¡Descubrir cómo están hechos los átomos es como hacer arqueología... Mostrar más
Inscríbete para ver los apuntes¡Es gratis!
Acceso a todos los documentos
Mejora tus notas
Únete a millones de estudiantes
Knowunity AI
Asignaturas
Triangle Congruence and Similarity Theorems
Triangle Properties and Classification
Linear Equations and Graphs
Geometric Angle Relationships
Trigonometric Functions and Identities
Equation Solving Techniques
Circle Geometry Fundamentals
Division Operations and Methods
Basic Differentiation Rules
Exponent and Logarithm Properties
Mostrar todos los temas
Human Organ Systems
Reproductive Cell Cycles
Biological Sciences Subdisciplines
Cellular Energy Metabolism
Autotrophic Energy Processes
Inheritance Patterns and Principles
Biomolecular Structure and Organization
Cell Cycle and Division Mechanics
Cellular Organization and Development
Biological Structural Organization
Mostrar todos los temas
Chemical Sciences and Applications
Atomic Structure and Composition
Molecular Electron Structure Representation
Atomic Electron Behavior
Matter Properties and Water
Mole Concept and Calculations
Gas Laws and Behavior
Periodic Table Organization
Chemical Thermodynamics Fundamentals
Chemical Bond Types and Properties
Mostrar todos los temas
European Renaissance and Enlightenment
European Cultural Movements 800-1920
American Revolution Era 1763-1797
American Civil War 1861-1865
Global Imperial Systems
Mongol and Chinese Dynasties
U.S. Presidents and World Leaders
Historical Sources and Documentation
World Wars Era and Impact
World Religious Systems
Mostrar todos los temas
Classic and Contemporary Novels
Literary Character Analysis
Rhetorical Theory and Practice
Classic Literary Narratives
Reading Analysis and Interpretation
Narrative Structure and Techniques
English Language Components
Influential English-Language Authors
Basic Sentence Structure
Narrative Voice and Perspective
Mostrar todos los temas
545
•
Actualizado Mar 30, 2026
•
Vera olmo
@vera.olmo
¡Descubrir cómo están hechos los átomos es como hacer arqueología... Mostrar más











¿Sabías que hace poco más de 100 años pensábamos que el átomo era indivisible? Todo cambió cuando Thomson demostró lo contrario a principios del siglo XX.
Thomson propuso que el átomo era como un "budín de pasas" - una esfera positiva con electrones incrustados por todas partes. Aunque no acertó del todo, fue el primero en descubrir las partículas subatómicas: protones y electrones.
Rutherford mejoró la teoría identificando las tres partículas fundamentales: protones (carga positiva), electrones (carga negativa) y neutrones (sin carga). También nos enseñó que el número de protones define cada elemento químico.
Bohr añadió algo revolucionario: los electrones no están donde sea, sino en capas electrónicas específicas alrededor del núcleo. Cada capa tiene un nivel de energía diferente - cuanto más lejos del núcleo, más energía.
¡Dato curioso! Schrödinger demostró que no podemos saber exactamente dónde está un electrón, solo la probabilidad de encontrarlo en ciertas zonas llamadas orbitales.

Imagina que cada electrón tiene un "DNI" con cuatro números que nos dicen exactamente dónde vive y cómo se comporta. Estos son los números cuánticos (n, l, m, s).
El número cuántico principal (n) te dice en qué "piso" del átomo vive el electrón - puede ser del 1 al 7. Cuanto mayor sea n, más lejos está del núcleo y más energía tiene.
El número cuántico secundario (l) describe la forma del orbital: esférico (s), lobular (p) o multilobular (d). Sus valores van desde 0 hasta n-1, así que si n=3, l puede ser 0, 1 o 2.
El número cuántico magnético (m) indica las orientaciones posibles del orbital en el espacio. Por ejemplo, los orbitales p tienen 3 orientaciones diferentes (-1, 0, +1), como si fueran tres habitaciones en la misma planta.
Regla de oro: Cada orbital puede alojar máximo 2 electrones, uno girando hacia arriba y otro hacia abajo.

El número cuántico de espín (s) solo tiene dos valores: +1/2 o -1/2. Es como si cada electrón fuera una peonza que puede girar hacia la derecha o hacia la izquierda.
Para saber cómo se distribuyen los electrones, usamos el diagrama de Möller, que es como un mapa que nos muestra el orden: 1s, 2s, 2p, 3s, 3p, 4s, 3d... Es como llenar los asientos de un cine empezando por las filas más baratas.
La configuración electrónica es la dirección completa donde viven todos los electrones de un átomo. Por ejemplo, el litio (Li) tiene: 1s² 2s¹, que significa 2 electrones en 1s y 1 electrón en 2s.
Para los iones, las reglas cambian un poco. Los cationes (carga positiva) pierden electrones de la última capa, mientras que los aniones (carga negativa) ganan electrones.
Truco para exámenes: Un átomo excitado es cuando un electrón "salta" a una capa de mayor energía, como si se mudara a un piso más alto.

¿Quieres saber dónde está un elemento en la tabla periódica? ¡Su configuración electrónica te lo dice todo! El período (fila) corresponde al último nivel de energía, y el grupo (columna) depende de cómo termine la configuración.
Las reglas son sencillas: si termina en s, el grupo coincide con el subíndice. Si termina en d, sumas 2 al subíndice. Si termina en p, sumas 12. Por ejemplo, si termina en p³, está en el grupo 15 (3+12).
Pero ojo, ¡hay excepciones! El cromo (Cr) y el cobre (Cu) no siguen las reglas normales porque prefieren tener sus electrones más "repartidos" para ser más estables.
Los elementos del grupo 6 (como Cr) y del grupo 11 (como Cu) "roban" un electrón del orbital s para completar mejor sus orbitales d.
Para recordar: Las excepciones ocurren cuando los átomos buscan configuraciones más estables, como nosotros buscamos la comodidad.

