Los vectores son herramientas matemáticas súper útiles para describir el... Mostrar más
Inscríbete para ver los apuntes¡Es gratis!
Acceso a todos los documentos
Mejora tus notas
Únete a millones de estudiantes
Knowunity AI
Asignaturas
Triangle Congruence and Similarity Theorems
Triangle Properties and Classification
Linear Equations and Graphs
Geometric Angle Relationships
Trigonometric Functions and Identities
Equation Solving Techniques
Circle Geometry Fundamentals
Division Operations and Methods
Basic Differentiation Rules
Exponent and Logarithm Properties
Mostrar todos los temas
Human Organ Systems
Reproductive Cell Cycles
Biological Sciences Subdisciplines
Cellular Energy Metabolism
Autotrophic Energy Processes
Inheritance Patterns and Principles
Biomolecular Structure and Organization
Cell Cycle and Division Mechanics
Cellular Organization and Development
Biological Structural Organization
Mostrar todos los temas
Chemical Sciences and Applications
Atomic Structure and Composition
Molecular Electron Structure Representation
Atomic Electron Behavior
Matter Properties and Water
Mole Concept and Calculations
Gas Laws and Behavior
Periodic Table Organization
Chemical Thermodynamics Fundamentals
Chemical Bond Types and Properties
Mostrar todos los temas
European Renaissance and Enlightenment
European Cultural Movements 800-1920
American Revolution Era 1763-1797
American Civil War 1861-1865
Global Imperial Systems
Mongol and Chinese Dynasties
U.S. Presidents and World Leaders
Historical Sources and Documentation
World Wars Era and Impact
World Religious Systems
Mostrar todos los temas
Classic and Contemporary Novels
Literary Character Analysis
Rhetorical Theory and Practice
Classic Literary Narratives
Reading Analysis and Interpretation
Narrative Structure and Techniques
English Language Components
Influential English-Language Authors
Basic Sentence Structure
Narrative Voice and Perspective
Mostrar todos los temas
661
•
Actualizado Mar 26, 2026
•
Gorka
@goorkaap
Los vectores son herramientas matemáticas súper útiles para describir el... Mostrar más











¿Te has preguntado por qué no basta con decir que un coche va a 120 km/h? Porque te falta información clave: ¿hacia dónde va? Aquí entran los vectores.
Un vector es como una flecha que tiene tres características: módulo (su longitud), dirección (la recta donde está) y sentido (hacia dónde apunta). Las magnitudes que necesitan vector para describirse completamente se llaman magnitudes vectoriales.
Por el contrario, las magnitudes escalares solo necesitan un número y sus unidades. La temperatura es escalar (20°C), pero la velocidad es vectorial .
💡 Truco: Si puedes preguntarte "¿hacia dónde?" sobre una magnitud, probablemente sea vectorial.
Los sistemas de referencia cartesianos te permiten ubicar vectores usando ejes perpendiculares. Lo genial es que puedes orientar estos ejes como quieras para hacer los ejercicios más fáciles.

Las componentes de un vector son sus proyecciones sobre los ejes x, y, z. Es como descomponer una fuerza en partes más manejables. Si tienes un vector en 2D, se escribe como v⃗ = (vₓ, vᵧ).
Para calcular el módulo (longitud) de un vector, usas el teorema de Pitágoras. En 2D: |v⃗| = √. En 3D añades la componente z.
Los vectores unitarios (î, ĵ, k̂) son vectores de módulo 1 que marcan las direcciones de los ejes. Te permiten escribir vectores como v⃗ = 3î + 4ĵ.
💡 Dato útil: Para encontrar componentes usa trigonometría: vₓ = |v⃗|cos(α) y vᵧ = |v⃗|sen(α).
La notación vectorial puede parecer complicada al principio, pero una vez que la domines, te resultará súper intuitiva.

Calcular el módulo y ángulo de un vector es pan comido cuando conoces sus componentes. Para el módulo usas Pitágoras, y para el ángulo: tan(α) = vᵧ/vₓ, luego α = arctan.
La suma y resta de vectores se hace componente a componente. Si tienes v⃗₁ = 2î - 5ĵ y v⃗₂ = -3î + 4ĵ, entonces v⃗₁ + v⃗₂ = -î - ĵ. ¡Así de simple!
Multiplicar un número por un vector significa multiplicar cada componente por ese número. 4v⃗ = 4(2î - 5ĵ) = 8î - 20ĵ.
💡 Consejo: El producto escalar A⃗ · B⃗ se puede calcular de dos formas: |A⃗||B⃗|cos(α) o AₓBₓ + AᵧBᵧ + AᵤBᵤ.
El producto escalar es conmutativo y si dos vectores son perpendiculares, su producto escalar es cero. Esta propiedad te será muy útil para identificar vectores perpendiculares.

