La interacción gravitatoria y eléctrica son dos de las fuerzas... Mostrar más
Inscríbete para ver los apuntes¡Es gratis!
Acceso a todos los documentos
Mejora tus notas
Únete a millones de estudiantes
Knowunity AI
Asignaturas
Triangle Congruence and Similarity Theorems
Triangle Properties and Classification
Linear Equations and Graphs
Geometric Angle Relationships
Trigonometric Functions and Identities
Equation Solving Techniques
Circle Geometry Fundamentals
Division Operations and Methods
Basic Differentiation Rules
Exponent and Logarithm Properties
Mostrar todos los temas
Human Organ Systems
Reproductive Cell Cycles
Biological Sciences Subdisciplines
Cellular Energy Metabolism
Autotrophic Energy Processes
Inheritance Patterns and Principles
Biomolecular Structure and Organization
Cell Cycle and Division Mechanics
Cellular Organization and Development
Biological Structural Organization
Mostrar todos los temas
Chemical Sciences and Applications
Atomic Structure and Composition
Molecular Electron Structure Representation
Atomic Electron Behavior
Matter Properties and Water
Mole Concept and Calculations
Gas Laws and Behavior
Periodic Table Organization
Chemical Thermodynamics Fundamentals
Chemical Bond Types and Properties
Mostrar todos los temas
European Renaissance and Enlightenment
European Cultural Movements 800-1920
American Revolution Era 1763-1797
American Civil War 1861-1865
Global Imperial Systems
Mongol and Chinese Dynasties
U.S. Presidents and World Leaders
Historical Sources and Documentation
World Wars Era and Impact
World Religious Systems
Mostrar todos los temas
Classic and Contemporary Novels
Literary Character Analysis
Rhetorical Theory and Practice
Classic Literary Narratives
Reading Analysis and Interpretation
Narrative Structure and Techniques
English Language Components
Influential English-Language Authors
Basic Sentence Structure
Narrative Voice and Perspective
Mostrar todos los temas
1,005
•
Actualizado Mar 19, 2026
•
Maite García
@maitegarca_uget
La interacción gravitatoria y eléctrica son dos de las fuerzas... Mostrar más











¿Te has preguntado qué mantiene a la Luna orbitando alrededor de la Tierra? La respuesta está en la Ley de Gravitación Universal de Newton, una de sus mayores contribuciones a la mecánica.
La interacción gravitatoria entre dos cuerpos se explica mediante una fuerza de atracción central que es proporcional al producto de sus masas e inversamente proporcional al cuadrado de la distancia que los separa. Matemáticamente se expresa como: , donde:
Esta fuerza tiene propiedades importantes: es central (actúa en la línea que une ambas masas), es de atracción (siempre atrae), es una fuerza a distancia (no requiere medio material) y cumple con la tercera ley de Newton (acción y reacción).
💡 Dato clave: La fuerza gravitatoria es inmensurable en objetos pequeños porque la constante es muy pequeña $6,67·10^{-11} \text{Nm}^2/\text{kg}^2$. Solo se percibe cuando una de las masas es muy grande (como un planeta) o cuando las masas están muy próximas.

Cuando aplicamos la Ley de Gravitación Universal a problemas prácticos, como el movimiento de planetas alrededor del Sol o satélites alrededor de planetas, podemos obtener información valiosa sobre sus trayectorias.
Normalmente, los cuerpos celestes siguen órbitas elípticas, pero cuando la órbita es circular, la fuerza de atracción actúa como fuerza centrípeta y es constante. Esto produce un movimiento de rotación uniforme que podemos analizar usando la segunda Ley de Newton:
De esta ecuación podemos obtener:
Esta última expresión representa la tercera Ley de Kepler, que establece que el cuadrado del periodo es proporcional al cubo del radio de la órbita.
Otra propiedad importante de la interacción gravitatoria es que verifica el principio de superposición. Esto significa que la fuerza total sobre una masa debida a varias masas es la suma vectorial de las fuerzas individuales:
Este principio es fundamental para resolver problemas donde intervienen múltiples cuerpos.

El concepto de campo nos permite entender cómo un cuerpo puede ejercer influencia sobre su entorno. El campo gravitatorio es la perturbación que produce un cuerpo en el espacio que lo rodea por el hecho de tener masa.
Es un campo vectorial porque a cada punto del espacio le asignamos un vector llamado "intensidad de campo gravitatorio" $\vec{g}$. Este vector tiene la misma dirección y sentido que la fuerza ejercida sobre una masa colocada en ese punto, y se define como:
Donde:
La intensidad del campo gravitatorio se mide en N/kg en el Sistema Internacional.
Cuando varias masas crean un campo gravitatorio, aplicamos el principio de superposición:
🔍 Visualización del campo: El campo gravitatorio se representa mediante líneas de fuerza, que indican la trayectoria que seguiría una unidad de masa abandonada en cualquier punto. El vector intensidad de campo en cada punto es tangente a estas líneas.