Existen tres reglas fundamentales que gobiernan cómo se organizan los electrones, como las reglas de un videojuego que no se pueden romper.
El principio de exclusión de Pauli dice que no puede haber dos electrones idénticos en un átomo. Es como si cada electrón necesitara su propia identidad única - al menos deben diferir en el espín.
El principio de multiplicidad de Hund es más interesante: los electrones prefieren estar solos antes que en pareja. Primero ocupan todos los orbitales disponibles de uno en uno, y luego se emparejan. ¡Son como adolescentes que prefieren su propia habitación!
La regla del orden energético creciente es lógica: los electrones ocupan primero las "casas más baratas" (menor energía) antes que las caras. Para calcularlo, sumas n+l, y el que tenga menor suma tiene menos energía.
Dato importante: Estas reglas explican por qué algunos elementos son más reactivos que otros - todo depende de cómo estén organizados sus electrones.

Los átomos e iones isoelectrónicos son como hermanos que tienen el mismo número de electrones pero diferente "apellido". Por ejemplo, Ca²⁺, Ar y Cl⁻ todos tienen 18 electrones, aunque sean especies totalmente diferentes.
Los isótopos son más bien como gemelos: mismo número de protones (misma identidad) pero diferente número de neutrones. El zinc-63 y el zinc-64 son el mismo elemento, solo que uno es un poco más "pesado".
Estas especies son súper importantes en química porque los isoelectrónicos se comportan de manera similar, mientras que los isótopos tienen propiedades físicas ligeramente diferentes.
Understanding estas diferencias te ayudará a predecir cómo reaccionarán los elementos y por qué algunos átomos son más estables que otros.
Aplicación real: Los isótopos se usan en medicina y los isoelectrónicos explican por qué ciertos iones tienen tamaños similares.

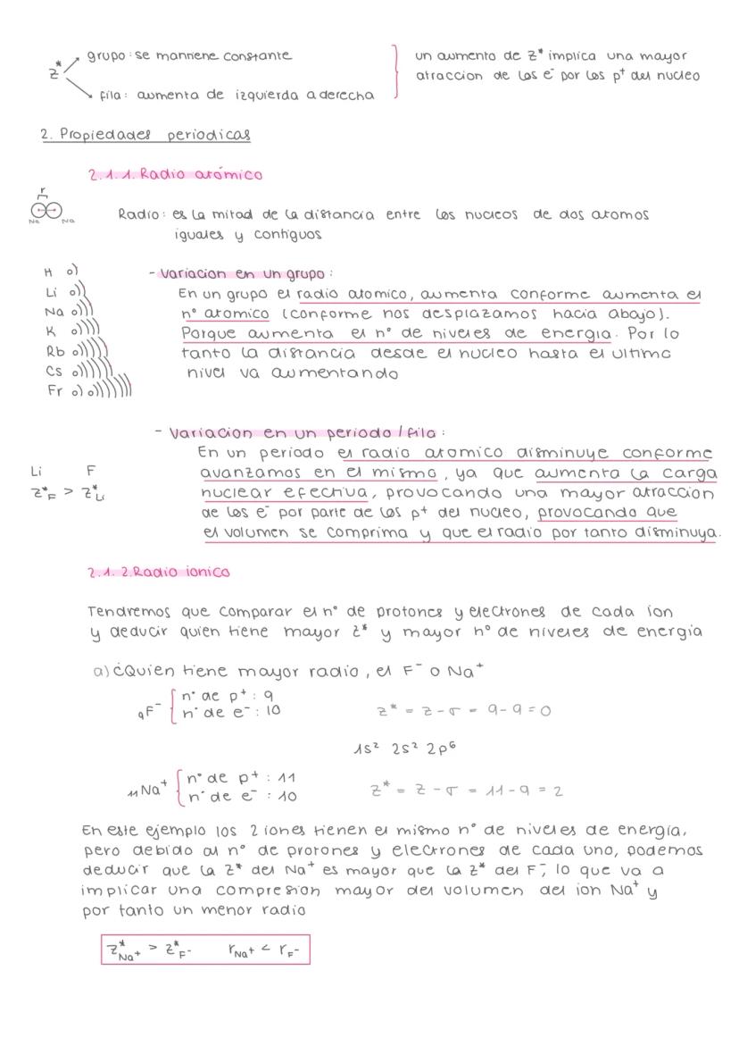
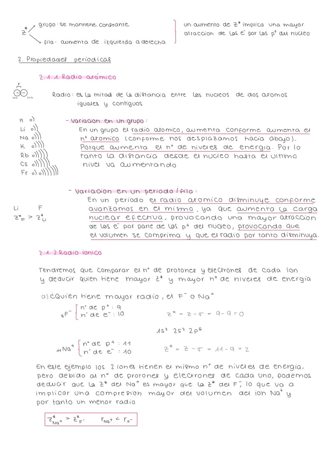
La carga nuclear efectiva (Z)* es como la "fuerza de atracción real" que siente un electrón hacia el núcleo. No es solo contar protones - hay que considerar que otros electrones "bloquean" parte de esa atracción.
El apantallamiento ocurre cuando los electrones más internos protegen a los externos de la fuerza completa del núcleo. Es como si fueran escudos que reducen la atracción.
En un grupo (columna), la Z* se mantiene constante porque aunque aumentan los protones, también aumentan los electrones que apantallan. En una fila (período), Z* aumenta porque los electrones del mismo nivel apantallan menos.
Esta diferencia explica muchas propiedades periódicas. Cuando Z* es mayor, los electrones están más "pegados" al núcleo, afectando el tamaño del átomo y su comportamiento químico.
Concepto clave: La carga nuclear efectiva es el verdadero "jefe" que determina cómo se comportan los electrones en un átomo.