Para encontrar el ángulo entre dos vectores, despejas el coseno de la fórmula del producto escalar: cos(θ) = (A⃗·B⃗)/(|A⃗||B⃗|).
El proceso es directo: calculas el producto escalar, después los módulos de ambos vectores, y finalmente aplicas el arcocoseno para obtener el ángulo.
💡 Recuerda: Si el producto escalar es cero, los vectores son perpendiculares (ángulo de 90°).
Esta fórmula te funcionará siempre, sin importar en cuántas dimensiones trabajes. Es una herramienta poderosa que usarás constantemente en física.

El MRU describe objetos que se mueven en línea recta a velocidad constante. Su ecuación básica es s = s₀ + vt, donde s es la posición final, s₀ la inicial, v la velocidad y t el tiempo.
Es crucial distinguir entre desplazamiento (cambio de posición, puede ser negativo) y distancia recorrida (siempre positiva). El desplazamiento es vectorial, la distancia es escalar.
Los ejercicios de cruces son clásicos: dos objetos que van al encuentro. La clave es plantear las ecuaciones de movimiento para cada uno y encontrar cuándo están en la misma posición.
💡 Truco para cruces: La velocidad relativa es la suma de las velocidades cuando van al encuentro.
Para resolver estos problemas, convierte siempre las unidades a m/s y define bien tu sistema de referencia desde el principio.

Los ejercicios de persecución requieren que un objeto salga después que otro. La clave es que el perseguidor tiene una ventaja inicial en tiempo que debes considerar en tus ecuaciones.
En el problema del tren que cruza un puente, recuerda que el tren ha "pasado completamente" cuando su cola abandona el puente. Por eso la distancia recorrida es longitud del puente + longitud del tren.
💡 Estrategia clave: En persecuciones, iguala las posiciones de ambos objetos considerando que uno salió antes.
El MRU es la base de la cinemática. Una vez que domines estos conceptos y tipos de ejercicios, podrás abordar movimientos más complejos con total confianza.

El MRUA describe objetos que cambian su velocidad de forma constante. Tienes tres ecuaciones fundamentales que debes memorizar:
La aceleración (a) se mide en m/s² y puede ser positiva (acelera) o negativa (frena). Elige la ecuación según los datos que tengas y lo que necesites calcular.
Para resolver ejercicios de MRUA, identifica qué datos tienes y qué buscas. Luego selecciona la ecuación más directa. Si buscas tiempo y tienes velocidades, usa la primera. Si buscas distancia sin tiempo, usa la tercera.
💡 Consejo: Siempre define el sentido positivo de tu sistema de referencia antes de empezar.
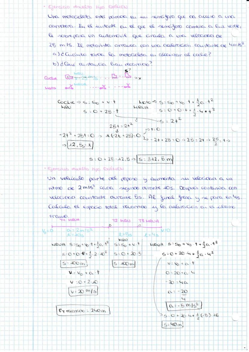
Los ejercicios tipo examen suelen combinar varios tramos: aceleración, velocidad constante y frenado. Resuelve cada tramo por separado usando las ecuaciones apropiadas.

Los ejercicios de examen suelen involucrar situaciones donde un objeto alcanza a otro. Un vehículo con MRU y otro con MRUA que arranca desde el reposo es un clásico.
Para resolverlos, plantea las ecuaciones de movimiento de cada objeto y encuentra cuándo sus posiciones son iguales. El objeto que acelera eventualmente alcanzará al que va a velocidad constante.
En problemas con varios tramos de movimiento, identifica cada fase: aceleración, velocidad constante, frenado. Cada tramo tiene sus propias ecuaciones y condiciones iniciales.
💡 Estrategia: La velocidad final de un tramo es la velocidad inicial del siguiente.
La aceleración de frenado siempre es negativa si defines el movimiento hacia adelante como positivo. No olvides que cuando un objeto se detiene, su velocidad final es cero.

