El movimiento rectilíneo, tanto uniforme como uniformemente acelerado, es fundamental... Mostrar más
Inscríbete para ver los apuntes¡Es gratis!
Acceso a todos los documentos
Mejora tus notas
Únete a millones de estudiantes
Knowunity AI
Asignaturas
Triangle Congruence and Similarity Theorems
Triangle Properties and Classification
Linear Equations and Graphs
Geometric Angle Relationships
Trigonometric Functions and Identities
Equation Solving Techniques
Circle Geometry Fundamentals
Division Operations and Methods
Basic Differentiation Rules
Exponent and Logarithm Properties
Mostrar todos los temas
Human Organ Systems
Reproductive Cell Cycles
Biological Sciences Subdisciplines
Cellular Energy Metabolism
Autotrophic Energy Processes
Inheritance Patterns and Principles
Biomolecular Structure and Organization
Cell Cycle and Division Mechanics
Cellular Organization and Development
Biological Structural Organization
Mostrar todos los temas
Chemical Sciences and Applications
Atomic Structure and Composition
Molecular Electron Structure Representation
Atomic Electron Behavior
Matter Properties and Water
Mole Concept and Calculations
Gas Laws and Behavior
Periodic Table Organization
Chemical Thermodynamics Fundamentals
Chemical Bond Types and Properties
Mostrar todos los temas
European Renaissance and Enlightenment
European Cultural Movements 800-1920
American Revolution Era 1763-1797
American Civil War 1861-1865
Global Imperial Systems
Mongol and Chinese Dynasties
U.S. Presidents and World Leaders
Historical Sources and Documentation
World Wars Era and Impact
World Religious Systems
Mostrar todos los temas
Classic and Contemporary Novels
Literary Character Analysis
Rhetorical Theory and Practice
Classic Literary Narratives
Reading Analysis and Interpretation
Narrative Structure and Techniques
English Language Components
Influential English-Language Authors
Basic Sentence Structure
Narrative Voice and Perspective
Mostrar todos los temas
884
•
Actualizado Mar 18, 2026
•
₊✩‧₊˚ sandra ౨ৎ˚₊✩‧₊
@sandra.gmz
El movimiento rectilíneo, tanto uniforme como uniformemente acelerado, es fundamental... Mostrar más







¿Te has fijado en un coche moviéndose a velocidad constante por una carretera recta? Eso es un Movimiento Rectilíneo Uniforme. En este tipo de movimiento, un objeto se desplaza en línea recta manteniendo su velocidad constante en todo momento.
La ecuación que describe este movimiento es bastante sencilla: , donde es la posición del cuerpo, es la posición inicial y es la velocidad. Con esta fórmula puedes calcular dónde estará un objeto en cualquier momento.
💡 Recuerda: En el MRU, la velocidad nunca cambia en módulo, dirección ni sentido. Por eso las gráficas posición-tiempo son líneas rectas.

Cuando pisas el acelerador de un coche parado, experimentas un MRUA. Este movimiento ocurre cuando un objeto sigue una trayectoria recta pero su velocidad cambia de manera constante debido a una aceleración fija.
Existen tres ecuaciones fundamentales que te permiten resolver cualquier problema de MRUA:
🚀 Truco de estudio: Si memorizas estas tres ecuaciones, podrás resolver prácticamente cualquier problema de MRUA que te pongan en un examen.

Las ecuaciones del MRUA son la herramienta perfecta para resolver problemas de movimiento con aceleración constante. La fórmula te permite calcular la posición en cualquier instante.
La aceleración se puede calcular mediante , lo que significa que es el cambio de velocidad dividido por el tiempo. Cuando un objeto parte del reposo, se simplifica todo porque .
📝 Consejo práctico: Cuando resuelvas ejercicios, identifica primero qué datos te dan y qué te piden calcular. Después elige la ecuación adecuada para resolverlo directamente.

Cuando dejas caer tu móvil (¡esperamos que no ocurra!), experimenta un movimiento rectilíneo bajo la acción de la gravedad. Esta fuerza produce una aceleración constante de en la Tierra.
En estos movimientos verticales, utilizamos las mismas ecuaciones del MRUA, pero debemos tener especial cuidado con los signos. Lo habitual es definir un sistema de coordenadas donde el eje Y positivo apunta hacia arriba, por lo que la aceleración de la gravedad tendrá signo negativo.
⚠️ Atención: El sistema de referencia es crucial. Si defines que "arriba" es positivo, entonces la gravedad será negativa . Mantén coherencia con los signos durante todo el ejercicio.

