Las ondas están por todas partes: desde el sonido de... Mostrar más
Inscríbete para ver los apuntes¡Es gratis!
Acceso a todos los documentos
Mejora tus notas
Únete a millones de estudiantes
Knowunity AI
Asignaturas
Triangle Congruence and Similarity Theorems
Triangle Properties and Classification
Linear Equations and Graphs
Geometric Angle Relationships
Trigonometric Functions and Identities
Equation Solving Techniques
Circle Geometry Fundamentals
Division Operations and Methods
Basic Differentiation Rules
Exponent and Logarithm Properties
Mostrar todos los temas
Human Organ Systems
Reproductive Cell Cycles
Biological Sciences Subdisciplines
Cellular Energy Metabolism
Autotrophic Energy Processes
Inheritance Patterns and Principles
Biomolecular Structure and Organization
Cell Cycle and Division Mechanics
Cellular Organization and Development
Biological Structural Organization
Mostrar todos los temas
Chemical Sciences and Applications
Atomic Structure and Composition
Molecular Electron Structure Representation
Atomic Electron Behavior
Matter Properties and Water
Mole Concept and Calculations
Gas Laws and Behavior
Periodic Table Organization
Chemical Thermodynamics Fundamentals
Chemical Bond Types and Properties
Mostrar todos los temas
European Renaissance and Enlightenment
European Cultural Movements 800-1920
American Revolution Era 1763-1797
American Civil War 1861-1865
Global Imperial Systems
Mongol and Chinese Dynasties
U.S. Presidents and World Leaders
Historical Sources and Documentation
World Wars Era and Impact
World Religious Systems
Mostrar todos los temas
Classic and Contemporary Novels
Literary Character Analysis
Rhetorical Theory and Practice
Classic Literary Narratives
Reading Analysis and Interpretation
Narrative Structure and Techniques
English Language Components
Influential English-Language Authors
Basic Sentence Structure
Narrative Voice and Perspective
Mostrar todos los temas
134
•
Actualizado Mar 19, 2026
•
Las ondas están por todas partes: desde el sonido de... Mostrar más







¿Sabías que cuando hablas, tu voz crea ondas que viajan por el aire sin mover las partículas de un lugar a otro? El movimiento ondulatorio es fascinante porque transporta energía sin transportar materia.
Primero necesitas entender algunos conceptos básicos. El movimiento periódico se repite cada cierto tiempo, como un péndulo. El movimiento oscilatorio va de un lado a otro de la posición de equilibrio, y cuando es en línea recta se llama movimiento vibratorio.
El movimiento armónico simple (MAS) es especial porque la fuerza que hace volver al objeto a su posición original es proporcional a la distancia. Es como un muelle: cuanto más lo estires, más fuerza hace para volver.
¡Fíjate! Una onda es como lanzar una piedra al agua: la energía se propaga en círculos, pero el agua no se mueve hacia los lados, solo sube y baja.
Las ondas se clasifican de varias formas útiles. Por dimensiones: unidimensionales (como en un muelle), bidimensionales (ondas en el agua) y tridimensionales (como el sonido). Por dirección de vibración: longitudinales (partículas vibran en la dirección de avance, como el sonido) y transversales (vibran perpendiculares, como las ondas del agua).

Cada onda tiene su "personalidad" definida por varias magnitudes que son clave para los exámenes. La amplitud (A) es la distancia máxima que se aleja una partícula de su posición de reposo: determina qué tan "fuerte" es la onda.
El período (T) es el tiempo que tarda en completarse una vibración completa, mientras que la frecuencia (f) es cuántas vibraciones ocurren por segundo. Son inversos: f = 1/T. La longitud de onda (λ) es la distancia entre dos puntos que vibran igual.
La ecuación matemática fundamental es: y = A·sen. Aquí ω es la frecuencia angular y k el número de onda. La velocidad de propagación se calcula como vp = λ/T = λ·f.
¡Recuerda! Las ondas son doblemente periódicas: se repiten en el tiempo (cada período T) y en el espacio (cada longitud de onda λ).