Los movimientos verticales son casos especiales de MRUA donde a = g = 9,8 m/s² (hacia abajo). Tienes tres tipos: lanzamiento hacia arriba, hacia abajo y caída libre.
En el lanzamiento hacia arriba, el objeto sube hasta detenerse y luego cae. La altura máxima se alcanza cuando la velocidad es cero. Usa v = v₀ - gt para encontrar ese momento.
Para la caída libre, el objeto parte del reposo desde cierta altura. La velocidad aumenta constantemente mientras cae.
💡 Dato importante: Un objeto lanzado hacia arriba regresa al suelo con la misma velocidad (en módulo) con que fue lanzado.
Define siempre tu sistema de referencia. Si tomas hacia arriba como positivo, la gravedad será g = -9,8 m/s². Si tomas hacia abajo como positivo, será g = +9,8 m/s².

Los ejercicios complejos combinan lanzamiento vertical con diferentes alturas iniciales. Cuando lanzas un objeto hacia arriba desde un edificio, suma la altura del edificio a la altura máxima del lanzamiento.
Para objetos que caen desde cierta altura, usa y = y₀ - ½gt² . El tiempo de caída depende solo de la altura, no de la masa.
Los problemas de aplicación práctica como el niño que debe correr para atrapar una pelota, combinan cinemática vertical con horizontal. Primero calcula el tiempo de caída, luego la velocidad horizontal necesaria.
💡 Truco: En caída libre, el tiempo no depende de la masa del objeto. Una pluma y una pelota caen igual (sin aire).
Estos ejercicios te preparan para entender conceptos más avanzados como el movimiento parabólico. ¡Ya tienes todas las herramientas básicas de cinemática!
Nuestro compañero de IA está específicamente adaptado a las necesidades de los estudiantes. Basándonos en los millones de contenidos que tenemos en la plataforma, podemos dar a los estudiantes respuestas realmente significativas y relevantes. Pero no se trata solo de respuestas, el compañero también guía a los estudiantes a través de sus retos de aprendizaje diarios, con planes de aprendizaje personalizados, cuestionarios o contenidos en el chat y una personalización del 100% basada en las habilidades y el desarrollo de los estudiantes.
Puedes descargar la app en Google Play Store y Apple App Store.
Sí, tienes acceso gratuito a los contenidos de la aplicación y a nuestro compañero de IA. Para desbloquear determinadas funciones de la aplicación, puedes adquirir Knowunity Pro.
Sintexis de Lengua Castellana. Incluye las oraciones simples, los complementos y todas las oraciones compuestas
App Store
Google Play
La app es muy fácil de usar y está muy bien diseñada. Hasta ahora he encontrado todo lo que estaba buscando y he podido aprender mucho de las presentaciones. Definitivamente utilizaré la aplicación para un examen de clase. Y, por supuesto, también me sirve mucho de inspiración.
Pablo
usuario de iOS
Esta app es realmente genial. Hay tantos apuntes de clase y ayuda [...]. Tengo problemas con matemáticas, por ejemplo, y la aplicación tiene muchas opciones de ayuda. Gracias a Knowunity, he mejorado en mates. Se la recomiendo a todo el mundo.
Elena
usuaria de Android
Vaya, estoy realmente sorprendida. Acabo de probar la app porque la he visto anunciada muchas veces y me he quedado absolutamente alucinada. Esta app es LA AYUDA que quieres para el insti y, sobre todo, ofrece muchísimas cosas, como ejercicios y hojas informativas, que a mí personalmente me han sido MUY útiles.
Ana
usuaria de iOS
Está app es muy buena, tiene apuntes que son de mucha ayuda y su IA es fantástica, te explica a la perfección y muy fácil de entender lo que necesites, te ayuda con los deberes, te hace esquemas... en definitiva es una muy buena opción!
Sophia
usuario de Android
Me encanta!!! Me resuelve todo con detalle y me da la explicación correcta. Tiene un montón de funciones, ami me ha ido genial!! Os la recomiendo!!!
Marta
usuaria de Android
La uso casi diariamente, sirve para todas las asignaturas. Yo, por ejemplo la utilizo más en inglés porque se me da bastante mal, ¡Todas las respuestas están correctas! Consta con personas reales que suben sus apuntes y IA para que puedas hacer los deberes muchísimo más fácil, la recomiendo.
Izan
usuario de iOS
¡La app es buenísima! Sólo tengo que introducir el tema en la barra de búsqueda y recibo la respuesta muy rápido. No tengo que ver 10 vídeos de YouTube para entender algo, así que me ahorro tiempo. ¡Muy recomendable!