Imagina que dejas caer una pelota desde un edificio de 40 metros de altura. ¿Cuánto tardará en llegar al suelo y con qué velocidad impactará? Este es un problema clásico de caída libre.
Para resolverlo, utilizamos las ecuaciones del MRUA con los siguientes datos: posición inicial , velocidad inicial (está en reposo) y aceleración (la gravedad). Las ecuaciones quedan:
🧮 Para resolverlo: Cuando la pelota llega al suelo, . Sustituyendo en la segunda ecuación y despejando, encontrarás el tiempo que tarda en caer y después podrás calcular la velocidad de impacto.

En física, es fundamental manejar correctamente los signos para interpretar los resultados. En movimientos horizontales y verticales usamos convenciones diferentes que debes recordar.
Para el MRU usamos , mientras que para el MRUA tenemos tres ecuaciones esenciales:
En el movimiento vertical bajo gravedad, las ecuaciones se adaptan a:
🔍 Clave para entender los signos: Cuando un objeto se mueve hacia arriba (↑) o derecha (→), su velocidad es positiva. Si se acelera en la dirección del movimiento, la aceleración es positiva; si frena, es negativa.
Nuestro compañero de IA está específicamente adaptado a las necesidades de los estudiantes. Basándonos en los millones de contenidos que tenemos en la plataforma, podemos dar a los estudiantes respuestas realmente significativas y relevantes. Pero no se trata solo de respuestas, el compañero también guía a los estudiantes a través de sus retos de aprendizaje diarios, con planes de aprendizaje personalizados, cuestionarios o contenidos en el chat y una personalización del 100% basada en las habilidades y el desarrollo de los estudiantes.
Puedes descargar la app en Google Play Store y Apple App Store.
Sí, tienes acceso gratuito a los contenidos de la aplicación y a nuestro compañero de IA. Para desbloquear determinadas funciones de la aplicación, puedes adquirir Knowunity Pro.
apuntes
Elementos de la tabla periódica
Sintexis de Lengua Castellana. Incluye las oraciones simples, los complementos y todas las oraciones compuestas
App Store
Google Play
La app es muy fácil de usar y está muy bien diseñada. Hasta ahora he encontrado todo lo que estaba buscando y he podido aprender mucho de las presentaciones. Definitivamente utilizaré la aplicación para un examen de clase. Y, por supuesto, también me sirve mucho de inspiración.
Pablo
usuario de iOS
Esta app es realmente genial. Hay tantos apuntes de clase y ayuda [...]. Tengo problemas con matemáticas, por ejemplo, y la aplicación tiene muchas opciones de ayuda. Gracias a Knowunity, he mejorado en mates. Se la recomiendo a todo el mundo.
Elena
usuaria de Android
Vaya, estoy realmente sorprendida. Acabo de probar la app porque la he visto anunciada muchas veces y me he quedado absolutamente alucinada. Esta app es LA AYUDA que quieres para el insti y, sobre todo, ofrece muchísimas cosas, como ejercicios y hojas informativas, que a mí personalmente me han sido MUY útiles.
Ana
usuaria de iOS
Está app es muy buena, tiene apuntes que son de mucha ayuda y su IA es fantástica, te explica a la perfección y muy fácil de entender lo que necesites, te ayuda con los deberes, te hace esquemas... en definitiva es una muy buena opción!
Sophia
usuario de Android
Me encanta!!! Me resuelve todo con detalle y me da la explicación correcta. Tiene un montón de funciones, ami me ha ido genial!! Os la recomiendo!!!
Marta
usuaria de Android
La uso casi diariamente, sirve para todas las asignaturas. Yo, por ejemplo la utilizo más en inglés porque se me da bastante mal, ¡Todas las respuestas están correctas! Consta con personas reales que suben sus apuntes y IA para que puedas hacer los deberes muchísimo más fácil, la recomiendo.
Izan
usuario de iOS
¡La app es buenísima! Sólo tengo que introducir el tema en la barra de búsqueda y recibo la respuesta muy rápido. No tengo que ver 10 vídeos de YouTube para entender algo, así que me ahorro tiempo. ¡Muy recomendable!
Sara
usuaria de Android
En el instituto era muy malo en matemáticas, pero gracias a la app, ahora saco mejores notas. Os agradezco mucho que hayáis creado la aplicación.
