La filosofía de Platón es una de las más influyentes... Mostrar más
Inscríbete para ver los apuntes¡Es gratis!
Acceso a todos los documentos
Mejora tus notas
Únete a millones de estudiantes
Knowunity AI
Asignaturas
Triangle Congruence and Similarity Theorems
Triangle Properties and Classification
Linear Equations and Graphs
Geometric Angle Relationships
Trigonometric Functions and Identities
Equation Solving Techniques
Circle Geometry Fundamentals
Division Operations and Methods
Basic Differentiation Rules
Exponent and Logarithm Properties
Mostrar todos los temas
Human Organ Systems
Reproductive Cell Cycles
Biological Sciences Subdisciplines
Cellular Energy Metabolism
Autotrophic Energy Processes
Inheritance Patterns and Principles
Biomolecular Structure and Organization
Cell Cycle and Division Mechanics
Cellular Organization and Development
Biological Structural Organization
Mostrar todos los temas
Chemical Sciences and Applications
Atomic Structure and Composition
Molecular Electron Structure Representation
Atomic Electron Behavior
Matter Properties and Water
Mole Concept and Calculations
Gas Laws and Behavior
Periodic Table Organization
Chemical Thermodynamics Fundamentals
Chemical Bond Types and Properties
Mostrar todos los temas
European Renaissance and Enlightenment
European Cultural Movements 800-1920
American Revolution Era 1763-1797
American Civil War 1861-1865
Global Imperial Systems
Mongol and Chinese Dynasties
U.S. Presidents and World Leaders
Historical Sources and Documentation
World Wars Era and Impact
World Religious Systems
Mostrar todos los temas
Classic and Contemporary Novels
Literary Character Analysis
Rhetorical Theory and Practice
Classic Literary Narratives
Reading Analysis and Interpretation
Narrative Structure and Techniques
English Language Components
Influential English-Language Authors
Basic Sentence Structure
Narrative Voice and Perspective
Mostrar todos los temas
1,352
•
Actualizado Mar 14, 2026
•
Julia Escribano
@juliaescribano_iagz
La filosofía de Platón es una de las más influyentes... Mostrar más











Platón vivió en una época crucial para Atenas. Las guerras médicas convirtieron a Atenas en una potencia, seguidas por el Siglo de Pericles, donde la democracia alcanzó su apogeo. Sin embargo, las guerras del Peloponeso entre Atenas y Esparta acabaron destruyendo el mundo que Platón conocía.
Nacido en una familia aristocrática ateniense, Platón se decepcionó tanto de la democracia como de la oligarquía tras ver cómo ejecutaban a su maestro Sócrates. Esta experiencia marcó profundamente su filosofía política. A los 28 años renunció a la carrera política para dedicarse completamente a la filosofía.
Fundó la Academia, considerada la primera universidad europea, donde formaba a futuros filósofos-gobernantes. Su obra se divide en cuatro etapas: socrática, transición, madurez (donde escribe La República) y vejez.
¿Sabías que...? El nombre real de Platón era Aristocles. "Platón" era su apodo, que significa "el de anchas espaldas".

Platón no creó su filosofía desde cero, sino que tomó ideas de pensadores anteriores y las transformó genialmente. De Heráclito adoptó el concepto de dialéctica y el dinamismo del mundo físico. De Pitágoras tomó las matemáticas como base del conocimiento y la inmortalidad del alma.
Parménides le proporcionó las características del ser verdadero: inmutable, eterno e indivisible, que Platón aplicó a su mundo de las ideas. Por el contrario, rechazó el relativismo de los sofistas y el materialismo de Demócrito.
La influencia más decisiva fue la de Sócrates, de quien heredó el método de búsqueda de definiciones universales y la idea de que "saber es virtud". Esta síntesis de influencias dio lugar al platonismo auténtico: una filosofía idealista, finalista y dedicada a buscar el conocimiento universal.
Clave para entender: Platón hace una síntesis entre las ideas aparentemente opuestas de Parménides (ser inmutable) y Heráclito (todo cambia), creando su teoría de dos mundos.

La teoría de las Ideas es el núcleo de toda la filosofía platónica. Platón se enfrentaba al mismo problema que Parménides: ¿cómo pueden existir cosas que cambian si el ser verdadero debe ser inmutable?
Su genial solución: existen dos mundos separados. El mundo sensible (físico, imperfecto, cambiante) y el mundo de las Ideas (espiritual, perfecto, eterno). Las Ideas no son pensamientos, sino realidades absolutas que poseen todo el ser verdadero.
Las cosas físicas "son y no son" porque solo participan imperfectamente de las Ideas. Por ejemplo, una mesa concreta es mesa porque participa de la Idea de Mesa, pero es imperfecta y perecedera. Las Ideas, en cambio, son inmutables, universales y eternas.
La Idea del Bien es la más importante: ilumina todas las demás Ideas y permite tanto el conocimiento como la moral. Sin ella, nada tendría sentido ni orden.
Recuerda: Las Ideas platónicas son realidades, no conceptos mentales. Son más reales que las cosas que tocamos cada día.

Para Platón existen dos tipos de conocimiento que corresponden a los dos mundos. El conocimiento sensible (a través de los sentidos) solo nos da opiniones y apariencias del mundo físico. El conocimiento racional (a través de la razón) nos permite acceder a las Ideas y alcanzar la verdad.
Los sentidos nos engañan porque solo captan lo cambiante y particular. La razón, en cambio, puede captar lo universal e inmutable. El verdadero conocimiento debe ser infalible y tener por objeto el ser verdadero, no las apariencias.
El camino hacia el conocimiento requiere dialéctica: la capacidad de elevarse desde lo particular hasta las Ideas universales. Solo el filósofo, que ha recorrido este camino, puede contemplar la verdad y debe luego educar a otros para liberarlos de la ignorancia.
Este dualismo plantea el problema de cómo conectar ambos mundos, pero Platón mantiene que existe correspondencia entre ellos, subordinando siempre lo material a lo espiritual.
Dato importante: Para Platón, la percepción sensible nunca puede ser conocimiento verdadero porque su objeto (el mundo físico) está en constante cambio.