Los puntos más altos se llaman crestas y los más bajos valles. El foco es donde se origina la perturbación. La fase (Φ) te dice en qué punto del ciclo empieza la onda.

En la vida real, las ondas no mantienen su intensidad para siempre. La atenuación explica por qué la música suena más baja cuando te alejas del altavoz.
Para ondas unidimensionales, la amplitud se mantiene constante: A₁ = A₂. En ondas bidimensionales, la amplitud disminuye con la raíz de la distancia: A₁/A₂ = √. Para ondas tridimensionales, disminuye directamente con la distancia: A₁/A₂ = r₂/r₁.
La intensidad (I) es la potencia por unidad de área y es proporcional al cuadrado de la amplitud y al cuadrado de la frecuencia. Esto significa que ondas con mayor amplitud o frecuencia transportan mucha más energía.
¡Importante! En 3D, si doblas la distancia al foco, la intensidad se reduce a la cuarta parte .
La absorción es otro fenómeno que reduce la intensidad de las ondas. Depende de las características del medio: algunos materiales "absorben" mejor las ondas que otros, como las espumas acústicas en estudios de grabación.

Las ondas no solo transportan perturbaciones, transportan energía real. La velocidad de vibración se calcula derivando la ecuación de la onda: v = Aω·cos.
La energía mecánica total es: Em = ½kA², donde se conserva la suma de energía cinética y potencial. La potencia es la energía transportada por unidad de tiempo: P = E/t.
La intensidad depende de la geometría del frente de onda. Para ondas unidimensionales: I = P. Para bidimensionales: I = P/L. Para tridimensionales: I = P/S, donde S es el área de la superficie esférica.
¡Clave! El frente de onda es el conjunto de puntos que vibran igual. Los rayos son líneas perpendiculares al frente que muestran la dirección de propagación.
En ondas cilíndricas (2D), la intensidad es inversamente proporcional a la distancia: I₁/I₂ = r₂/r₁. En ondas esféricas (3D), es inversamente proporcional al cuadrado: I₁/I₂ = r₂²/r₁².

El principio de Huygens explica cómo avanzan las ondas: cada punto de un frente de onda se convierte en un nuevo foco emisor. La envolvente de todas estas nuevas ondas forma el nuevo frente.
La reflexión ocurre cuando una onda choca con una superficie y rebota al mismo medio. Las leyes son simples: el rayo incidente, reflejado y la normal están en el mismo plano, y el ángulo de incidencia equals al de reflexión: i = r.
La refracción sucede cuando la onda pasa a otro medio con diferente velocidad de propagación. El rayo cambia de dirección (excepto en incidencia perpendicular). La ley de Snell relaciona los ángulos: n₁·sen i = n₂·sen r.
¡Fíjate! Cuando la onda va a un medio más "lento", se acerca a la normal. Cuando va a uno más "rápido", se aleja de ella.
El índice de refracción (n) relaciona la velocidad de la luz en el vacío con la velocidad en el medio. Cuanto mayor sea n, más lento va la onda en ese material.

Nuestro compañero de IA está específicamente adaptado a las necesidades de los estudiantes. Basándonos en los millones de contenidos que tenemos en la plataforma, podemos dar a los estudiantes respuestas realmente significativas y relevantes. Pero no se trata solo de respuestas, el compañero también guía a los estudiantes a través de sus retos de aprendizaje diarios, con planes de aprendizaje personalizados, cuestionarios o contenidos en el chat y una personalización del 100% basada en las habilidades y el desarrollo de los estudiantes.
Puedes descargar la app en Google Play Store y Apple App Store.
Sí, tienes acceso gratuito a los contenidos de la aplicación y a nuestro compañero de IA. Para desbloquear determinadas funciones de la aplicación, puedes adquirir Knowunity Pro.
Ondas, luz y sonido
Sintexis de Lengua Castellana. Incluye las oraciones simples, los complementos y todas las oraciones compuestas
App Store
Google Play
La app es muy fácil de usar y está muy bien diseñada. Hasta ahora he encontrado todo lo que estaba buscando y he podido aprender mucho de las presentaciones. Definitivamente utilizaré la aplicación para un examen de clase. Y, por supuesto, también me sirve mucho de inspiración.