Roberto
usuario de Android
Esto no es como Chatgpt, es MUCHISMO MEJOR, te hace unos resúmenes espectaculares y gracias a esta app pase de sacar 5-6 a sacar 8-9.
Julyana
usuaria de Android
Es la mejor aplicación del mundo, la uso para revisar los deberes a mi hijo.
Javier
usuario de Android
LOS QUIZ Y FLASHCARDS SON SÚPER ÚTILES Y ME ENCANTA Knowunity IA. ADEMÁS ES LITERALMENTE COMO CHATGPT PERO MÁS LISTO!! ME AYUDÓ TAMBIÉN CON MIS PROBLEMAS DE MÁSCARA!! Y CON MIS ASIGNATURAS DE VERDAD! OBVIO 😍😁😲🤑💗✨🎀😮
Erick
usuario de Android
Me me encanta esta app, todo lo que tiene es de calidad ya que antes de ser publicado es revisado por un equipo de profesionales. Me ha ido genial esta aplicación ya que gracias a ella puedo estudiar mucho mejor, sin tener que agobiarme porque mi profesor no ha hecho teoría o porque no entiendo su teoría. Le doy un 10 de 10!
Mar
usuaria de iOS
La app es muy fácil de usar y está muy bien diseñada. Hasta ahora he encontrado todo lo que estaba buscando y he podido aprender mucho de las presentaciones. Definitivamente utilizaré la aplicación para un examen de clase. Y, por supuesto, también me sirve mucho de inspiración.
Pablo
usuario de iOS
Esta app es realmente genial. Hay tantos apuntes de clase y ayuda [...]. Tengo problemas con matemáticas, por ejemplo, y la aplicación tiene muchas opciones de ayuda. Gracias a Knowunity, he mejorado en mates. Se la recomiendo a todo el mundo.
Elena
usuaria de Android
Vaya, estoy realmente sorprendida. Acabo de probar la app porque la he visto anunciada muchas veces y me he quedado absolutamente alucinada. Esta app es LA AYUDA que quieres para el insti y, sobre todo, ofrece muchísimas cosas, como ejercicios y hojas informativas, que a mí personalmente me han sido MUY útiles.
Ana
usuaria de iOS
Está app es muy buena, tiene apuntes que son de mucha ayuda y su IA es fantástica, te explica a la perfección y muy fácil de entender lo que necesites, te ayuda con los deberes, te hace esquemas... en definitiva es una muy buena opción!
Sophia
usuario de Android
Me encanta!!! Me resuelve todo con detalle y me da la explicación correcta. Tiene un montón de funciones, ami me ha ido genial!! Os la recomiendo!!!
Marta
usuaria de Android
La uso casi diariamente, sirve para todas las asignaturas. Yo, por ejemplo la utilizo más en inglés porque se me da bastante mal, ¡Todas las respuestas están correctas! Consta con personas reales que suben sus apuntes y IA para que puedas hacer los deberes muchísimo más fácil, la recomiendo.
Izan
usuario de iOS
¡La app es buenísima! Sólo tengo que introducir el tema en la barra de búsqueda y recibo la respuesta muy rápido. No tengo que ver 10 vídeos de YouTube para entender algo, así que me ahorro tiempo. ¡Muy recomendable!
Sara
usuaria de Android
En el instituto era muy malo en matemáticas, pero gracias a la app, ahora saco mejores notas. Os agradezco mucho que hayáis creado la aplicación.
Roberto
usuario de Android
Esto no es como Chatgpt, es MUCHISMO MEJOR, te hace unos resúmenes espectaculares y gracias a esta app pase de sacar 5-6 a sacar 8-9.
Julyana
usuaria de Android
Es la mejor aplicación del mundo, la uso para revisar los deberes a mi hijo.
Javier
usuario de Android
LOS QUIZ Y FLASHCARDS SON SÚPER ÚTILES Y ME ENCANTA Knowunity IA. ADEMÁS ES LITERALMENTE COMO CHATGPT PERO MÁS LISTO!! ME AYUDÓ TAMBIÉN CON MIS PROBLEMAS DE MÁSCARA!! Y CON MIS ASIGNATURAS DE VERDAD! OBVIO 😍😁😲🤑💗✨🎀😮
Erick
usuario de Android
Me me encanta esta app, todo lo que tiene es de calidad ya que antes de ser publicado es revisado por un equipo de profesionales. Me ha ido genial esta aplicación ya que gracias a ella puedo estudiar mucho mejor, sin tener que agobiarme porque mi profesor no ha hecho teoría o porque no entiendo su teoría. Le doy un 10 de 10!
Mar
usuaria de iOS
₊✩‧₊˚ sandra ౨ৎ˚₊✩‧₊
@sandra.gmz
El movimiento rectilíneo, tanto uniforme como uniformemente acelerado, es fundamental para entender cómo se mueven los objetos en línea recta. Estas formas de movimiento nos permiten predecir posiciones y velocidades de objetos usando ecuaciones matemáticas sencillas.