El radio atómico es la mitad de la distancia entre dos núcleos de átomos iguales que se tocan. Es como medir el "espacio personal" de cada átomo.
En un grupo, el radio aumenta hacia abajo porque se añaden más capas electrónicas - es como construir pisos adicionales en un edificio. En un período, el radio disminuye hacia la derecha porque aumenta Z* y "comprime" el átomo.
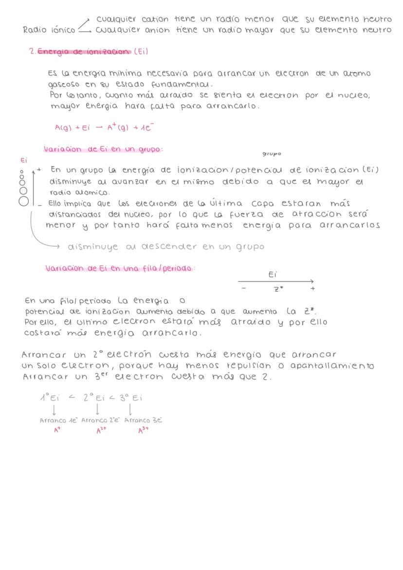
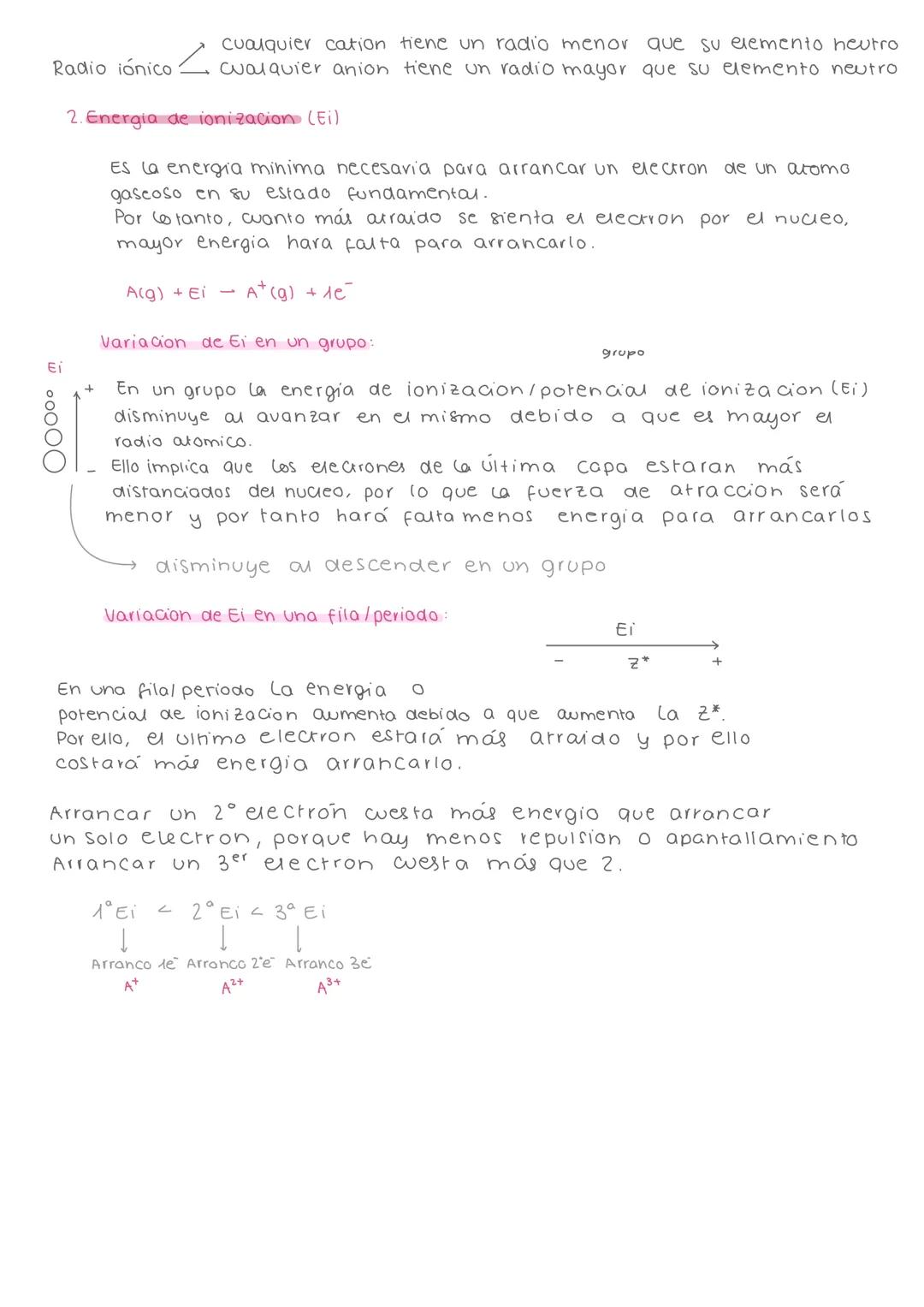
El radio iónico sigue reglas similares pero con un twist: los cationes siempre son más pequeños que sus átomos neutros (pierden electrones), mientras que los aniones son más grandes (ganan electrones).
Para comparar radios iónicos, fíjate en Z* y en el número de niveles energéticos. Mayor Z* significa menor radio, y más niveles significa mayor radio.
Truco de memoria: Los cationes pierden "peso" (electrones) y se encogen, los aniones ganan "peso" y se hinchan.