Pablo
usuario de iOS
Esta app es realmente genial. Hay tantos apuntes de clase y ayuda [...]. Tengo problemas con matemáticas, por ejemplo, y la aplicación tiene muchas opciones de ayuda. Gracias a Knowunity, he mejorado en mates. Se la recomiendo a todo el mundo.
Elena
usuaria de Android
Vaya, estoy realmente sorprendida. Acabo de probar la app porque la he visto anunciada muchas veces y me he quedado absolutamente alucinada. Esta app es LA AYUDA que quieres para el insti y, sobre todo, ofrece muchísimas cosas, como ejercicios y hojas informativas, que a mí personalmente me han sido MUY útiles.
Ana
usuaria de iOS
Está app es muy buena, tiene apuntes que son de mucha ayuda y su IA es fantástica, te explica a la perfección y muy fácil de entender lo que necesites, te ayuda con los deberes, te hace esquemas... en definitiva es una muy buena opción!
Sophia
usuario de Android
Me encanta!!! Me resuelve todo con detalle y me da la explicación correcta. Tiene un montón de funciones, ami me ha ido genial!! Os la recomiendo!!!
Marta
usuaria de Android
La uso casi diariamente, sirve para todas las asignaturas. Yo, por ejemplo la utilizo más en inglés porque se me da bastante mal, ¡Todas las respuestas están correctas! Consta con personas reales que suben sus apuntes y IA para que puedas hacer los deberes muchísimo más fácil, la recomiendo.
Izan
usuario de iOS
¡La app es buenísima! Sólo tengo que introducir el tema en la barra de búsqueda y recibo la respuesta muy rápido. No tengo que ver 10 vídeos de YouTube para entender algo, así que me ahorro tiempo. ¡Muy recomendable!
Sara
usuaria de Android
En el instituto era muy malo en matemáticas, pero gracias a la app, ahora saco mejores notas. Os agradezco mucho que hayáis creado la aplicación.
Roberto
usuario de Android
Esto no es como Chatgpt, es MUCHISMO MEJOR, te hace unos resúmenes espectaculares y gracias a esta app pase de sacar 5-6 a sacar 8-9.
Julyana
usuaria de Android
Es la mejor aplicación del mundo, la uso para revisar los deberes a mi hijo.
Javier
usuario de Android
LOS QUIZ Y FLASHCARDS SON SÚPER ÚTILES Y ME ENCANTA Knowunity IA. ADEMÁS ES LITERALMENTE COMO CHATGPT PERO MÁS LISTO!! ME AYUDÓ TAMBIÉN CON MIS PROBLEMAS DE MÁSCARA!! Y CON MIS ASIGNATURAS DE VERDAD! OBVIO 😍😁😲🤑💗✨🎀😮
Erick
usuario de Android
Me me encanta esta app, todo lo que tiene es de calidad ya que antes de ser publicado es revisado por un equipo de profesionales. Me ha ido genial esta aplicación ya que gracias a ella puedo estudiar mucho mejor, sin tener que agobiarme porque mi profesor no ha hecho teoría o porque no entiendo su teoría. Le doy un 10 de 10!
Mar
usuaria de iOS
La app es muy fácil de usar y está muy bien diseñada. Hasta ahora he encontrado todo lo que estaba buscando y he podido aprender mucho de las presentaciones. Definitivamente utilizaré la aplicación para un examen de clase. Y, por supuesto, también me sirve mucho de inspiración.
Pablo
usuario de iOS
Esta app es realmente genial. Hay tantos apuntes de clase y ayuda [...]. Tengo problemas con matemáticas, por ejemplo, y la aplicación tiene muchas opciones de ayuda. Gracias a Knowunity, he mejorado en mates. Se la recomiendo a todo el mundo.
Elena
usuaria de Android
Vaya, estoy realmente sorprendida. Acabo de probar la app porque la he visto anunciada muchas veces y me he quedado absolutamente alucinada. Esta app es LA AYUDA que quieres para el insti y, sobre todo, ofrece muchísimas cosas, como ejercicios y hojas informativas, que a mí personalmente me han sido MUY útiles.