La visualización del campo gravitatorio mediante líneas de fuerza nos ayuda a comprender mejor su comportamiento en diferentes situaciones.
En el campo gravitatorio terrestre local, las líneas de fuerza son prácticamente rectas y su dirección coincide con la marcada por . Estas líneas son perpendiculares a la superficie terrestre, apuntando hacia el centro de la Tierra.
Cuando estudiamos el campo gravitatorio creado por una masa puntual, las líneas de fuerza son rectas con direcciones radiales que convergen en el punto donde está la masa. El sentido de estas líneas es siempre hacia la masa que crea el campo.
En el caso del campo gravitatorio creado por dos masas puntuales, las líneas de fuerza ya no son rectas simples. Tienen un extremo en el infinito y el otro en una de las masas. Es importante destacar que estas líneas no son cerradas.
La representación mediante líneas de fuerza proporciona información precisa sobre la dirección y el sentido del campo, aunque no contiene información completa sobre su magnitud. Esta representación es una herramienta visual que nos permite entender cómo se comportaría una partícula en ese campo gravitatorio.

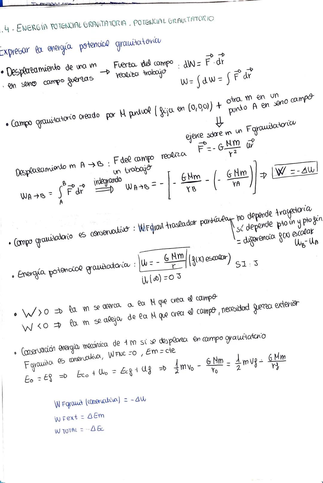
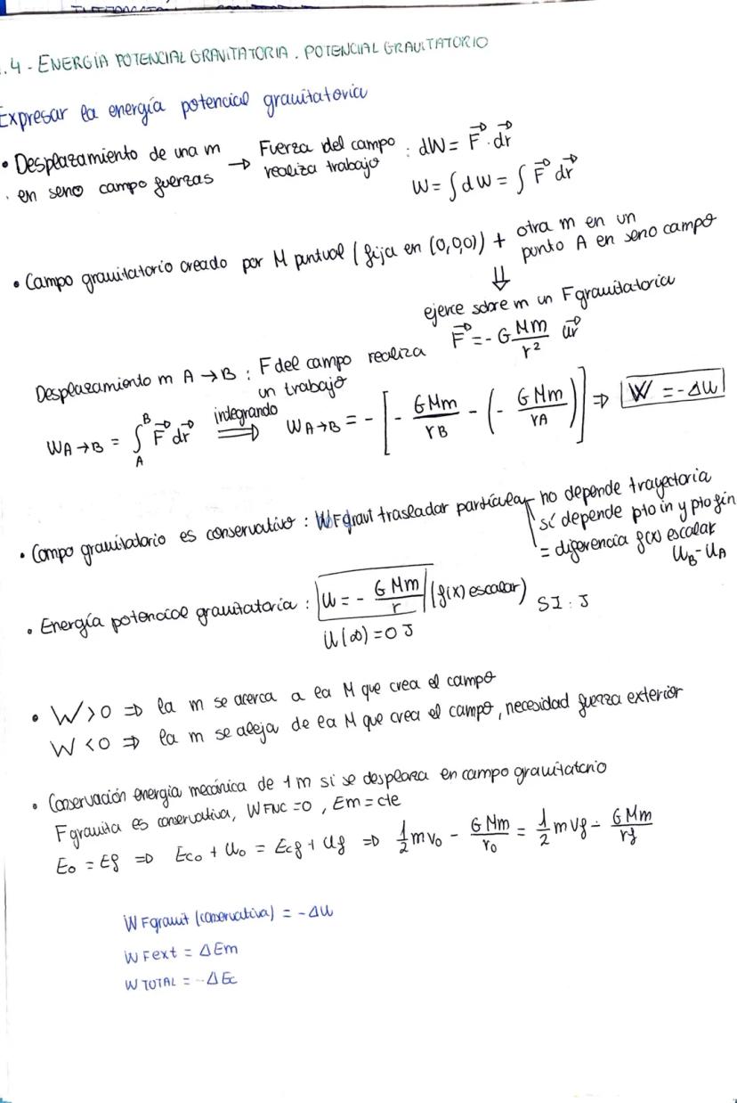
Cuando una masa se desplaza en un campo gravitatorio, la fuerza del campo realiza un trabajo. Este trabajo está relacionado con la energía potencial gravitatoria, un concepto fundamental para entender la dinámica del sistema.
Si una masa se desplaza desde un punto A hasta un punto B en un campo gravitatorio creado por una masa puntual, el trabajo realizado por la fuerza gravitatoria es:
Este trabajo puede expresarse como: , donde es la energía potencial gravitatoria.
El campo gravitatorio es conservativo, lo que significa que el trabajo para trasladar una partícula no depende de la trayectoria seguida, sino solo de los puntos inicial y final.
La energía potencial gravitatoria se expresa como: con $U(∞)=0$ J
Cuando , la masa se acerca a la masa creadora del campo. Si , la masa se aleja y se necesita una fuerza exterior.
💡 Conservación de la energía: En un campo gravitatorio, la energía mecánica $E_m = E_c + U$ se conserva si no hay fuerzas no conservativas. Esto nos permite relacionar velocidades y posiciones:

El potencial gravitatorio ($V$) es un concepto que simplifica el estudio del campo gravitatorio. Se define como la energía potencial por unidad de masa: .
Esta magnitud escalar se mide en J/kg en el SI y nos permite calcular el trabajo realizado por el campo de forma sencilla: . Al igual que la intensidad del campo, el potencial también verifica el principio de superposición: .
Las superficies equipotenciales son lugares geométricos donde todos los puntos tienen el mismo potencial gravitatorio. Estas superficies son esferas concéntricas alrededor de la masa que crea el campo, ya que es constante cuando es constante.
Si trasladamos una masa desde un punto A a un punto B dentro de una misma superficie equipotencial, el trabajo realizado por el campo gravitatorio es cero $W_{A→B} = -m\Delta V = 0$, ya que .
Las líneas de campo gravitatorio son siempre perpendiculares a las superficies equipotenciales, y el potencial disminuye en la dirección del campo. Por convención, se toma J/kg como referencia.
Esta relación entre el campo y el potencial nos permite visualizar el campo gravitatorio de forma más intuitiva y calcular el trabajo y la energía de forma más sencilla.