Acceso a todos los documentos
Mejora tus notas
Únete a millones de estudiantes
¿Te has fijado en un coche moviéndose a velocidad constante por una carretera recta? Eso es un Movimiento Rectilíneo Uniforme. En este tipo de movimiento, un objeto se desplaza en línea recta manteniendo su velocidad constante en todo momento.
La ecuación que describe este movimiento es bastante sencilla: , donde es la posición del cuerpo, es la posición inicial y es la velocidad. Con esta fórmula puedes calcular dónde estará un objeto en cualquier momento.
💡 Recuerda: En el MRU, la velocidad nunca cambia en módulo, dirección ni sentido. Por eso las gráficas posición-tiempo son líneas rectas.

Acceso a todos los documentos
Mejora tus notas
Únete a millones de estudiantes
Cuando pisas el acelerador de un coche parado, experimentas un MRUA. Este movimiento ocurre cuando un objeto sigue una trayectoria recta pero su velocidad cambia de manera constante debido a una aceleración fija.
Existen tres ecuaciones fundamentales que te permiten resolver cualquier problema de MRUA:
🚀 Truco de estudio: Si memorizas estas tres ecuaciones, podrás resolver prácticamente cualquier problema de MRUA que te pongan en un examen.

Acceso a todos los documentos
Mejora tus notas
Únete a millones de estudiantes
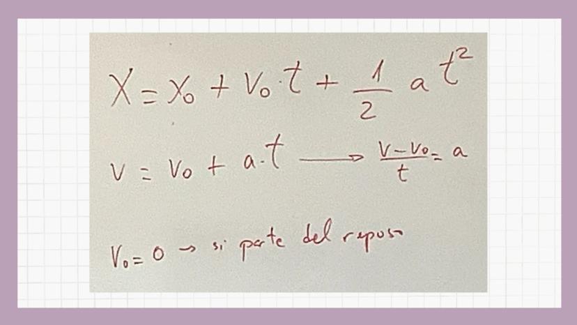
Las ecuaciones del MRUA son la herramienta perfecta para resolver problemas de movimiento con aceleración constante. La fórmula te permite calcular la posición en cualquier instante.
La aceleración se puede calcular mediante , lo que significa que es el cambio de velocidad dividido por el tiempo. Cuando un objeto parte del reposo, se simplifica todo porque .
📝 Consejo práctico: Cuando resuelvas ejercicios, identifica primero qué datos te dan y qué te piden calcular. Después elige la ecuación adecuada para resolverlo directamente.

Acceso a todos los documentos
Mejora tus notas
Únete a millones de estudiantes
Cuando dejas caer tu móvil (¡esperamos que no ocurra!), experimenta un movimiento rectilíneo bajo la acción de la gravedad. Esta fuerza produce una aceleración constante de en la Tierra.
En estos movimientos verticales, utilizamos las mismas ecuaciones del MRUA, pero debemos tener especial cuidado con los signos. Lo habitual es definir un sistema de coordenadas donde el eje Y positivo apunta hacia arriba, por lo que la aceleración de la gravedad tendrá signo negativo.
⚠️ Atención: El sistema de referencia es crucial. Si defines que "arriba" es positivo, entonces la gravedad será negativa . Mantén coherencia con los signos durante todo el ejercicio.

Acceso a todos los documentos
Mejora tus notas
Únete a millones de estudiantes
Imagina que dejas caer una pelota desde un edificio de 40 metros de altura. ¿Cuánto tardará en llegar al suelo y con qué velocidad impactará? Este es un problema clásico de caída libre.
Para resolverlo, utilizamos las ecuaciones del MRUA con los siguientes datos: posición inicial , velocidad inicial (está en reposo) y aceleración (la gravedad). Las ecuaciones quedan:
🧮 Para resolverlo: Cuando la pelota llega al suelo, . Sustituyendo en la segunda ecuación y despejando, encontrarás el tiempo que tarda en caer y después podrás calcular la velocidad de impacto.