Ana
usuaria de iOS
Está app es muy buena, tiene apuntes que son de mucha ayuda y su IA es fantástica, te explica a la perfección y muy fácil de entender lo que necesites, te ayuda con los deberes, te hace esquemas... en definitiva es una muy buena opción!
Sophia
usuario de Android
Me encanta!!! Me resuelve todo con detalle y me da la explicación correcta. Tiene un montón de funciones, ami me ha ido genial!! Os la recomiendo!!!
Marta
usuaria de Android
La uso casi diariamente, sirve para todas las asignaturas. Yo, por ejemplo la utilizo más en inglés porque se me da bastante mal, ¡Todas las respuestas están correctas! Consta con personas reales que suben sus apuntes y IA para que puedas hacer los deberes muchísimo más fácil, la recomiendo.
Izan
usuario de iOS
¡La app es buenísima! Sólo tengo que introducir el tema en la barra de búsqueda y recibo la respuesta muy rápido. No tengo que ver 10 vídeos de YouTube para entender algo, así que me ahorro tiempo. ¡Muy recomendable!
Sara
usuaria de Android
En el instituto era muy malo en matemáticas, pero gracias a la app, ahora saco mejores notas. Os agradezco mucho que hayáis creado la aplicación.
Roberto
usuario de Android
Esto no es como Chatgpt, es MUCHISMO MEJOR, te hace unos resúmenes espectaculares y gracias a esta app pase de sacar 5-6 a sacar 8-9.
Julyana
usuaria de Android
Es la mejor aplicación del mundo, la uso para revisar los deberes a mi hijo.
Javier
usuario de Android
LOS QUIZ Y FLASHCARDS SON SÚPER ÚTILES Y ME ENCANTA Knowunity IA. ADEMÁS ES LITERALMENTE COMO CHATGPT PERO MÁS LISTO!! ME AYUDÓ TAMBIÉN CON MIS PROBLEMAS DE MÁSCARA!! Y CON MIS ASIGNATURAS DE VERDAD! OBVIO 😍😁😲🤑💗✨🎀😮
Erick
usuario de Android
Me me encanta esta app, todo lo que tiene es de calidad ya que antes de ser publicado es revisado por un equipo de profesionales. Me ha ido genial esta aplicación ya que gracias a ella puedo estudiar mucho mejor, sin tener que agobiarme porque mi profesor no ha hecho teoría o porque no entiendo su teoría. Le doy un 10 de 10!
Mar
usuaria de iOS
Las ondas están por todas partes: desde el sonido de tu móvil hasta las ondas de radio que traen tu música favorita. Entender cómo funcionan las ondas te ayudará a comprender muchos fenómenos que ves a diario, desde por qué... Mostrar más

Acceso a todos los documentos
Mejora tus notas
Únete a millones de estudiantes
¿Sabías que cuando hablas, tu voz crea ondas que viajan por el aire sin mover las partículas de un lugar a otro? El movimiento ondulatorio es fascinante porque transporta energía sin transportar materia.
Primero necesitas entender algunos conceptos básicos. El movimiento periódico se repite cada cierto tiempo, como un péndulo. El movimiento oscilatorio va de un lado a otro de la posición de equilibrio, y cuando es en línea recta se llama movimiento vibratorio.
El movimiento armónico simple (MAS) es especial porque la fuerza que hace volver al objeto a su posición original es proporcional a la distancia. Es como un muelle: cuanto más lo estires, más fuerza hace para volver.
¡Fíjate! Una onda es como lanzar una piedra al agua: la energía se propaga en círculos, pero el agua no se mueve hacia los lados, solo sube y baja.
Las ondas se clasifican de varias formas útiles. Por dimensiones: unidimensionales (como en un muelle), bidimensionales (ondas en el agua) y tridimensionales (como el sonido). Por dirección de vibración: longitudinales (partículas vibran en la dirección de avance, como el sonido) y transversales (vibran perpendiculares, como las ondas del agua).