Vamos a ver algunos ejemplos reales para que entiendas mejor cómo comparar radios. Entre F⁻ y Na⁺, aunque ambos tienen 10 electrones, el Na⁺ es más pequeño porque tiene más protones (11 vs 9) y por tanto mayor Z*.
Cuando comparamos F y F⁻, el F⁻ es más grande porque tiene un electrón extra que aumenta la repulsión electrónica, mientras que el número de protones sigue igual.
En el caso de Na y Na⁺, el Na⁺ es mucho más pequeño porque pierde toda una capa electrónica (pasa de 3 niveles a 2 niveles). Es como demoler el último piso de un edificio.
La regla general es simple: cualquier catión es más pequeño que su átomo neutro, y cualquier anión es más grande que su átomo neutro.
Para el examen: Siempre compara primero el número de niveles energéticos, y si es igual, compara las cargas nucleares efectivas.

La energía de ionización (Ei) es la energía mínima necesaria para "robar" un electrón a un átomo. Es como medir qué tan fuerte abraza el núcleo a sus electrones.
En un grupo, Ei disminuye hacia abajo porque los electrones externos están más lejos del núcleo - es más fácil quitárselos. En un período, Ei aumenta hacia la derecha porque aumenta Z* y los electrones están más "pegados".
Arrancar el segundo electrón siempre cuesta más energía que el primero (2ᵃEi > 1ᵃEi), porque queda menos repulsión electrónica y el núcleo atrae más fuerte. Es como quitar la segunda pieza de un imán.
Los elementos de la derecha de la tabla periódica (como los halógenos) tienen energías de ionización muy altas, mientras que los de la izquierda (como los metales alcalinos) las tienen muy bajas.
Aplicación práctica: Los metales tienen Ei bajas (ceden electrones fácilmente), mientras que los no metales tienen Ei altas (prefieren ganar electrones).
Nuestro compañero de IA está específicamente adaptado a las necesidades de los estudiantes. Basándonos en los millones de contenidos que tenemos en la plataforma, podemos dar a los estudiantes respuestas realmente significativas y relevantes. Pero no se trata solo de respuestas, el compañero también guía a los estudiantes a través de sus retos de aprendizaje diarios, con planes de aprendizaje personalizados, cuestionarios o contenidos en el chat y una personalización del 100% basada en las habilidades y el desarrollo de los estudiantes.
Puedes descargar la app en Google Play Store y Apple App Store.
Sí, tienes acceso gratuito a los contenidos de la aplicación y a nuestro compañero de IA. Para desbloquear determinadas funciones de la aplicación, puedes adquirir Knowunity Pro.
Números cuánticos
apuntes
Elementos de la tabla periódica
Sintexis de Lengua Castellana. Incluye las oraciones simples, los complementos y todas las oraciones compuestas
App Store
Google Play
La app es muy fácil de usar y está muy bien diseñada. Hasta ahora he encontrado todo lo que estaba buscando y he podido aprender mucho de las presentaciones. Definitivamente utilizaré la aplicación para un examen de clase. Y, por supuesto, también me sirve mucho de inspiración.
Pablo
usuario de iOS
Esta app es realmente genial. Hay tantos apuntes de clase y ayuda [...]. Tengo problemas con matemáticas, por ejemplo, y la aplicación tiene muchas opciones de ayuda. Gracias a Knowunity, he mejorado en mates. Se la recomiendo a todo el mundo.
Elena
usuaria de Android
Vaya, estoy realmente sorprendida. Acabo de probar la app porque la he visto anunciada muchas veces y me he quedado absolutamente alucinada. Esta app es LA AYUDA que quieres para el insti y, sobre todo, ofrece muchísimas cosas, como ejercicios y hojas informativas, que a mí personalmente me han sido MUY útiles.
Ana
usuaria de iOS
Está app es muy buena, tiene apuntes que son de mucha ayuda y su IA es fantástica, te explica a la perfección y muy fácil de entender lo que necesites, te ayuda con los deberes, te hace esquemas... en definitiva es una muy buena opción!
Sophia
usuario de Android
Me encanta!!! Me resuelve todo con detalle y me da la explicación correcta. Tiene un montón de funciones, ami me ha ido genial!! Os la recomiendo!!!
Marta
usuaria de Android
La uso casi diariamente, sirve para todas las asignaturas. Yo, por ejemplo la utilizo más en inglés porque se me da bastante mal, ¡Todas las respuestas están correctas! Consta con personas reales que suben sus apuntes y IA para que puedas hacer los deberes muchísimo más fácil, la recomiendo.
Izan
usuario de iOS
¡La app es buenísima! Sólo tengo que introducir el tema en la barra de búsqueda y recibo la respuesta muy rápido. No tengo que ver 10 vídeos de YouTube para entender algo, así que me ahorro tiempo. ¡Muy recomendable!
Sara
usuaria de Android
En el instituto era muy malo en matemáticas, pero gracias a la app, ahora saco mejores notas. Os agradezco mucho que hayáis creado la aplicación.
Roberto
usuario de Android
Esto no es como Chatgpt, es MUCHISMO MEJOR, te hace unos resúmenes espectaculares y gracias a esta app pase de sacar 5-6 a sacar 8-9.
Julyana
usuaria de Android
