy un 10 de 10!
Mar
usuaria de iOS