Acceso a todos los documentos
Mejora tus notas
Únete a millones de estudiantes
Cada onda tiene su "personalidad" definida por varias magnitudes que son clave para los exámenes. La amplitud (A) es la distancia máxima que se aleja una partícula de su posición de reposo: determina qué tan "fuerte" es la onda.
El período (T) es el tiempo que tarda en completarse una vibración completa, mientras que la frecuencia (f) es cuántas vibraciones ocurren por segundo. Son inversos: f = 1/T. La longitud de onda (λ) es la distancia entre dos puntos que vibran igual.
La ecuación matemática fundamental es: y = A·sen. Aquí ω es la frecuencia angular y k el número de onda. La velocidad de propagación se calcula como vp = λ/T = λ·f.
¡Recuerda! Las ondas son doblemente periódicas: se repiten en el tiempo (cada período T) y en el espacio (cada longitud de onda λ).
Los puntos más altos se llaman crestas y los más bajos valles. El foco es donde se origina la perturbación. La fase (Φ) te dice en qué punto del ciclo empieza la onda.

Acceso a todos los documentos
Mejora tus notas
Únete a millones de estudiantes
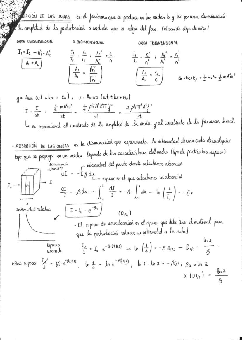
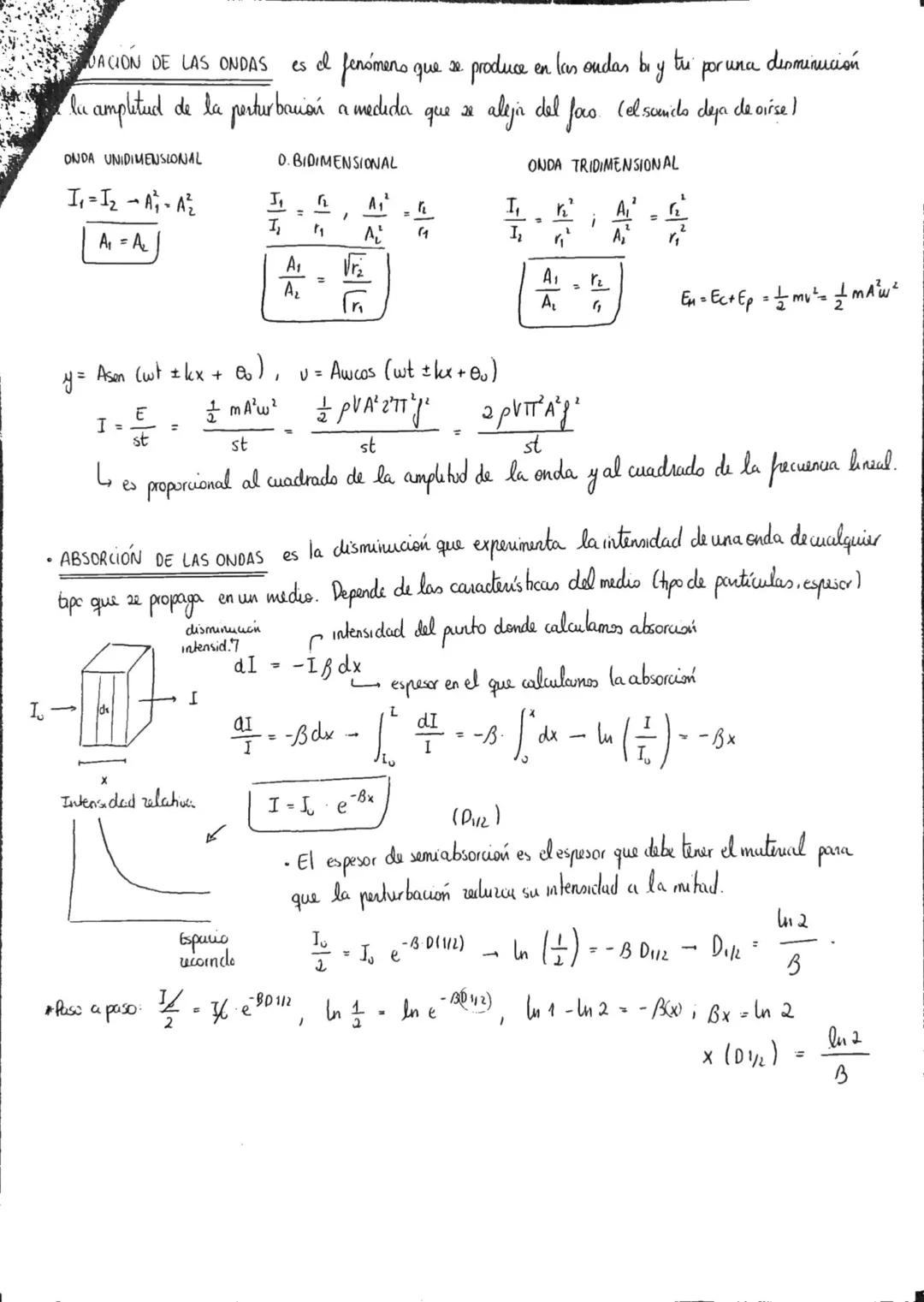
En la vida real, las ondas no mantienen su intensidad para siempre. La atenuación explica por qué la música suena más baja cuando te alejas del altavoz.
Para ondas unidimensionales, la amplitud se mantiene constante: A₁ = A₂. En ondas bidimensionales, la amplitud disminuye con la raíz de la distancia: A₁/A₂ = √. Para ondas tridimensionales, disminuye directamente con la distancia: A₁/A₂ = r₂/r₁.
La intensidad (I) es la potencia por unidad de área y es proporcional al cuadrado de la amplitud y al cuadrado de la frecuencia. Esto significa que ondas con mayor amplitud o frecuencia transportan mucha más energía.
¡Importante! En 3D, si doblas la distancia al foco, la intensidad se reduce a la cuarta parte .