Es la mejor aplicación del mundo, la uso para revisar los deberes a mi hijo.
Javier
usuario de Android
LOS QUIZ Y FLASHCARDS SON SÚPER ÚTILES Y ME ENCANTA Knowunity IA. ADEMÁS ES LITERALMENTE COMO CHATGPT PERO MÁS LISTO!! ME AYUDÓ TAMBIÉN CON MIS PROBLEMAS DE MÁSCARA!! Y CON MIS ASIGNATURAS DE VERDAD! OBVIO 😍😁😲🤑💗✨🎀😮
Erick
usuario de Android
Me me encanta esta app, todo lo que tiene es de calidad ya que antes de ser publicado es revisado por un equipo de profesionales. Me ha ido genial esta aplicación ya que gracias a ella puedo estudiar mucho mejor, sin tener que agobiarme porque mi profesor no ha hecho teoría o porque no entiendo su teoría. Le doy un 10 de 10!
Mar
usuaria de iOS
La app es muy fácil de usar y está muy bien diseñada. Hasta ahora he encontrado todo lo que estaba buscando y he podido aprender mucho de las presentaciones. Definitivamente utilizaré la aplicación para un examen de clase. Y, por supuesto, también me sirve mucho de inspiración.
Pablo
usuario de iOS
Esta app es realmente genial. Hay tantos apuntes de clase y ayuda [...]. Tengo problemas con matemáticas, por ejemplo, y la aplicación tiene muchas opciones de ayuda. Gracias a Knowunity, he mejorado en mates. Se la recomiendo a todo el mundo.
Elena
usuaria de Android
Vaya, estoy realmente sorprendida. Acabo de probar la app porque la he visto anunciada muchas veces y me he quedado absolutamente alucinada. Esta app es LA AYUDA que quieres para el insti y, sobre todo, ofrece muchísimas cosas, como ejercicios y hojas informativas, que a mí personalmente me han sido MUY útiles.
Ana
usuaria de iOS
Está app es muy buena, tiene apuntes que son de mucha ayuda y su IA es fantástica, te explica a la perfección y muy fácil de entender lo que necesites, te ayuda con los deberes, te hace esquemas... en definitiva es una muy buena opción!
Sophia
usuario de Android
Me encanta!!! Me resuelve todo con detalle y me da la explicación correcta. Tiene un montón de funciones, ami me ha ido genial!! Os la recomiendo!!!
Marta
usuaria de Android
La uso casi diariamente, sirve para todas las asignaturas. Yo, por ejemplo la utilizo más en inglés porque se me da bastante mal, ¡Todas las respuestas están correctas! Consta con personas reales que suben sus apuntes y IA para que puedas hacer los deberes muchísimo más fácil, la recomiendo.
Izan
usuario de iOS
¡La app es buenísima! Sólo tengo que introducir el tema en la barra de búsqueda y recibo la respuesta muy rápido. No tengo que ver 10 vídeos de YouTube para entender algo, así que me ahorro tiempo. ¡Muy recomendable!
Sara
usuaria de Android
En el instituto era muy malo en matemáticas, pero gracias a la app, ahora saco mejores notas. Os agradezco mucho que hayáis creado la aplicación.
Roberto
usuario de Android
Esto no es como Chatgpt, es MUCHISMO MEJOR, te hace unos resúmenes espectaculares y gracias a esta app pase de sacar 5-6 a sacar 8-9.
Julyana
usuaria de Android
Es la mejor aplicación del mundo, la uso para revisar los deberes a mi hijo.
Javier
usuario de Android
LOS QUIZ Y FLASHCARDS SON SÚPER ÚTILES Y ME ENCANTA Knowunity IA. ADEMÁS ES LITERALMENTE COMO CHATGPT PERO MÁS LISTO!! ME AYUDÓ TAMBIÉN CON MIS PROBLEMAS DE MÁSCARA!! Y CON MIS ASIGNATURAS DE VERDAD! OBVIO 😍😁😲🤑💗✨🎀😮
Erick
usuario de Android
Me me encanta esta app, todo lo que tiene es de calidad ya que antes de ser publicado es revisado por un equipo de profesionales. Me ha ido genial esta aplicación ya que gracias a ella puedo estudiar mucho mejor, sin tener que agobiarme porque mi profesor no ha hecho teoría o porque no entiendo su teoría. Le doy un 10 de 10!
Mar
usuaria de iOS
Vera olmo
@vera.olmo
¡Descubrir cómo están hechos los átomos es como hacer arqueología a nivel microscópico! Desde principios del siglo XX, los científicos han desarrollado diferentes modelos para explicar la estructura atómica, desde las ideas básicas de Thomson hasta las complejas ecuaciones de... Mostrar más

Acceso a todos los documentos
Mejora tus notas
Únete a millones de estudiantes
¿Sabías que hace poco más de 100 años pensábamos que el átomo era indivisible? Todo cambió cuando Thomson demostró lo contrario a principios del siglo XX.
Thomson propuso que el átomo era como un "budín de pasas" - una esfera positiva con electrones incrustados por todas partes. Aunque no acertó del todo, fue el primero en descubrir las partículas subatómicas: protones y electrones.
Rutherford mejoró la teoría identificando las tres partículas fundamentales: protones (carga positiva), electrones (carga negativa) y neutrones (sin carga). También nos enseñó que el número de protones define cada elemento químico.
Bohr añadió algo revolucionario: los electrones no están donde sea, sino en capas electrónicas específicas alrededor del núcleo. Cada capa tiene un nivel de energía diferente - cuanto más lejos del núcleo, más energía.
¡Dato curioso! Schrödinger demostró que no podemos saber exactamente dónde está un electrón, solo la probabilidad de encontrarlo en ciertas zonas llamadas orbitales.