El campo gravitatorio terrestre es la perturbación que provoca la Tierra en el espacio, creando una fuerza con la que atrae a cualquier masa. La intensidad de este campo a una distancia del centro de la Tierra viene dada por:
Donde:
En cada punto, el vector está dirigido hacia el centro de la Tierra, por lo que las líneas de campo son radiales y rectas.
En las proximidades de la superficie terrestre (cuando $h < 10$ km), podemos considerar que es prácticamente constante e igual a m/s². En este caso, el campo gravitatorio se puede considerar uniforme, y sus líneas de fuerza son paralelas entre sí y perpendiculares a la superficie terrestre.
La fuerza con la que la Tierra atrae a un cuerpo de masa es lo que denominamos peso:
🌍 Importante: Para alturas pequeñas respecto al radio de la Tierra, la energía potencial gravitatoria se puede aproximar por . Esta es la expresión que solemos usar en problemas cotidianos, pero recuerda que solo es válida cerca de la superficie terrestre.

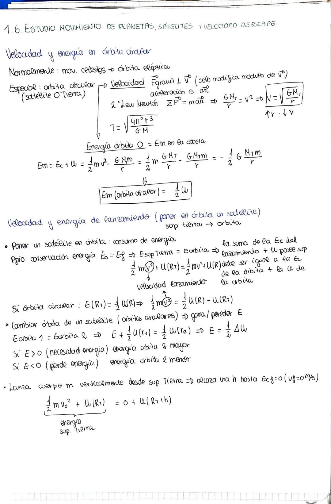
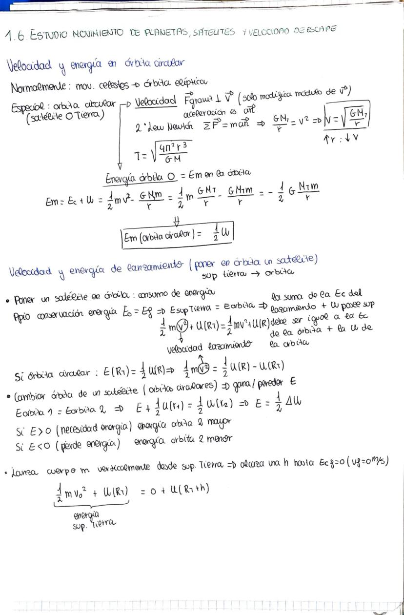
El movimiento de los cuerpos celestes puede analizarse aplicando las leyes de Newton y la conservación de la energía.
Cuando un satélite sigue una órbita circular alrededor de un planeta, la velocidad necesaria para mantenerlo en órbita se obtiene igualando la fuerza gravitatoria con la fuerza centrípeta:
Observa que cuanto mayor sea el radio de la órbita, menor será la velocidad orbital. El período de rotación viene dado por .
La energía mecánica total de un satélite en órbita circular es:
Es importante notar que esta energía es negativa e igual a la mitad de la energía potencial.
Para poner un satélite en órbita, es necesario proporcionarle la energía suficiente. Aplicando el principio de conservación de la energía:
Cuando se cambia la órbita de un satélite, también cambia su energía. Si la energía de la nueva órbita es mayor, se necesita aportar energía; si es menor, el satélite pierde energía.
🚀 Velocidad de escape: Es la velocidad mínima que debe adquirir un cuerpo para escapar del campo gravitatorio de un planeta. Se calcula como: . Para la Tierra, esta velocidad es aproximadamente 11,2 km/s.

La velocidad de escape es un concepto fundamental en la exploración espacial. Se define como la velocidad mínima que debe adquirir un cuerpo para escapar completamente del campo gravitatorio de un planeta sin necesidad de propulsión adicional.
Para calcular esta velocidad, utilizamos el principio de conservación de la energía. Un cuerpo escapará del campo gravitatorio si su energía mecánica total es al menos cero cuando se encuentra en el infinito (donde la energía potencial es nula).
Partiendo de la conservación de la energía:
Desarrollando:
Despejando la velocidad de escape:
Esta expresión nos indica que la velocidad de escape:
Para que un cuerpo pueda escapar de la órbita terrestre, su velocidad de lanzamiento debe ser mayor que la velocidad de escape. En el caso de la Tierra, la velocidad de escape es aproximadamente 11,2 km/s, un valor crucial en el diseño de misiones espaciales.