Sara
usuaria de Android
En el instituto era muy malo en matemáticas, pero gracias a la app, ahora saco mejores notas. Os agradezco mucho que hayáis creado la aplicación.
Roberto
usuario de Android
Esto no es como Chatgpt, es MUCHISMO MEJOR, te hace unos resúmenes espectaculares y gracias a esta app pase de sacar 5-6 a sacar 8-9.
Julyana
usuaria de Android
Es la mejor aplicación del mundo, la uso para revisar los deberes a mi hijo.
Javier
usuario de Android
LOS QUIZ Y FLASHCARDS SON SÚPER ÚTILES Y ME ENCANTA Knowunity IA. ADEMÁS ES LITERALMENTE COMO CHATGPT PERO MÁS LISTO!! ME AYUDÓ TAMBIÉN CON MIS PROBLEMAS DE MÁSCARA!! Y CON MIS ASIGNATURAS DE VERDAD! OBVIO 😍😁😲🤑💗✨🎀😮
Erick
usuario de Android
Me me encanta esta app, todo lo que tiene es de calidad ya que antes de ser publicado es revisado por un equipo de profesionales. Me ha ido genial esta aplicación ya que gracias a ella puedo estudiar mucho mejor, sin tener que agobiarme porque mi profesor no ha hecho teoría o porque no entiendo su teoría. Le doy un 10 de 10!
Mar
usuaria de iOS
La app es muy fácil de usar y está muy bien diseñada. Hasta ahora he encontrado todo lo que estaba buscando y he podido aprender mucho de las presentaciones. Definitivamente utilizaré la aplicación para un examen de clase. Y, por supuesto, también me sirve mucho de inspiración.
Pablo
usuario de iOS
Esta app es realmente genial. Hay tantos apuntes de clase y ayuda [...]. Tengo problemas con matemáticas, por ejemplo, y la aplicación tiene muchas opciones de ayuda. Gracias a Knowunity, he mejorado en mates. Se la recomiendo a todo el mundo.
Elena
usuaria de Android
Vaya, estoy realmente sorprendida. Acabo de probar la app porque la he visto anunciada muchas veces y me he quedado absolutamente alucinada. Esta app es LA AYUDA que quieres para el insti y, sobre todo, ofrece muchísimas cosas, como ejercicios y hojas informativas, que a mí personalmente me han sido MUY útiles.
Ana
usuaria de iOS
Está app es muy buena, tiene apuntes que son de mucha ayuda y su IA es fantástica, te explica a la perfección y muy fácil de entender lo que necesites, te ayuda con los deberes, te hace esquemas... en definitiva es una muy buena opción!
Sophia
usuario de Android
Me encanta!!! Me resuelve todo con detalle y me da la explicación correcta. Tiene un montón de funciones, ami me ha ido genial!! Os la recomiendo!!!
Marta
usuaria de Android
La uso casi diariamente, sirve para todas las asignaturas. Yo, por ejemplo la utilizo más en inglés porque se me da bastante mal, ¡Todas las respuestas están correctas! Consta con personas reales que suben sus apuntes y IA para que puedas hacer los deberes muchísimo más fácil, la recomiendo.
Izan
usuario de iOS
¡La app es buenísima! Sólo tengo que introducir el tema en la barra de búsqueda y recibo la respuesta muy rápido. No tengo que ver 10 vídeos de YouTube para entender algo, así que me ahorro tiempo. ¡Muy recomendable!
Sara
usuaria de Android
En el instituto era muy malo en matemáticas, pero gracias a la app, ahora saco mejores notas. Os agradezco mucho que hayáis creado la aplicación.
Roberto
usuario de Android
Esto no es como Chatgpt, es MUCHISMO MEJOR, te hace unos resúmenes espectaculares y gracias a esta app pase de sacar 5-6 a sacar 8-9.
Julyana
usuaria de Android
Es la mejor aplicación del mundo, la uso para revisar los deberes a mi hijo.
Javier
usuario de Android
LOS QUIZ Y FLASHCARDS SON SÚPER ÚTILES Y ME ENCANTA Knowunity IA. ADEMÁS ES LITERALMENTE COMO CHATGPT PERO MÁS LISTO!! ME AYUDÓ TAMBIÉN CON MIS PROBLEMAS DE MÁSCARA!! Y CON MIS ASIGNATURAS DE VERDAD! OBVIO 😍😁😲🤑💗✨🎀😮
Erick
usuario de Android
Me me encanta esta app, todo lo que tiene es de calidad ya que antes de ser publicado es revisado por un equipo de profesionales. Me ha ido genial esta aplicación ya que gracias a ella puedo estudiar mucho mejor, sin tener que agobiarme porque mi profesor no ha hecho teoría o porque no entiendo su teoría. Le doy un 10 de 10!
Mar
usuaria de iOS
Gorka
@goorkaap
Los vectores son herramientas matemáticas súper útiles para describir el mundo físico que te rodea. Cuando estudies física y cinemática, necesitarás entender cómo funcionan para resolver problemas de movimiento con total confianza.