Acceso a todos los documentos
Mejora tus notas
Únete a millones de estudiantes
Imagina que cada electrón tiene un "DNI" con cuatro números que nos dicen exactamente dónde vive y cómo se comporta. Estos son los números cuánticos (n, l, m, s).
El número cuántico principal (n) te dice en qué "piso" del átomo vive el electrón - puede ser del 1 al 7. Cuanto mayor sea n, más lejos está del núcleo y más energía tiene.
El número cuántico secundario (l) describe la forma del orbital: esférico (s), lobular (p) o multilobular (d). Sus valores van desde 0 hasta n-1, así que si n=3, l puede ser 0, 1 o 2.
El número cuántico magnético (m) indica las orientaciones posibles del orbital en el espacio. Por ejemplo, los orbitales p tienen 3 orientaciones diferentes (-1, 0, +1), como si fueran tres habitaciones en la misma planta.
Regla de oro: Cada orbital puede alojar máximo 2 electrones, uno girando hacia arriba y otro hacia abajo.

Acceso a todos los documentos
Mejora tus notas
Únete a millones de estudiantes
El número cuántico de espín (s) solo tiene dos valores: +1/2 o -1/2. Es como si cada electrón fuera una peonza que puede girar hacia la derecha o hacia la izquierda.
Para saber cómo se distribuyen los electrones, usamos el diagrama de Möller, que es como un mapa que nos muestra el orden: 1s, 2s, 2p, 3s, 3p, 4s, 3d... Es como llenar los asientos de un cine empezando por las filas más baratas.
La configuración electrónica es la dirección completa donde viven todos los electrones de un átomo. Por ejemplo, el litio (Li) tiene: 1s² 2s¹, que significa 2 electrones en 1s y 1 electrón en 2s.
Para los iones, las reglas cambian un poco. Los cationes (carga positiva) pierden electrones de la última capa, mientras que los aniones (carga negativa) ganan electrones.
Truco para exámenes: Un átomo excitado es cuando un electrón "salta" a una capa de mayor energía, como si se mudara a un piso más alto.

Acceso a todos los documentos
Mejora tus notas
Únete a millones de estudiantes
¿Quieres saber dónde está un elemento en la tabla periódica? ¡Su configuración electrónica te lo dice todo! El período (fila) corresponde al último nivel de energía, y el grupo (columna) depende de cómo termine la configuración.
Las reglas son sencillas: si termina en s, el grupo coincide con el subíndice. Si termina en d, sumas 2 al subíndice. Si termina en p, sumas 12. Por ejemplo, si termina en p³, está en el grupo 15 (3+12).
Pero ojo, ¡hay excepciones! El cromo (Cr) y el cobre (Cu) no siguen las reglas normales porque prefieren tener sus electrones más "repartidos" para ser más estables.
Los elementos del grupo 6 (como Cr) y del grupo 11 (como Cu) "roban" un electrón del orbital s para completar mejor sus orbitales d.
Para recordar: Las excepciones ocurren cuando los átomos buscan configuraciones más estables, como nosotros buscamos la comodidad.

Acceso a todos los documentos
Mejora tus notas
Únete a millones de estudiantes
Existen tres reglas fundamentales que gobiernan cómo se organizan los electrones, como las reglas de un videojuego que no se pueden romper.
El principio de exclusión de Pauli dice que no puede haber dos electrones idénticos en un átomo. Es como si cada electrón necesitara su propia identidad única - al menos deben diferir en el espín.
El principio de multiplicidad de Hund es más interesante: los electrones prefieren estar solos antes que en pareja. Primero ocupan todos los orbitales disponibles de uno en uno, y luego se emparejan. ¡Son como adolescentes que prefieren su propia habitación!
La regla del orden energético creciente es lógica: los electrones ocupan primero las "casas más baratas" (menor energía) antes que las caras. Para calcularlo, sumas n+l, y el que tenga menor suma tiene menos energía.
Dato importante: Estas reglas explican por qué algunos elementos son más reactivos que otros - todo depende de cómo estén organizados sus electrones.

Acceso a todos los documentos
Mejora tus notas
Únete a millones de estudiantes
Los átomos e iones isoelectrónicos son como hermanos que tienen el mismo número de electrones pero diferente "apellido". Por ejemplo, Ca²⁺, Ar y Cl⁻ todos tienen 18 electrones, aunque sean especies totalmente diferentes.
Los isótopos son más bien como gemelos: mismo número de protones (misma identidad) pero diferente número de neutrones. El zinc-63 y el zinc-64 son el mismo elemento, solo que uno es un poco más "pesado".
Estas especies son súper importantes en química porque los isoelectrónicos se comportan de manera similar, mientras que los isótopos tienen propiedades físicas ligeramente diferentes.
Understanding estas diferencias te ayudará a predecir cómo reaccionarán los elementos y por qué algunos átomos son más estables que otros.
Aplicación real: Los isótopos se usan en medicina y los isoelectrónicos explican por qué ciertos iones tienen tamaños similares.

Acceso a todos los documentos
Mejora tus notas
Únete a millones de estudiantes
La carga nuclear efectiva (Z)* es como la "fuerza de atracción real" que siente un electrón hacia el núcleo. No es solo contar protones - hay que considerar que otros electrones "bloquean" parte de esa atracción.
El apantallamiento ocurre cuando los electrones más internos protegen a los externos de la fuerza completa del núcleo. Es como si fueran escudos que reducen la atracción.
En un grupo (columna), la Z* se mantiene constante porque aunque aumentan los protones, también aumentan los electrones que apantallan. En una fila (período), Z* aumenta porque los electrones del mismo nivel apantallan menos.
Esta diferencia explica muchas propiedades periódicas. Cuando Z* es mayor, los electrones están más "pegados" al núcleo, afectando el tamaño del átomo y su comportamiento químico.
Concepto clave: La carga nuclear efectiva es el verdadero "jefe" que determina cómo se comportan los electrones en un átomo.