Al resolver problemas de gravitación, es importante justificar adecuadamente las ecuaciones utilizadas. Estas son las principales justificaciones:
Cuando aplicamos la Segunda Ley de Newton a un cuerpo en órbita circular, la fuerza gravitatoria actúa como fuerza centrípeta:
La fuerza es perpendicular a la velocidad, por lo que solo modifica el módulo de la velocidad, no su dirección ni sentido.
El módulo del campo gravitatorio a una distancia del centro de una masa es:
Como el campo que crea una partícula no depende del resto, podemos aplicar el principio de superposición:
La fuerza gravitatoria es conservativa por ser central. Si el trabajo de las fuerzas no conservativas es cero, la energía mecánica se conserva:
El trabajo realizado por el campo gravitatorio se calcula como la variación de la energía potencial:
También podemos relacionar los distintos tipos de trabajo:
Nuestro compañero de IA está específicamente adaptado a las necesidades de los estudiantes. Basándonos en los millones de contenidos que tenemos en la plataforma, podemos dar a los estudiantes respuestas realmente significativas y relevantes. Pero no se trata solo de respuestas, el compañero también guía a los estudiantes a través de sus retos de aprendizaje diarios, con planes de aprendizaje personalizados, cuestionarios o contenidos en el chat y una personalización del 100% basada en las habilidades y el desarrollo de los estudiantes.
Puedes descargar la app en Google Play Store y Apple App Store.
Sí, tienes acceso gratuito a los contenidos de la aplicación y a nuestro compañero de IA. Para desbloquear determinadas funciones de la aplicación, puedes adquirir Knowunity Pro.
Sintexis de Lengua Castellana. Incluye las oraciones simples, los complementos y todas las oraciones compuestas
App Store
Google Play
La app es muy fácil de usar y está muy bien diseñada. Hasta ahora he encontrado todo lo que estaba buscando y he podido aprender mucho de las presentaciones. Definitivamente utilizaré la aplicación para un examen de clase. Y, por supuesto, también me sirve mucho de inspiración.
Pablo
usuario de iOS
Esta app es realmente genial. Hay tantos apuntes de clase y ayuda [...]. Tengo problemas con matemáticas, por ejemplo, y la aplicación tiene muchas opciones de ayuda. Gracias a Knowunity, he mejorado en mates. Se la recomiendo a todo el mundo.
Elena
usuaria de Android
Vaya, estoy realmente sorprendida. Acabo de probar la app porque la he visto anunciada muchas veces y me he quedado absolutamente alucinada. Esta app es LA AYUDA que quieres para el insti y, sobre todo, ofrece muchísimas cosas, como ejercicios y hojas informativas, que a mí personalmente me han sido MUY útiles.
Ana
usuaria de iOS
Está app es muy buena, tiene apuntes que son de mucha ayuda y su IA es fantástica, te explica a la perfección y muy fácil de entender lo que necesites, te ayuda con los deberes, te hace esquemas... en definitiva es una muy buena opción!
Sophia
usuario de Android
Me encanta!!! Me resuelve todo con detalle y me da la explicación correcta. Tiene un montón de funciones, ami me ha ido genial!! Os la recomiendo!!!
Marta
usuaria de Android
La uso casi diariamente, sirve para todas las asignaturas. Yo, por ejemplo la utilizo más en inglés porque se me da bastante mal, ¡Todas las respuestas están correctas! Consta con personas reales que suben sus apuntes y IA para que puedas hacer los deberes muchísimo más fácil, la recomiendo.
Izan
usuario de iOS
¡La app es buenísima! Sólo tengo que introducir el tema en la barra de búsqueda y recibo la respuesta muy rápido. No tengo que ver 10 vídeos de YouTube para entender algo, así que me ahorro tiempo. ¡Muy recomendable!
Sara
usuaria de Android
En el instituto era muy malo en matemáticas, pero gracias a la app, ahora saco mejores notas. Os agradezco mucho que hayáis creado la aplicación.
Roberto
usuario de Android
Esto no es como Chatgpt, es MUCHISMO MEJOR, te hace unos resúmenes espectaculares y gracias a esta app pase de sacar 5-6 a sacar 8-9.
Julyana
usuaria de Android
Es la mejor aplicación del mundo, la uso para revisar los deberes a mi hijo.
Javier
usuario de Android
LOS QUIZ Y FLASHCARDS SON SÚPER ÚTILES Y ME ENCANTA Knowunity IA. ADEMÁS ES LITERALMENTE COMO CHATGPT PERO MÁS LISTO!! ME AYUDÓ TAMBIÉN CON MIS PROBLEMAS DE MÁSCARA!! Y CON MIS ASIGNATURAS DE VERDAD! OBVIO 😍😁😲🤑💗✨🎀😮
Erick
usuario de Android
Me me encanta esta app, todo lo que tiene es de calidad ya que antes de ser publicado es revisado por un equipo de profesionales. Me ha ido genial esta aplicación ya que gracias a ella puedo estudiar mucho mejor, sin tener que agobiarme porque mi profesor no ha hecho teoría o porque no entiendo su teoría. Le doy un 10 de 10!
Mar
usuaria de iOS
La app es muy fácil de usar y está muy bien diseñada. Hasta ahora he encontrado todo lo que estaba buscando y he podido aprender mucho de las presentaciones. Definitivamente utilizaré la aplicación para un examen de clase. Y, por supuesto, también me sirve mucho de inspiración.
Pablo
usuario de iOS
Esta app es realmente genial. Hay tantos apuntes de clase y ayuda [...]. Tengo problemas con matemáticas, por ejemplo, y la aplicación tiene muchas opciones de ayuda. Gracias a Knowunity, he mejorado en mates. Se la recomiendo a todo el mundo.
Elena
usuaria de Android
Vaya, estoy realmente sorprendida. Acabo de probar la app porque la he visto anunciada muchas veces y me he quedado absolutamente alucinada. Esta app es LA AYUDA que quieres para el insti y, sobre todo, ofrece muchísimas cosas, como ejercicios y hojas informativas, que a mí personalmente me han sido MUY útiles.
Ana
usuaria de iOS
Está app es muy buena, tiene apuntes que son de mucha ayuda y su IA es fantástica, te explica a la perfección y muy fácil de entender lo que necesites, te ayuda con los deberes, te hace esquemas... en definitiva es una muy buena opción!
Sophia
usuario de Android
Me encanta!!! Me resuelve todo con detalle y me da la explicación correcta. Tiene un montón de funciones, ami me ha ido genial!! Os la recomiendo!!!
Marta
usuaria de Android
La uso casi diariamente, sirve para todas las asignaturas. Yo, por ejemplo la utilizo más en inglés porque se me da bastante mal, ¡Todas las respuestas están correctas! Consta con personas reales que suben sus apuntes y IA para que puedas hacer los deberes muchísimo más fácil, la recomiendo.
Izan
usuario de iOS
¡La app es buenísima! Sólo tengo que introducir el tema en la barra de búsqueda y recibo la respuesta muy rápido. No tengo que ver 10 vídeos de YouTube para entender algo, así que me ahorro tiempo. ¡Muy recomendable!
Sara
usuaria de Android
En el instituto era muy malo en matemáticas, pero gracias a la app, ahora saco mejores notas. Os agradezco mucho que hayáis creado la aplicación.
Roberto
usuario de Android
Esto no es como Chatgpt, es MUCHISMO MEJOR, te hace unos resúmenes espectaculares y gracias a esta app pase de sacar 5-6 a sacar 8-9.
Julyana
usuaria de Android
Es la mejor aplicación del mundo, la uso para revisar los deberes a mi hijo.
Javier
usuario de Android
LOS QUIZ Y FLASHCARDS SON SÚPER ÚTILES Y ME ENCANTA Knowunity IA. ADEMÁS ES LITERALMENTE COMO CHATGPT PERO MÁS LISTO!! ME AYUDÓ TAMBIÉN CON MIS PROBLEMAS DE MÁSCARA!! Y CON MIS ASIGNATURAS DE VERDAD! OBVIO 😍😁😲🤑💗✨🎀😮
Erick
usuario de Android
Me me encanta esta app, todo lo que tiene es de calidad ya que antes de ser publicado es revisado por un equipo de profesionales. Me ha ido genial esta aplicación ya que gracias a ella puedo estudiar mucho mejor, sin tener que agobiarme porque mi profesor no ha hecho teoría o porque no entiendo su teoría. Le doy un 10 de 10!
Mar
usuaria de iOS
Maite García
@maitegarca_uget
La interacción gravitatoria y eléctrica son dos de las fuerzas fundamentales que rigen el universo. A lo largo de este tema, exploraremos cómo las leyes de Newton y Coulomb describen estas interacciones, sus características matemáticas y sus aplicaciones prácticas, desde... Mostrar más