Acceso a todos los documentos
Mejora tus notas
Únete a millones de estudiantes
¿Te has preguntado por qué no basta con decir que un coche va a 120 km/h? Porque te falta información clave: ¿hacia dónde va? Aquí entran los vectores.
Un vector es como una flecha que tiene tres características: módulo (su longitud), dirección (la recta donde está) y sentido (hacia dónde apunta). Las magnitudes que necesitan vector para describirse completamente se llaman magnitudes vectoriales.
Por el contrario, las magnitudes escalares solo necesitan un número y sus unidades. La temperatura es escalar (20°C), pero la velocidad es vectorial .
💡 Truco: Si puedes preguntarte "¿hacia dónde?" sobre una magnitud, probablemente sea vectorial.
Los sistemas de referencia cartesianos te permiten ubicar vectores usando ejes perpendiculares. Lo genial es que puedes orientar estos ejes como quieras para hacer los ejercicios más fáciles.

Acceso a todos los documentos
Mejora tus notas
Únete a millones de estudiantes
Las componentes de un vector son sus proyecciones sobre los ejes x, y, z. Es como descomponer una fuerza en partes más manejables. Si tienes un vector en 2D, se escribe como v⃗ = (vₓ, vᵧ).
Para calcular el módulo (longitud) de un vector, usas el teorema de Pitágoras. En 2D: |v⃗| = √. En 3D añades la componente z.
Los vectores unitarios (î, ĵ, k̂) son vectores de módulo 1 que marcan las direcciones de los ejes. Te permiten escribir vectores como v⃗ = 3î + 4ĵ.
💡 Dato útil: Para encontrar componentes usa trigonometría: vₓ = |v⃗|cos(α) y vᵧ = |v⃗|sen(α).
La notación vectorial puede parecer complicada al principio, pero una vez que la domines, te resultará súper intuitiva.

Acceso a todos los documentos
Mejora tus notas
Únete a millones de estudiantes
Calcular el módulo y ángulo de un vector es pan comido cuando conoces sus componentes. Para el módulo usas Pitágoras, y para el ángulo: tan(α) = vᵧ/vₓ, luego α = arctan.
La suma y resta de vectores se hace componente a componente. Si tienes v⃗₁ = 2î - 5ĵ y v⃗₂ = -3î + 4ĵ, entonces v⃗₁ + v⃗₂ = -î - ĵ. ¡Así de simple!
Multiplicar un número por un vector significa multiplicar cada componente por ese número. 4v⃗ = 4(2î - 5ĵ) = 8î - 20ĵ.
💡 Consejo: El producto escalar A⃗ · B⃗ se puede calcular de dos formas: |A⃗||B⃗|cos(α) o AₓBₓ + AᵧBᵧ + AᵤBᵤ.
El producto escalar es conmutativo y si dos vectores son perpendiculares, su producto escalar es cero. Esta propiedad te será muy útil para identificar vectores perpendiculares.

Acceso a todos los documentos
Mejora tus notas
Únete a millones de estudiantes
Para encontrar el ángulo entre dos vectores, despejas el coseno de la fórmula del producto escalar: cos(θ) = (A⃗·B⃗)/(|A⃗||B⃗|).
El proceso es directo: calculas el producto escalar, después los módulos de ambos vectores, y finalmente aplicas el arcocoseno para obtener el ángulo.
💡 Recuerda: Si el producto escalar es cero, los vectores son perpendiculares (ángulo de 90°).
Esta fórmula te funcionará siempre, sin importar en cuántas dimensiones trabajes. Es una herramienta poderosa que usarás constantemente en física.