Acceso a todos los documentos
Mejora tus notas
Únete a millones de estudiantes
En física, es fundamental manejar correctamente los signos para interpretar los resultados. En movimientos horizontales y verticales usamos convenciones diferentes que debes recordar.
Para el MRU usamos , mientras que para el MRUA tenemos tres ecuaciones esenciales:
En el movimiento vertical bajo gravedad, las ecuaciones se adaptan a:
🔍 Clave para entender los signos: Cuando un objeto se mueve hacia arriba (↑) o derecha (→), su velocidad es positiva. Si se acelera en la dirección del movimiento, la aceleración es positiva; si frena, es negativa.
Nuestro compañero de IA está específicamente adaptado a las necesidades de los estudiantes. Basándonos en los millones de contenidos que tenemos en la plataforma, podemos dar a los estudiantes respuestas realmente significativas y relevantes. Pero no se trata solo de respuestas, el compañero también guía a los estudiantes a través de sus retos de aprendizaje diarios, con planes de aprendizaje personalizados, cuestionarios o contenidos en el chat y una personalización del 100% basada en las habilidades y el desarrollo de los estudiantes.
Puedes descargar la app en Google Play Store y Apple App Store.
Sí, tienes acceso gratuito a los contenidos de la aplicación y a nuestro compañero de IA. Para desbloquear determinadas funciones de la aplicación, puedes adquirir Knowunity Pro.
9
Herramientas Inteligentes NUEVO
Transforma estos apuntes en: ✓ 50+ Preguntas de Práctica ✓ Flashcards Interactivas ✓ Examen Completo de Práctica ✓ Esquemas de Ensayo
Apuntes de Física de 4°ESO. Contiene Vectores y magnitudes cinemáticas.
Fórmulas de MRU y MRUA
física 4 eso tema 1
MRU, MRUA, MCU, MCUA
Modelos de Democrito, Dalton, Thomson, Rutherford, Bohr y Heisenberg y Schrödinger. Incluye fotos, años, aportaciones, descubrimientos y fallos
apuntes
Elementos de la tabla periódica
Sintexis de Lengua Castellana. Incluye las oraciones simples, los complementos y todas las oraciones compuestas
App Store
Google Play
La app es muy fácil de usar y está muy bien diseñada. Hasta ahora he encontrado todo lo que estaba buscando y he podido aprender mucho de las presentaciones. Definitivamente utilizaré la aplicación para un examen de clase. Y, por supuesto, también me sirve mucho de inspiración.
Pablo
usuario de iOS
Esta app es realmente genial. Hay tantos apuntes de clase y ayuda [...]. Tengo problemas con matemáticas, por ejemplo, y la aplicación tiene muchas opciones de ayuda. Gracias a Knowunity, he mejorado en mates. Se la recomiendo a todo el mundo.
Elena
usuaria de Android
Vaya, estoy realmente sorprendida. Acabo de probar la app porque la he visto anunciada muchas veces y me he quedado absolutamente alucinada. Esta app es LA AYUDA que quieres para el insti y, sobre todo, ofrece muchísimas cosas, como ejercicios y hojas informativas, que a mí personalmente me han sido MUY útiles.
Ana
usuaria de iOS
Está app es muy buena, tiene apuntes que son de mucha ayuda y su IA es fantástica, te explica a la perfección y muy fácil de entender lo que necesites, te ayuda con los deberes, te hace esquemas... en definitiva es una muy buena opción!
Sophia
usuario de Android
Me encanta!!! Me resuelve todo con detalle y me da la explicación correcta. Tiene un montón de funciones, ami me ha ido genial!! Os la recomiendo!!!
Marta
usuaria de Android
La uso casi diariamente, sirve para todas las asignaturas. Yo, por ejemplo la utilizo más en inglés porque se me da bastante mal, ¡Todas las respuestas están correctas! Consta con personas reales que suben sus apuntes y IA para que puedas hacer los deberes muchísimo más fácil, la recomiendo.
Izan
usuario de iOS
¡La app es buenísima! Sólo tengo que introducir el tema en la barra de búsqueda y recibo la respuesta muy rápido. No tengo que ver 10 vídeos de YouTube para entender algo, así que me ahorro tiempo. ¡Muy recomendable!
Sara
usuaria de Android