Acceso a todos los documentos
Mejora tus notas
Únete a millones de estudiantes
¿Te has preguntado qué mantiene a la Luna orbitando alrededor de la Tierra? La respuesta está en la Ley de Gravitación Universal de Newton, una de sus mayores contribuciones a la mecánica.
La interacción gravitatoria entre dos cuerpos se explica mediante una fuerza de atracción central que es proporcional al producto de sus masas e inversamente proporcional al cuadrado de la distancia que los separa. Matemáticamente se expresa como: , donde:
Esta fuerza tiene propiedades importantes: es central (actúa en la línea que une ambas masas), es de atracción (siempre atrae), es una fuerza a distancia (no requiere medio material) y cumple con la tercera ley de Newton (acción y reacción).
💡 Dato clave: La fuerza gravitatoria es inmensurable en objetos pequeños porque la constante es muy pequeña $6,67·10^{-11} \text{Nm}^2/\text{kg}^2$. Solo se percibe cuando una de las masas es muy grande (como un planeta) o cuando las masas están muy próximas.

Acceso a todos los documentos
Mejora tus notas
Únete a millones de estudiantes
Cuando aplicamos la Ley de Gravitación Universal a problemas prácticos, como el movimiento de planetas alrededor del Sol o satélites alrededor de planetas, podemos obtener información valiosa sobre sus trayectorias.
Normalmente, los cuerpos celestes siguen órbitas elípticas, pero cuando la órbita es circular, la fuerza de atracción actúa como fuerza centrípeta y es constante. Esto produce un movimiento de rotación uniforme que podemos analizar usando la segunda Ley de Newton:
De esta ecuación podemos obtener:
Esta última expresión representa la tercera Ley de Kepler, que establece que el cuadrado del periodo es proporcional al cubo del radio de la órbita.
Otra propiedad importante de la interacción gravitatoria es que verifica el principio de superposición. Esto significa que la fuerza total sobre una masa debida a varias masas es la suma vectorial de las fuerzas individuales:
Este principio es fundamental para resolver problemas donde intervienen múltiples cuerpos.