Acceso a todos los documentos
Mejora tus notas
Únete a millones de estudiantes
El MRU describe objetos que se mueven en línea recta a velocidad constante. Su ecuación básica es s = s₀ + vt, donde s es la posición final, s₀ la inicial, v la velocidad y t el tiempo.
Es crucial distinguir entre desplazamiento (cambio de posición, puede ser negativo) y distancia recorrida (siempre positiva). El desplazamiento es vectorial, la distancia es escalar.
Los ejercicios de cruces son clásicos: dos objetos que van al encuentro. La clave es plantear las ecuaciones de movimiento para cada uno y encontrar cuándo están en la misma posición.
💡 Truco para cruces: La velocidad relativa es la suma de las velocidades cuando van al encuentro.
Para resolver estos problemas, convierte siempre las unidades a m/s y define bien tu sistema de referencia desde el principio.

Acceso a todos los documentos
Mejora tus notas
Únete a millones de estudiantes
Los ejercicios de persecución requieren que un objeto salga después que otro. La clave es que el perseguidor tiene una ventaja inicial en tiempo que debes considerar en tus ecuaciones.
En el problema del tren que cruza un puente, recuerda que el tren ha "pasado completamente" cuando su cola abandona el puente. Por eso la distancia recorrida es longitud del puente + longitud del tren.
💡 Estrategia clave: En persecuciones, iguala las posiciones de ambos objetos considerando que uno salió antes.
El MRU es la base de la cinemática. Una vez que domines estos conceptos y tipos de ejercicios, podrás abordar movimientos más complejos con total confianza.

Acceso a todos los documentos
Mejora tus notas
Únete a millones de estudiantes
El MRUA describe objetos que cambian su velocidad de forma constante. Tienes tres ecuaciones fundamentales que debes memorizar:
La aceleración (a) se mide en m/s² y puede ser positiva (acelera) o negativa (frena). Elige la ecuación según los datos que tengas y lo que necesites calcular.
Para resolver ejercicios de MRUA, identifica qué datos tienes y qué buscas. Luego selecciona la ecuación más directa. Si buscas tiempo y tienes velocidades, usa la primera. Si buscas distancia sin tiempo, usa la tercera.
💡 Consejo: Siempre define el sentido positivo de tu sistema de referencia antes de empezar.
Los ejercicios tipo examen suelen combinar varios tramos: aceleración, velocidad constante y frenado. Resuelve cada tramo por separado usando las ecuaciones apropiadas.

Acceso a todos los documentos
Mejora tus notas
Únete a millones de estudiantes
Los ejercicios de examen suelen involucrar situaciones donde un objeto alcanza a otro. Un vehículo con MRU y otro con MRUA que arranca desde el reposo es un clásico.
Para resolverlos, plantea las ecuaciones de movimiento de cada objeto y encuentra cuándo sus posiciones son iguales. El objeto que acelera eventualmente alcanzará al que va a velocidad constante.
En problemas con varios tramos de movimiento, identifica cada fase: aceleración, velocidad constante, frenado. Cada tramo tiene sus propias ecuaciones y condiciones iniciales.
💡 Estrategia: La velocidad final de un tramo es la velocidad inicial del siguiente.
La aceleración de frenado siempre es negativa si defines el movimiento hacia adelante como positivo. No olvides que cuando un objeto se detiene, su velocidad final es cero.

Acceso a todos los documentos
Mejora tus notas
Únete a millones de estudiantes
Los movimientos verticales son casos especiales de MRUA donde a = g = 9,8 m/s² (hacia abajo). Tienes tres tipos: lanzamiento hacia arriba, hacia abajo y caída libre.
En el lanzamiento hacia arriba, el objeto sube hasta detenerse y luego cae. La altura máxima se alcanza cuando la velocidad es cero. Usa v = v₀ - gt para encontrar ese momento.
Para la caída libre, el objeto parte del reposo desde cierta altura. La velocidad aumenta constantemente mientras cae.
💡 Dato importante: Un objeto lanzado hacia arriba regresa al suelo con la misma velocidad (en módulo) con que fue lanzado.
Define siempre tu sistema de referencia. Si tomas hacia arriba como positivo, la gravedad será g = -9,8 m/s². Si tomas hacia abajo como positivo, será g = +9,8 m/s².