La absorción es otro fenómeno que reduce la intensidad de las ondas. Depende de las características del medio: algunos materiales "absorben" mejor las ondas que otros, como las espumas acústicas en estudios de grabación.

Acceso a todos los documentos
Mejora tus notas
Únete a millones de estudiantes
Las ondas no solo transportan perturbaciones, transportan energía real. La velocidad de vibración se calcula derivando la ecuación de la onda: v = Aω·cos.
La energía mecánica total es: Em = ½kA², donde se conserva la suma de energía cinética y potencial. La potencia es la energía transportada por unidad de tiempo: P = E/t.
La intensidad depende de la geometría del frente de onda. Para ondas unidimensionales: I = P. Para bidimensionales: I = P/L. Para tridimensionales: I = P/S, donde S es el área de la superficie esférica.
¡Clave! El frente de onda es el conjunto de puntos que vibran igual. Los rayos son líneas perpendiculares al frente que muestran la dirección de propagación.
En ondas cilíndricas (2D), la intensidad es inversamente proporcional a la distancia: I₁/I₂ = r₂/r₁. En ondas esféricas (3D), es inversamente proporcional al cuadrado: I₁/I₂ = r₂²/r₁².

Acceso a todos los documentos
Mejora tus notas
Únete a millones de estudiantes
El principio de Huygens explica cómo avanzan las ondas: cada punto de un frente de onda se convierte en un nuevo foco emisor. La envolvente de todas estas nuevas ondas forma el nuevo frente.
La reflexión ocurre cuando una onda choca con una superficie y rebota al mismo medio. Las leyes son simples: el rayo incidente, reflejado y la normal están en el mismo plano, y el ángulo de incidencia equals al de reflexión: i = r.
La refracción sucede cuando la onda pasa a otro medio con diferente velocidad de propagación. El rayo cambia de dirección (excepto en incidencia perpendicular). La ley de Snell relaciona los ángulos: n₁·sen i = n₂·sen r.
¡Fíjate! Cuando la onda va a un medio más "lento", se acerca a la normal. Cuando va a uno más "rápido", se aleja de ella.