En el instituto era muy malo en matemáticas, pero gracias a la app, ahora saco mejores notas. Os agradezco mucho que hayáis creado la aplicación.
Roberto
usuario de Android
Esto no es como Chatgpt, es MUCHISMO MEJOR, te hace unos resúmenes espectaculares y gracias a esta app pase de sacar 5-6 a sacar 8-9.
Julyana
usuaria de Android
Es la mejor aplicación del mundo, la uso para revisar los deberes a mi hijo.
Javier
usuario de Android
LOS QUIZ Y FLASHCARDS SON SÚPER ÚTILES Y ME ENCANTA Knowunity IA. ADEMÁS ES LITERALMENTE COMO CHATGPT PERO MÁS LISTO!! ME AYUDÓ TAMBIÉN CON MIS PROBLEMAS DE MÁSCARA!! Y CON MIS ASIGNATURAS DE VERDAD! OBVIO 😍😁😲🤑💗✨🎀😮
Erick
usuario de Android
Me me encanta esta app, todo lo que tiene es de calidad ya que antes de ser publicado es revisado por un equipo de profesionales. Me ha ido genial esta aplicación ya que gracias a ella puedo estudiar mucho mejor, sin tener que agobiarme porque mi profesor no ha hecho teoría o porque no entiendo su teoría. Le doy un 10 de 10!
Mar
usuaria de iOS
La app es muy fácil de usar y está muy bien diseñada. Hasta ahora he encontrado todo lo que estaba buscando y he podido aprender mucho de las presentaciones. Definitivamente utilizaré la aplicación para un examen de clase. Y, por supuesto, también me sirve mucho de inspiración.
Pablo
usuario de iOS
Esta app es realmente genial. Hay tantos apuntes de clase y ayuda [...]. Tengo problemas con matemáticas, por ejemplo, y la aplicación tiene muchas opciones de ayuda. Gracias a Knowunity, he mejorado en mates. Se la recomiendo a todo el mundo.
Elena
usuaria de Android
Vaya, estoy realmente sorprendida. Acabo de probar la app porque la he visto anunciada muchas veces y me he quedado absolutamente alucinada. Esta app es LA AYUDA que quieres para el insti y, sobre todo, ofrece muchísimas cosas, como ejercicios y hojas informativas, que a mí personalmente me han sido MUY útiles.
Ana
usuaria de iOS
Está app es muy buena, tiene apuntes que son de mucha ayuda y su IA es fantástica, te explica a la perfección y muy fácil de entender lo que necesites, te ayuda con los deberes, te hace esquemas... en definitiva es una muy buena opción!
Sophia
usuario de Android
Me encanta!!! Me resuelve todo con detalle y me da la explicación correcta. Tiene un montón de funciones, ami me ha ido genial!! Os la recomiendo!!!
Marta
usuaria de Android
La uso casi diariamente, sirve para todas las asignaturas. Yo, por ejemplo la utilizo más en inglés porque se me da bastante mal, ¡Todas las respuestas están correctas! Consta con personas reales que suben sus apuntes y IA para que puedas hacer los deberes muchísimo más fácil, la recomiendo.
Izan
usuario de iOS
¡La app es buenísima! Sólo tengo que introducir el tema en la barra de búsqueda y recibo la respuesta muy rápido. No tengo que ver 10 vídeos de YouTube para entender algo, así que me ahorro tiempo. ¡Muy recomendable!
Sara
usuaria de Android
En el instituto era muy malo en matemáticas, pero gracias a la app, ahora saco mejores notas. Os agradezco mucho que hayáis creado la aplicación.
Roberto
usuario de Android
Esto no es como Chatgpt, es MUCHISMO MEJOR, te hace unos resúmenes espectaculares y gracias a esta app pase de sacar 5-6 a sacar 8-9.
Julyana
usuaria de Android
Es la mejor aplicación del mundo, la uso para revisar los deberes a mi hijo.
Javier
usuario de Android
LOS QUIZ Y FLASHCARDS SON SÚPER ÚTILES Y ME ENCANTA Knowunity IA. ADEMÁS ES LITERALMENTE COMO CHATGPT PERO MÁS LISTO!! ME AYUDÓ TAMBIÉN CON MIS PROBLEMAS DE MÁSCARA!! Y CON MIS ASIGNATURAS DE VERDAD! OBVIO 😍😁😲🤑💗✨🎀😮
Erick
usuario de Android
Me me encanta esta app, todo lo que tiene es de calidad ya que antes de ser publicado es revisado por un equipo de profesionales. Me ha ido genial esta aplicación ya que gracias a ella puedo estudiar mucho mejor, sin tener que agobiarme porque mi profesor no ha hecho teoría o porque no entiendo su teoría. Le doy un 10 de 10!
Mar
usuaria de iOS