Acceso a todos los documentos
Mejora tus notas
Únete a millones de estudiantes
Los ejercicios complejos combinan lanzamiento vertical con diferentes alturas iniciales. Cuando lanzas un objeto hacia arriba desde un edificio, suma la altura del edificio a la altura máxima del lanzamiento.
Para objetos que caen desde cierta altura, usa y = y₀ - ½gt² . El tiempo de caída depende solo de la altura, no de la masa.
Los problemas de aplicación práctica como el niño que debe correr para atrapar una pelota, combinan cinemática vertical con horizontal. Primero calcula el tiempo de caída, luego la velocidad horizontal necesaria.
💡 Truco: En caída libre, el tiempo no depende de la masa del objeto. Una pluma y una pelota caen igual (sin aire).
Estos ejercicios te preparan para entender conceptos más avanzados como el movimiento parabólico. ¡Ya tienes todas las herramientas básicas de cinemática!
Nuestro compañero de IA está específicamente adaptado a las necesidades de los estudiantes. Basándonos en los millones de contenidos que tenemos en la plataforma, podemos dar a los estudiantes respuestas realmente significativas y relevantes. Pero no se trata solo de respuestas, el compañero también guía a los estudiantes a través de sus retos de aprendizaje diarios, con planes de aprendizaje personalizados, cuestionarios o contenidos en el chat y una personalización del 100% basada en las habilidades y el desarrollo de los estudiantes.
Puedes descargar la app en Google Play Store y Apple App Store.
Sí, tienes acceso gratuito a los contenidos de la aplicación y a nuestro compañero de IA. Para desbloquear determinadas funciones de la aplicación, puedes adquirir Knowunity Pro.
10
Herramientas Inteligentes NUEVO
Transforma estos apuntes en: ✓ 50+ Preguntas de Práctica ✓ Flashcards Interactivas ✓ Examen Completo de Práctica ✓ Esquemas de Ensayo
Sintexis de Lengua Castellana. Incluye las oraciones simples, los complementos y todas las oraciones compuestas
App Store
Google Play
La app es muy fácil de usar y está muy bien diseñada. Hasta ahora he encontrado todo lo que estaba buscando y he podido aprender mucho de las presentaciones. Definitivamente utilizaré la aplicación para un examen de clase. Y, por supuesto, también me sirve mucho de inspiración.
Pablo
usuario de iOS
Esta app es realmente genial. Hay tantos apuntes de clase y ayuda [...]. Tengo problemas con matemáticas, por ejemplo, y la aplicación tiene muchas opciones de ayuda. Gracias a Knowunity, he mejorado en mates. Se la recomiendo a todo el mundo.
Elena
usuaria de Android
Vaya, estoy realmente sorprendida. Acabo de probar la app porque la he visto anunciada muchas veces y me he quedado absolutamente alucinada. Esta app es LA AYUDA que quieres para el insti y, sobre todo, ofrece muchísimas cosas, como ejercicios y hojas informativas, que a mí personalmente me han sido MUY útiles.
Ana
usuaria de iOS
Está app es muy buena, tiene apuntes que son de mucha ayuda y su IA es fantástica, te explica a la perfección y muy fácil de entender lo que necesites, te ayuda con los deberes, te hace esquemas... en definitiva es una muy buena opción!
Sophia
usuario de Android
Me encanta!!! Me resuelve todo con detalle y me da la explicación correcta. Tiene un montón de funciones, ami me ha ido genial!! Os la recomiendo!!!
Marta
usuaria de Android
La uso casi diariamente, sirve para todas las asignaturas. Yo, por ejemplo la utilizo más en inglés porque se me da bastante mal, ¡Todas las respuestas están correctas! Consta con personas reales que suben sus apuntes y IA para que puedas hacer los deberes muchísimo más fácil, la recomiendo.
Izan
usuario de iOS
¡La app es buenísima! Sólo tengo que introducir el tema en la barra de búsqueda y recibo la respuesta muy rápido. No tengo que ver 10 vídeos de YouTube para entender algo, así que me ahorro tiempo. ¡Muy recomendable!
Sara
usuaria de Android