Acceso a todos los documentos
Mejora tus notas
Únete a millones de estudiantes
El concepto de campo nos permite entender cómo un cuerpo puede ejercer influencia sobre su entorno. El campo gravitatorio es la perturbación que produce un cuerpo en el espacio que lo rodea por el hecho de tener masa.
Es un campo vectorial porque a cada punto del espacio le asignamos un vector llamado "intensidad de campo gravitatorio" $\vec{g}$. Este vector tiene la misma dirección y sentido que la fuerza ejercida sobre una masa colocada en ese punto, y se define como:
Donde:
La intensidad del campo gravitatorio se mide en N/kg en el Sistema Internacional.
Cuando varias masas crean un campo gravitatorio, aplicamos el principio de superposición:
🔍 Visualización del campo: El campo gravitatorio se representa mediante líneas de fuerza, que indican la trayectoria que seguiría una unidad de masa abandonada en cualquier punto. El vector intensidad de campo en cada punto es tangente a estas líneas.

Acceso a todos los documentos
Mejora tus notas
Únete a millones de estudiantes
La visualización del campo gravitatorio mediante líneas de fuerza nos ayuda a comprender mejor su comportamiento en diferentes situaciones.
En el campo gravitatorio terrestre local, las líneas de fuerza son prácticamente rectas y su dirección coincide con la marcada por . Estas líneas son perpendiculares a la superficie terrestre, apuntando hacia el centro de la Tierra.
Cuando estudiamos el campo gravitatorio creado por una masa puntual, las líneas de fuerza son rectas con direcciones radiales que convergen en el punto donde está la masa. El sentido de estas líneas es siempre hacia la masa que crea el campo.
En el caso del campo gravitatorio creado por dos masas puntuales, las líneas de fuerza ya no son rectas simples. Tienen un extremo en el infinito y el otro en una de las masas. Es importante destacar que estas líneas no son cerradas.
La representación mediante líneas de fuerza proporciona información precisa sobre la dirección y el sentido del campo, aunque no contiene información completa sobre su magnitud. Esta representación es una herramienta visual que nos permite entender cómo se comportaría una partícula en ese campo gravitatorio.

Acceso a todos los documentos
Mejora tus notas
Únete a millones de estudiantes
Cuando una masa se desplaza en un campo gravitatorio, la fuerza del campo realiza un trabajo. Este trabajo está relacionado con la energía potencial gravitatoria, un concepto fundamental para entender la dinámica del sistema.
Si una masa se desplaza desde un punto A hasta un punto B en un campo gravitatorio creado por una masa puntual, el trabajo realizado por la fuerza gravitatoria es:
Este trabajo puede expresarse como: , donde es la energía potencial gravitatoria.
El campo gravitatorio es conservativo, lo que significa que el trabajo para trasladar una partícula no depende de la trayectoria seguida, sino solo de los puntos inicial y final.
La energía potencial gravitatoria se expresa como: con $U(∞)=0$ J
Cuando , la masa se acerca a la masa creadora del campo. Si , la masa se aleja y se necesita una fuerza exterior.
💡 Conservación de la energía: En un campo gravitatorio, la energía mecánica $E_m = E_c + U$ se conserva si no hay fuerzas no conservativas. Esto nos permite relacionar velocidades y posiciones:

Acceso a todos los documentos
Mejora tus notas
Únete a millones de estudiantes
El potencial gravitatorio ($V$) es un concepto que simplifica el estudio del campo gravitatorio. Se define como la energía potencial por unidad de masa: .
Esta magnitud escalar se mide en J/kg en el SI y nos permite calcular el trabajo realizado por el campo de forma sencilla: . Al igual que la intensidad del campo, el potencial también verifica el principio de superposición: .
Las superficies equipotenciales son lugares geométricos donde todos los puntos tienen el mismo potencial gravitatorio. Estas superficies son esferas concéntricas alrededor de la masa que crea el campo, ya que es constante cuando es constante.
Si trasladamos una masa desde un punto A a un punto B dentro de una misma superficie equipotencial, el trabajo realizado por el campo gravitatorio es cero $W_{A→B} = -m\Delta V = 0$, ya que .
Las líneas de campo gravitatorio son siempre perpendiculares a las superficies equipotenciales, y el potencial disminuye en la dirección del campo. Por convención, se toma J/kg como referencia.
Esta relación entre el campo y el potencial nos permite visualizar el campo gravitatorio de forma más intuitiva y calcular el trabajo y la energía de forma más sencilla.

Acceso a todos los documentos
Mejora tus notas
Únete a millones de estudiantes
El campo gravitatorio terrestre es la perturbación que provoca la Tierra en el espacio, creando una fuerza con la que atrae a cualquier masa. La intensidad de este campo a una distancia del centro de la Tierra viene dada por:
Donde:
En cada punto, el vector está dirigido hacia el centro de la Tierra, por lo que las líneas de campo son radiales y rectas.
En las proximidades de la superficie terrestre (cuando $h < 10$ km), podemos considerar que es prácticamente constante e igual a m/s². En este caso, el campo gravitatorio se puede considerar uniforme, y sus líneas de fuerza son paralelas entre sí y perpendiculares a la superficie terrestre.
La fuerza con la que la Tierra atrae a un cuerpo de masa es lo que denominamos peso:
🌍 Importante: Para alturas pequeñas respecto al radio de la Tierra, la energía potencial gravitatoria se puede aproximar por . Esta es la expresión que solemos usar en problemas cotidianos, pero recuerda que solo es válida cerca de la superficie terrestre.