Acceso a todos los documentos
Mejora tus notas
Únete a millones de estudiantes
El radio atómico es la mitad de la distancia entre dos núcleos de átomos iguales que se tocan. Es como medir el "espacio personal" de cada átomo.
En un grupo, el radio aumenta hacia abajo porque se añaden más capas electrónicas - es como construir pisos adicionales en un edificio. En un período, el radio disminuye hacia la derecha porque aumenta Z* y "comprime" el átomo.
El radio iónico sigue reglas similares pero con un twist: los cationes siempre son más pequeños que sus átomos neutros (pierden electrones), mientras que los aniones son más grandes (ganan electrones).
Para comparar radios iónicos, fíjate en Z* y en el número de niveles energéticos. Mayor Z* significa menor radio, y más niveles significa mayor radio.
Truco de memoria: Los cationes pierden "peso" (electrones) y se encogen, los aniones ganan "peso" y se hinchan.

Acceso a todos los documentos
Mejora tus notas
Únete a millones de estudiantes
Vamos a ver algunos ejemplos reales para que entiendas mejor cómo comparar radios. Entre F⁻ y Na⁺, aunque ambos tienen 10 electrones, el Na⁺ es más pequeño porque tiene más protones (11 vs 9) y por tanto mayor Z*.
Cuando comparamos F y F⁻, el F⁻ es más grande porque tiene un electrón extra que aumenta la repulsión electrónica, mientras que el número de protones sigue igual.
En el caso de Na y Na⁺, el Na⁺ es mucho más pequeño porque pierde toda una capa electrónica (pasa de 3 niveles a 2 niveles). Es como demoler el último piso de un edificio.
La regla general es simple: cualquier catión es más pequeño que su átomo neutro, y cualquier anión es más grande que su átomo neutro.
Para el examen: Siempre compara primero el número de niveles energéticos, y si es igual, compara las cargas nucleares efectivas.