En el instituto era muy malo en matemáticas, pero gracias a la app, ahora saco mejores notas. Os agradezco mucho que hayáis creado la aplicación.
Roberto
usuario de Android
Esto no es como Chatgpt, es MUCHISMO MEJOR, te hace unos resúmenes espectaculares y gracias a esta app pase de sacar 5-6 a sacar 8-9.
Julyana
usuaria de Android
Es la mejor aplicación del mundo, la uso para revisar los deberes a mi hijo.
Javier
usuario de Android
LOS QUIZ Y FLASHCARDS SON SÚPER ÚTILES Y ME ENCANTA Knowunity IA. ADEMÁS ES LITERALMENTE COMO CHATGPT PERO MÁS LISTO!! ME AYUDÓ TAMBIÉN CON MIS PROBLEMAS DE MÁSCARA!! Y CON MIS ASIGNATURAS DE VERDAD! OBVIO 😍😁😲🤑💗✨🎀😮
Erick
usuario de Android
Me me encanta esta app, todo lo que tiene es de calidad ya que antes de ser publicado es revisado por un equipo de profesionales. Me ha ido genial esta aplicación ya que gracias a ella puedo estudiar mucho mejor, sin tener que agobiarme porque mi profesor no ha hecho teoría o porque no entiendo su teoría. Le doy un 10 de 10!
Mar
usuaria de iOS
La app es muy fácil de usar y está muy bien diseñada. Hasta ahora he encontrado todo lo que estaba buscando y he podido aprender mucho de las presentaciones. Definitivamente utilizaré la aplicación para un examen de clase. Y, por supuesto, también me sirve mucho de inspiración.
Pablo
usuario de iOS
Esta app es realmente genial. Hay tantos apuntes de clase y ayuda [...]. Tengo problemas con matemáticas, por ejemplo, y la aplicación tiene muchas opciones de ayuda. Gracias a Knowunity, he mejorado en mates. Se la recomiendo a todo el mundo.
Elena
usuaria de Android
Vaya, estoy realmente sorprendida. Acabo de probar la app porque la he visto anunciada muchas veces y me he quedado absolutamente alucinada. Esta app es LA AYUDA que quieres para el insti y, sobre todo, ofrece muchísimas cosas, como ejercicios y hojas informativas, que a mí personalmente me han sido MUY útiles.
Ana
usuaria de iOS
Está app es muy buena, tiene apuntes que son de mucha ayuda y su IA es fantástica, te explica a la perfección y muy fácil de entender lo que necesites, te ayuda con los deberes, te hace esquemas... en definitiva es una muy buena opción!
Sophia
usuario de Android
Me encanta!!! Me resuelve todo con detalle y me da la explicación correcta. Tiene un montón de funciones, ami me ha ido genial!! Os la recomiendo!!!
Marta
usuaria de Android
La uso casi diariamente, sirve para todas las asignaturas. Yo, por ejemplo la utilizo más en inglés porque se me da bastante mal, ¡Todas las respuestas están correctas! Consta con personas reales que suben sus apuntes y IA para que puedas hacer los deberes muchísimo más fácil, la recomiendo.
Izan
usuario de iOS
¡La app es buenísima! Sólo tengo que introducir el tema en la barra de búsqueda y recibo la respuesta muy rápido. No tengo que ver 10 vídeos de YouTube para entender algo, así que me ahorro tiempo. ¡Muy recomendable!
Sara
usuaria de Android
En el instituto era muy malo en matemáticas, pero gracias a la app, ahora saco mejores notas. Os agradezco mucho que hayáis creado la aplicación.
Roberto
usuario de Android
Esto no es como Chatgpt, es MUCHISMO MEJOR, te hace unos resúmenes espectaculares y gracias a esta app pase de sacar 5-6 a sacar 8-9.
Julyana
usuaria de Android
Es la mejor aplicación del mundo, la uso para revisar los deberes a mi hijo.
Javier
usuario de Android
LOS QUIZ Y FLASHCARDS SON SÚPER ÚTILES Y ME ENCANTA Knowunity IA. ADEMÁS ES LITERALMENTE COMO CHATGPT PERO MÁS LISTO!! ME AYUDÓ TAMBIÉN CON MIS PROBLEMAS DE MÁSCARA!! Y CON MIS ASIGNATURAS DE VERDAD! OBVIO 😍😁😲🤑💗✨🎀😮
Erick
usuario de Android
Me me encanta esta app, todo lo que tiene es de calidad ya que antes de ser publicado es revisado por un equipo de profesionales. Me ha ido genial esta aplicación ya que gracias a ella puedo estudiar mucho mejor, sin tener que agobiarme porque mi profesor no ha hecho teoría o porque no entiendo su teoría. Le doy un 10 de 10!
Mar
usuaria de iOS