Acceso a todos los documentos
Mejora tus notas
Únete a millones de estudiantes
El movimiento de los cuerpos celestes puede analizarse aplicando las leyes de Newton y la conservación de la energía.
Cuando un satélite sigue una órbita circular alrededor de un planeta, la velocidad necesaria para mantenerlo en órbita se obtiene igualando la fuerza gravitatoria con la fuerza centrípeta:
Observa que cuanto mayor sea el radio de la órbita, menor será la velocidad orbital. El período de rotación viene dado por .
La energía mecánica total de un satélite en órbita circular es:
Es importante notar que esta energía es negativa e igual a la mitad de la energía potencial.
Para poner un satélite en órbita, es necesario proporcionarle la energía suficiente. Aplicando el principio de conservación de la energía:
Cuando se cambia la órbita de un satélite, también cambia su energía. Si la energía de la nueva órbita es mayor, se necesita aportar energía; si es menor, el satélite pierde energía.
🚀 Velocidad de escape: Es la velocidad mínima que debe adquirir un cuerpo para escapar del campo gravitatorio de un planeta. Se calcula como: . Para la Tierra, esta velocidad es aproximadamente 11,2 km/s.

Acceso a todos los documentos
Mejora tus notas
Únete a millones de estudiantes
La velocidad de escape es un concepto fundamental en la exploración espacial. Se define como la velocidad mínima que debe adquirir un cuerpo para escapar completamente del campo gravitatorio de un planeta sin necesidad de propulsión adicional.
Para calcular esta velocidad, utilizamos el principio de conservación de la energía. Un cuerpo escapará del campo gravitatorio si su energía mecánica total es al menos cero cuando se encuentra en el infinito (donde la energía potencial es nula).
Partiendo de la conservación de la energía:
Desarrollando:
Despejando la velocidad de escape:
Esta expresión nos indica que la velocidad de escape:
Para que un cuerpo pueda escapar de la órbita terrestre, su velocidad de lanzamiento debe ser mayor que la velocidad de escape. En el caso de la Tierra, la velocidad de escape es aproximadamente 11,2 km/s, un valor crucial en el diseño de misiones espaciales.