El índice de refracción (n) relaciona la velocidad de la luz en el vacío con la velocidad en el medio. Cuanto mayor sea n, más lento va la onda en ese material.

Acceso a todos los documentos
Mejora tus notas
Únete a millones de estudiantes
Nuestro compañero de IA está específicamente adaptado a las necesidades de los estudiantes. Basándonos en los millones de contenidos que tenemos en la plataforma, podemos dar a los estudiantes respuestas realmente significativas y relevantes. Pero no se trata solo de respuestas, el compañero también guía a los estudiantes a través de sus retos de aprendizaje diarios, con planes de aprendizaje personalizados, cuestionarios o contenidos en el chat y una personalización del 100% basada en las habilidades y el desarrollo de los estudiantes.
Puedes descargar la app en Google Play Store y Apple App Store.
Sí, tienes acceso gratuito a los contenidos de la aplicación y a nuestro compañero de IA. Para desbloquear determinadas funciones de la aplicación, puedes adquirir Knowunity Pro.
7
Herramientas Inteligentes NUEVO
Transforma estos apuntes en: ✓ 50+ Preguntas de Práctica ✓ Flashcards Interactivas ✓ Examen Completo de Práctica ✓ Esquemas de Ensayo
Ondas, luz y sonido
Sintexis de Lengua Castellana. Incluye las oraciones simples, los complementos y todas las oraciones compuestas
App Store
Google Play
La app es muy fácil de usar y está muy bien diseñada. Hasta ahora he encontrado todo lo que estaba buscando y he podido aprender mucho de las presentaciones. Definitivamente utilizaré la aplicación para un examen de clase. Y, por supuesto, también me sirve mucho de inspiración.
Pablo
usuario de iOS
Esta app es realmente genial. Hay tantos apuntes de clase y ayuda [...]. Tengo problemas con matemáticas, por ejemplo, y la aplicación tiene muchas opciones de ayuda. Gracias a Knowunity, he mejorado en mates. Se la recomiendo a todo el mundo.
Elena
usuaria de Android
Vaya, estoy realmente sorprendida. Acabo de probar la app porque la he visto anunciada muchas veces y me he quedado absolutamente alucinada. Esta app es LA AYUDA que quieres para el insti y, sobre todo, ofrece muchísimas cosas, como ejercicios y hojas informativas, que a mí personalmente me han sido MUY útiles.
Ana
usuaria de iOS
Está app es muy buena, tiene apuntes que son de mucha ayuda y su IA es fantástica, te explica a la perfección y muy fácil de entender lo que necesites, te ayuda con los deberes, te hace esquemas... en definitiva es una muy buena opción!
Sophia
usuario de Android
Me encanta!!! Me resuelve todo con detalle y me da la explicación correcta. Tiene un montón de funciones, ami me ha ido genial!! Os la recomiendo!!!
Marta
usuaria de Android
La uso casi diariamente, sirve para todas las asignaturas. Yo, por ejemplo la utilizo más en inglés porque se me da bastante mal, ¡Todas las respuestas están correctas! Consta con personas reales que suben sus apuntes y IA para que puedas hacer los deberes muchísimo más fácil, la recomiendo.
Izan
usuario de iOS
¡La app es buenísima! Sólo tengo que introducir el tema en la barra de búsqueda y recibo la respuesta muy rápido. No tengo que ver 10 vídeos de YouTube para entender algo, así que me ahorro tiempo. ¡Muy recomendable!
Sara
usuaria de Android
En el instituto era muy malo en matemáticas, pero gracias a la app, ahora saco mejores notas. Os agradezco mucho que hayáis creado la aplicación.
Roberto
usuario de Android
Esto no es como Chatgpt, es MUCHISMO MEJOR, te hace unos resúmenes espectaculares y gracias a esta app pase de sacar 5-6 a sacar 8-9.
Julyana
usuaria de Android
Es la mejor aplicación del mundo, la uso para revisar los deberes a mi hijo.