Acceso a todos los documentos
Mejora tus notas
Únete a millones de estudiantes
La energía de ionización (Ei) es la energía mínima necesaria para "robar" un electrón a un átomo. Es como medir qué tan fuerte abraza el núcleo a sus electrones.
En un grupo, Ei disminuye hacia abajo porque los electrones externos están más lejos del núcleo - es más fácil quitárselos. En un período, Ei aumenta hacia la derecha porque aumenta Z* y los electrones están más "pegados".
Arrancar el segundo electrón siempre cuesta más energía que el primero (2ᵃEi > 1ᵃEi), porque queda menos repulsión electrónica y el núcleo atrae más fuerte. Es como quitar la segunda pieza de un imán.
Los elementos de la derecha de la tabla periódica (como los halógenos) tienen energías de ionización muy altas, mientras que los de la izquierda (como los metales alcalinos) las tienen muy bajas.
Aplicación práctica: Los metales tienen Ei bajas (ceden electrones fácilmente), mientras que los no metales tienen Ei altas (prefieren ganar electrones).
Nuestro compañero de IA está específicamente adaptado a las necesidades de los estudiantes. Basándonos en los millones de contenidos que tenemos en la plataforma, podemos dar a los estudiantes respuestas realmente significativas y relevantes. Pero no se trata solo de respuestas, el compañero también guía a los estudiantes a través de sus retos de aprendizaje diarios, con planes de aprendizaje personalizados, cuestionarios o contenidos en el chat y una personalización del 100% basada en las habilidades y el desarrollo de los estudiantes.
Puedes descargar la app en Google Play Store y Apple App Store.
Sí, tienes acceso gratuito a los contenidos de la aplicación y a nuestro compañero de IA. Para desbloquear determinadas funciones de la aplicación, puedes adquirir Knowunity Pro.
21
Herramientas Inteligentes NUEVO
Transforma estos apuntes en: ✓ 50+ Preguntas de Práctica ✓ Flashcards Interactivas ✓ Examen Completo de Práctica ✓ Esquemas de Ensayo
Números cuánticos
apuntes
Elementos de la tabla periódica
Sintexis de Lengua Castellana. Incluye las oraciones simples, los complementos y todas las oraciones compuestas
App Store
Google Play
La app es muy fácil de usar y está muy bien diseñada. Hasta ahora he encontrado todo lo que estaba buscando y he podido aprender mucho de las presentaciones. Definitivamente utilizaré la aplicación para un examen de clase. Y, por supuesto, también me sirve mucho de inspiración.
Pablo
usuario de iOS
Esta app es realmente genial. Hay tantos apuntes de clase y ayuda [...]. Tengo problemas con matemáticas, por ejemplo, y la aplicación tiene muchas opciones de ayuda. Gracias a Knowunity, he mejorado en mates. Se la recomiendo a todo el mundo.
Elena
usuaria de Android
Vaya, estoy realmente sorprendida. Acabo de probar la app porque la he visto anunciada muchas veces y me he quedado absolutamente alucinada. Esta app es LA AYUDA que quieres para el insti y, sobre todo, ofrece muchísimas cosas, como ejercicios y hojas informativas, que a mí personalmente me han sido MUY útiles.
Ana
usuaria de iOS
Está app es muy buena, tiene apuntes que son de mucha ayuda y su IA es fantástica, te explica a la perfección y muy fácil de entender lo que necesites, te ayuda con los deberes, te hace esquemas... en definitiva es una muy buena opción!
Sophia
usuario de Android
Me encanta!!! Me resuelve todo con detalle y me da la explicación correcta. Tiene un montón de funciones, ami me ha ido genial!! Os la recomiendo!!!
Marta
usuaria de Android
La uso casi diariamente, sirve para todas las asignaturas. Yo, por ejemplo la utilizo más en inglés porque se me da bastante mal, ¡Todas las respuestas están correctas! Consta con personas reales que suben sus apuntes y IA para que puedas hacer los deberes muchísimo más fácil, la recomiendo.
Izan
usuario de iOS
¡La app es buenísima! Sólo tengo que introducir el tema en la barra de búsqueda y recibo la respuesta muy rápido. No tengo que ver 10 vídeos de YouTube para entender algo, así que me ahorro tiempo. ¡Muy recomendable!
Sara
usuaria de Android
En el instituto era muy malo en matemáticas, pero gracias a la app, ahora saco mejores notas. Os agradezco mucho que hayáis creado la aplicación.
Roberto
usuario de Android
Esto no es como Chatgpt, es MUCHISMO MEJOR, te hace unos resúmenes espectaculares y gracias a esta app pase de sacar 5-6 a sacar 8-9.
Julyana
usuaria de Android
Es la mejor aplicación del mundo, la uso para revisar los deberes a mi hijo.
Javier
usuario de Android
LOS QUIZ Y FLASHCARDS SON SÚPER ÚTILES Y ME ENCANTA Knowunity IA. ADEMÁS ES LITERALMENTE COMO CHATGPT PERO MÁS LISTO!! ME AYUDÓ TAMBIÉN CON MIS PROBLEMAS DE MÁSCARA!! Y CON MIS ASIGNATURAS DE VERDAD! OBVIO 😍😁😲🤑💗✨🎀😮
Erick
usuario de Android
Me me encanta esta app, todo lo que tiene es de calidad ya que antes de ser publicado es revisado por un equipo de profesionales. Me ha ido genial esta aplicación ya que gracias a ella puedo estudiar mucho mejor, sin tener que agobiarme porque mi profesor no ha hecho teoría o porque no entiendo su teoría. Le doy un 10 de 10!
Mar
usuaria de iOS
La app es muy fácil de usar y está muy bien diseñada. Hasta ahora he encontrado todo lo que estaba buscando y he podido aprender mucho de las presentaciones. Definitivamente utilizaré la aplicación para un examen de clase. Y, por supuesto, también me sirve mucho de inspiración.
Pablo
usuario de iOS
Esta app es realmente genial. Hay tantos apuntes de clase y ayuda [...]. Tengo problemas con matemáticas, por ejemplo, y la aplicación tiene muchas opciones de ayuda. Gracias a Knowunity, he mejorado en mates. Se la recomiendo a todo el mundo.
Elena
usuaria de Android
Vaya, estoy realmente sorprendida. Acabo de probar la app porque la he visto anunciada muchas veces y me he quedado absolutamente alucinada. Esta app es LA AYUDA que quieres para el insti y, sobre todo, ofrece muchísimas cosas, como ejercicios y hojas informativas, que a mí personalmente me han sido MUY útiles.
Ana
usuaria de iOS
Está app es muy buena, tiene apuntes que son de mucha ayuda y su IA es fantástica, te explica a la perfección y muy fácil de entender lo que necesites, te ayuda con los deberes, te hace esquemas... en definitiva es una muy buena opción!
Sophia
usuario de Android
Me encanta!!! Me resuelve todo con detalle y me da la explicación correcta. Tiene un montón de funciones, ami me ha ido genial!! Os la recomiendo!!!
Marta
usuaria de Android
La uso casi diariamente, sirve para todas las asignaturas. Yo, por ejemplo la utilizo más en inglés porque se me da bastante mal, ¡Todas las respuestas están correctas! Consta con personas reales que suben sus apuntes y IA para que puedas hacer los deberes muchísimo más fácil, la recomiendo.
Izan
usuario de iOS
¡La app es buenísima! Sólo tengo que introducir el tema en la barra de búsqueda y recibo la respuesta muy rápido. No tengo que ver 10 vídeos de YouTube para entender algo, así que me ahorro tiempo. ¡Muy recomendable!
Sara
usuaria de Android
En el instituto era muy malo en matemáticas, pero gracias a la app, ahora saco mejores notas. Os agradezco mucho que hayáis creado la aplicación.
Roberto
usuario de Android
Esto no es como Chatgpt, es MUCHISMO MEJOR, te hace unos resúmenes espectaculares y gracias a esta app pase de sacar 5-6 a sacar 8-9.
Julyana
usuaria de Android
Es la mejor aplicación del mundo, la uso para revisar los deberes a mi hijo.
Javier
usuario de Android
LOS QUIZ Y FLASHCARDS SON SÚPER ÚTILES Y ME ENCANTA Knowunity IA. ADEMÁS ES LITERALMENTE COMO CHATGPT PERO MÁS LISTO!! ME AYUDÓ TAMBIÉN CON MIS PROBLEMAS DE MÁSCARA!! Y CON MIS ASIGNATURAS DE VERDAD! OBVIO 😍😁😲🤑💗✨🎀😮
Erick
usuario de Android
Me me encanta esta app, todo lo que tiene es de calidad ya que antes de ser publicado es revisado por un equipo de profesionales. Me ha ido genial esta aplicación ya que gracias a ella puedo estudiar mucho mejor, sin tener que agobiarme porque mi profesor no ha hecho teoría o porque no entiendo su teoría. Le doy un 10 de 10!
Mar
usuaria de iOS