Acceso a todos los documentos
Mejora tus notas
Únete a millones de estudiantes
Al resolver problemas de gravitación, es importante justificar adecuadamente las ecuaciones utilizadas. Estas son las principales justificaciones:
Cuando aplicamos la Segunda Ley de Newton a un cuerpo en órbita circular, la fuerza gravitatoria actúa como fuerza centrípeta:
La fuerza es perpendicular a la velocidad, por lo que solo modifica el módulo de la velocidad, no su dirección ni sentido.
El módulo del campo gravitatorio a una distancia del centro de una masa es:
Como el campo que crea una partícula no depende del resto, podemos aplicar el principio de superposición:
La fuerza gravitatoria es conservativa por ser central. Si el trabajo de las fuerzas no conservativas es cero, la energía mecánica se conserva:
El trabajo realizado por el campo gravitatorio se calcula como la variación de la energía potencial:
También podemos relacionar los distintos tipos de trabajo:
Nuestro compañero de IA está específicamente adaptado a las necesidades de los estudiantes. Basándonos en los millones de contenidos que tenemos en la plataforma, podemos dar a los estudiantes respuestas realmente significativas y relevantes. Pero no se trata solo de respuestas, el compañero también guía a los estudiantes a través de sus retos de aprendizaje diarios, con planes de aprendizaje personalizados, cuestionarios o contenidos en el chat y una personalización del 100% basada en las habilidades y el desarrollo de los estudiantes.
Puedes descargar la app en Google Play Store y Apple App Store.
Sí, tienes acceso gratuito a los contenidos de la aplicación y a nuestro compañero de IA. Para desbloquear determinadas funciones de la aplicación, puedes adquirir Knowunity Pro.
30
Herramientas Inteligentes NUEVO
Transforma estos apuntes en: ✓ 50+ Preguntas de Práctica ✓ Flashcards Interactivas ✓ Examen Completo de Práctica ✓ Esquemas de Ensayo
Sintexis de Lengua Castellana. Incluye las oraciones simples, los complementos y todas las oraciones compuestas
App Store
Google Play
La app es muy fácil de usar y está muy bien diseñada. Hasta ahora he encontrado todo lo que estaba buscando y he podido aprender mucho de las presentaciones. Definitivamente utilizaré la aplicación para un examen de clase. Y, por supuesto, también me sirve mucho de inspiración.
Pablo
usuario de iOS
Esta app es realmente genial. Hay tantos apuntes de clase y ayuda [...]. Tengo problemas con matemáticas, por ejemplo, y la aplicación tiene muchas opciones de ayuda. Gracias a Knowunity, he mejorado en mates. Se la recomiendo a todo el mundo.
Elena
usuaria de Android
Vaya, estoy realmente sorprendida. Acabo de probar la app porque la he visto anunciada muchas veces y me he quedado absolutamente alucinada. Esta app es LA AYUDA que quieres para el insti y, sobre todo, ofrece muchísimas cosas, como ejercicios y hojas informativas, que a mí personalmente me han sido MUY útiles.
Ana
usuaria de iOS
Está app es muy buena, tiene apuntes que son de mucha ayuda y su IA es fantástica, te explica a la perfección y muy fácil de entender lo que necesites, te ayuda con los deberes, te hace esquemas... en definitiva es una muy buena opción!
Sophia
usuario de Android
Me encanta!!! Me resuelve todo con detalle y me da la explicación correcta. Tiene un montón de funciones, ami me ha ido genial!! Os la recomiendo!!!
Marta
usuaria de Android
La uso casi diariamente, sirve para todas las asignaturas. Yo, por ejemplo la utilizo más en inglés porque se me da bastante mal, ¡Todas las respuestas están correctas! Consta con personas reales que suben sus apuntes y IA para que puedas hacer los deberes muchísimo más fácil, la recomiendo.
Izan
usuario de iOS
¡La app es buenísima! Sólo tengo que introducir el tema en la barra de búsqueda y recibo la respuesta muy rápido. No tengo que ver 10 vídeos de YouTube para entender algo, así que me ahorro tiempo. ¡Muy recomendable!
Sara
usuaria de Android
En el instituto era muy malo en matemáticas, pero gracias a la app, ahora saco mejores notas. Os agradezco mucho que hayáis creado la aplicación.
Roberto
usuario de Android
Esto no es como Chatgpt, es MUCHISMO MEJOR, te hace unos resúmenes espectaculares y gracias a esta app pase de sacar 5-6 a sacar 8-9.
Julyana
usuaria de Android
Es la mejor aplicación del mundo, la uso para revisar los deberes a mi hijo.
Javier
usuario de Android
LOS QUIZ Y FLASHCARDS SON SÚPER ÚTILES Y ME ENCANTA Knowunity IA. ADEMÁS ES LITERALMENTE COMO CHATGPT PERO MÁS LISTO!! ME AYUDÓ TAMBIÉN CON MIS PROBLEMAS DE MÁSCARA!! Y CON MIS ASIGNATURAS DE VERDAD! OBVIO 😍😁😲🤑💗✨🎀😮
Erick
usuario de Android
Me me encanta esta app, todo lo que tiene es de calidad ya que antes de ser publicado es revisado por un equipo de profesionales. Me ha ido genial esta aplicación ya que gracias a ella puedo estudiar mucho mejor, sin tener que agobiarme porque mi profesor no ha hecho teoría o porque no entiendo su teoría. Le doy un 10 de 10!
Mar
usuaria de iOS
La app es muy fácil de usar y está muy bien diseñada. Hasta ahora he encontrado todo lo que estaba buscando y he podido aprender mucho de las presentaciones. Definitivamente utilizaré la aplicación para un examen de clase. Y, por supuesto, también me sirve mucho de inspiración.
Pablo
usuario de iOS
Esta app es realmente genial. Hay tantos apuntes de clase y ayuda [...]. Tengo problemas con matemáticas, por ejemplo, y la aplicación tiene muchas opciones de ayuda. Gracias a Knowunity, he mejorado en mates. Se la recomiendo a todo el mundo.
Elena
usuaria de Android
Vaya, estoy realmente sorprendida. Acabo de probar la app porque la he visto anunciada muchas veces y me he quedado absolutamente alucinada. Esta app es LA AYUDA que quieres para el insti y, sobre todo, ofrece muchísimas cosas, como ejercicios y hojas informativas, que a mí personalmente me han sido MUY útiles.
Ana
usuaria de iOS
Está app es muy buena, tiene apuntes que son de mucha ayuda y su IA es fantástica, te explica a la perfección y muy fácil de entender lo que necesites, te ayuda con los deberes, te hace esquemas... en definitiva es una muy buena opción!
Sophia
usuario de Android
Me encanta!!! Me resuelve todo con detalle y me da la explicación correcta. Tiene un montón de funciones, ami me ha ido genial!! Os la recomiendo!!!
Marta
usuaria de Android
La uso casi diariamente, sirve para todas las asignaturas. Yo, por ejemplo la utilizo más en inglés porque se me da bastante mal, ¡Todas las respuestas están correctas! Consta con personas reales que suben sus apuntes y IA para que puedas hacer los deberes muchísimo más fácil, la recomiendo.
Izan
usuario de iOS
¡La app es buenísima! Sólo tengo que introducir el tema en la barra de búsqueda y recibo la respuesta muy rápido. No tengo que ver 10 vídeos de YouTube para entender algo, así que me ahorro tiempo. ¡Muy recomendable!
Sara
usuaria de Android
En el instituto era muy malo en matemáticas, pero gracias a la app, ahora saco mejores notas. Os agradezco mucho que hayáis creado la aplicación.
Roberto
usuario de Android
Esto no es como Chatgpt, es MUCHISMO MEJOR, te hace unos resúmenes espectaculares y gracias a esta app pase de sacar 5-6 a sacar 8-9.
Julyana
usuaria de Android
Es la mejor aplicación del mundo, la uso para revisar los deberes a mi hijo.
Javier
usuario de Android
LOS QUIZ Y FLASHCARDS SON SÚPER ÚTILES Y ME ENCANTA Knowunity IA. ADEMÁS ES LITERALMENTE COMO CHATGPT PERO MÁS LISTO!! ME AYUDÓ TAMBIÉN CON MIS PROBLEMAS DE MÁSCARA!! Y CON MIS ASIGNATURAS DE VERDAD! OBVIO 😍😁😲🤑💗✨🎀😮
Erick
usuario de Android
Me me encanta esta app, todo lo que tiene es de calidad ya que antes de ser publicado es revisado por un equipo de profesionales. Me ha ido genial esta aplicación ya que gracias a ella puedo estudiar mucho mejor, sin tener que agobiarme porque mi profesor no ha hecho teoría o porque no entiendo su teoría. Le doy un 10 de 10!
Mar
usuaria de iOS