Javier
usuario de Android
LOS QUIZ Y FLASHCARDS SON SÚPER ÚTILES Y ME ENCANTA Knowunity IA. ADEMÁS ES LITERALMENTE COMO CHATGPT PERO MÁS LISTO!! ME AYUDÓ TAMBIÉN CON MIS PROBLEMAS DE MÁSCARA!! Y CON MIS ASIGNATURAS DE VERDAD! OBVIO 😍😁😲🤑💗✨🎀😮
Erick
usuario de Android
Me me encanta esta app, todo lo que tiene es de calidad ya que antes de ser publicado es revisado por un equipo de profesionales. Me ha ido genial esta aplicación ya que gracias a ella puedo estudiar mucho mejor, sin tener que agobiarme porque mi profesor no ha hecho teoría o porque no entiendo su teoría. Le doy un 10 de 10!
Mar
usuaria de iOS
La app es muy fácil de usar y está muy bien diseñada. Hasta ahora he encontrado todo lo que estaba buscando y he podido aprender mucho de las presentaciones. Definitivamente utilizaré la aplicación para un examen de clase. Y, por supuesto, también me sirve mucho de inspiración.
Pablo
usuario de iOS
Esta app es realmente genial. Hay tantos apuntes de clase y ayuda [...]. Tengo problemas con matemáticas, por ejemplo, y la aplicación tiene muchas opciones de ayuda. Gracias a Knowunity, he mejorado en mates. Se la recomiendo a todo el mundo.
Elena
usuaria de Android
Vaya, estoy realmente sorprendida. Acabo de probar la app porque la he visto anunciada muchas veces y me he quedado absolutamente alucinada. Esta app es LA AYUDA que quieres para el insti y, sobre todo, ofrece muchísimas cosas, como ejercicios y hojas informativas, que a mí personalmente me han sido MUY útiles.
Ana
usuaria de iOS
Está app es muy buena, tiene apuntes que son de mucha ayuda y su IA es fantástica, te explica a la perfección y muy fácil de entender lo que necesites, te ayuda con los deberes, te hace esquemas... en definitiva es una muy buena opción!
Sophia
usuario de Android
Me encanta!!! Me resuelve todo con detalle y me da la explicación correcta. Tiene un montón de funciones, ami me ha ido genial!! Os la recomiendo!!!
Marta
usuaria de Android
La uso casi diariamente, sirve para todas las asignaturas. Yo, por ejemplo la utilizo más en inglés porque se me da bastante mal, ¡Todas las respuestas están correctas! Consta con personas reales que suben sus apuntes y IA para que puedas hacer los deberes muchísimo más fácil, la recomiendo.
Izan
usuario de iOS
¡La app es buenísima! Sólo tengo que introducir el tema en la barra de búsqueda y recibo la respuesta muy rápido. No tengo que ver 10 vídeos de YouTube para entender algo, así que me ahorro tiempo. ¡Muy recomendable!
Sara
usuaria de Android
En el instituto era muy malo en matemáticas, pero gracias a la app, ahora saco mejores notas. Os agradezco mucho que hayáis creado la aplicación.
Roberto
usuario de Android
Esto no es como Chatgpt, es MUCHISMO MEJOR, te hace unos resúmenes espectaculares y gracias a esta app pase de sacar 5-6 a sacar 8-9.
Julyana
usuaria de Android
Es la mejor aplicación del mundo, la uso para revisar los deberes a mi hijo.
Javier
usuario de Android
LOS QUIZ Y FLASHCARDS SON SÚPER ÚTILES Y ME ENCANTA Knowunity IA. ADEMÁS ES LITERALMENTE COMO CHATGPT PERO MÁS LISTO!! ME AYUDÓ TAMBIÉN CON MIS PROBLEMAS DE MÁSCARA!! Y CON MIS ASIGNATURAS DE VERDAD! OBVIO 😍😁😲🤑💗✨🎀😮
Erick
usuario de Android
Me me encanta esta app, todo lo que tiene es de calidad ya que antes de ser publicado es revisado por un equipo de profesionales. Me ha ido genial esta aplicación ya que gracias a ella puedo estudiar mucho mejor, sin tener que agobiarme porque mi profesor no ha hecho teoría o porque no entiendo su teoría. Le doy un 10 de 10!
Mar
usuaria de iOS