El famoso mito de la caverna ilustra perfectamente la teoría del conocimiento platónica. Los prisioneros encadenados solo ven sombras en la pared y las toman por la realidad. Cuando uno se libera y sale al exterior, descubre el mundo real iluminado por el sol.
Esta alegoría representa los niveles de conocimiento: doxa (opinión, mundo sensible) y episteme (ciencia, mundo inteligible). El mundo visible incluye imágenes y objetos sensibles. El mundo inteligible comprende objetos matemáticos e Ideas.
El proceso educativo consiste en ascender desde la imaginación (sombras) hasta la inteligencia (Ideas), pasando por la creencia (objetos físicos) y el pensamiento (matemáticas). El filósofo que alcanza las Ideas tiene la obligación moral de volver para educar a quienes permanecen en la ignorancia.
La Idea del Bien, como el sol en el mito, ilumina todas las demás Ideas y hace posible tanto el ser como el conocer.
Reflexiona: ¿En qué aspectos de tu vida podrías estar viendo solo "sombras" en lugar de la realidad completa?

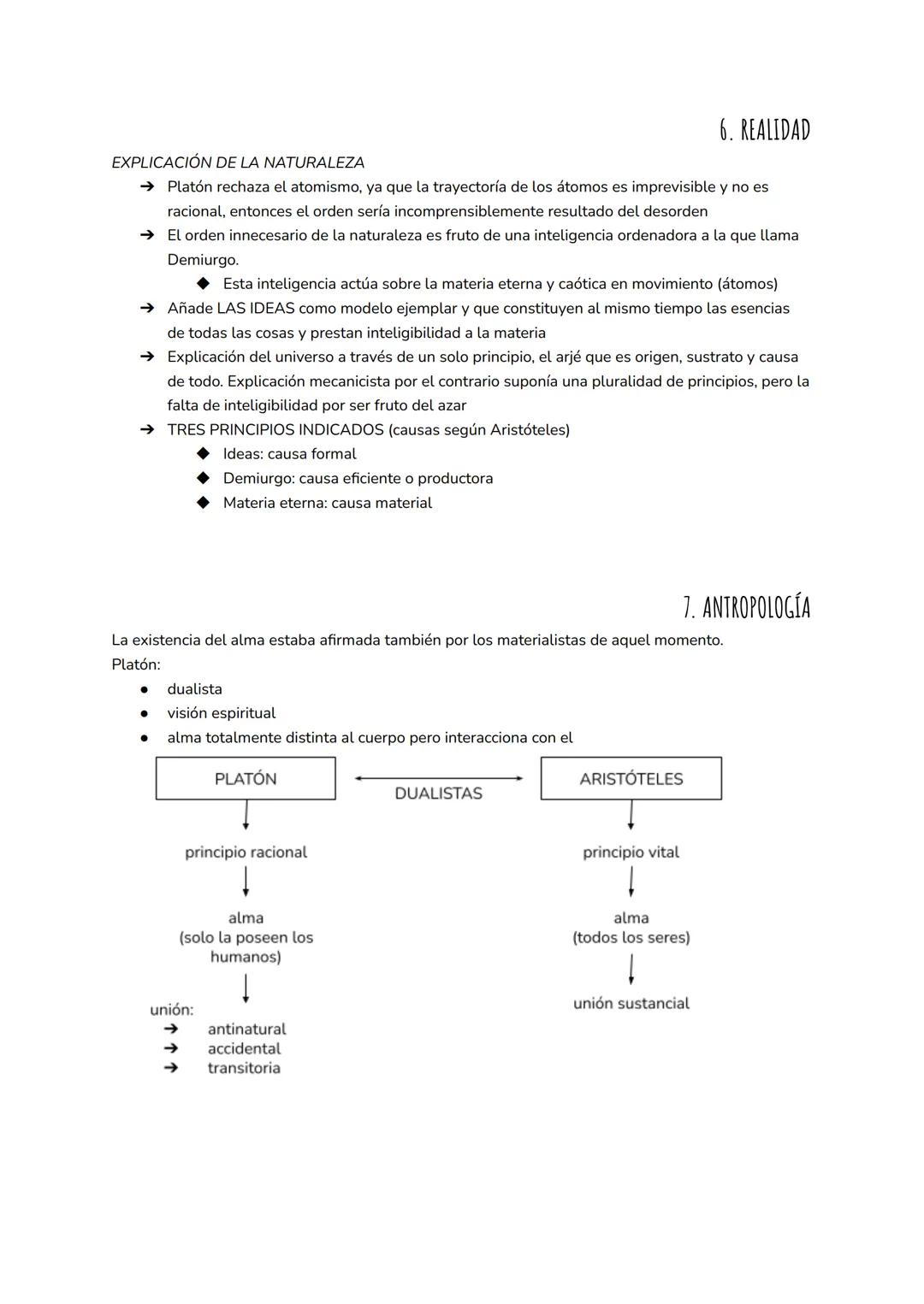
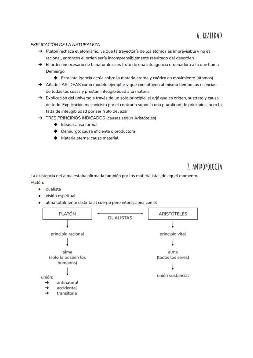
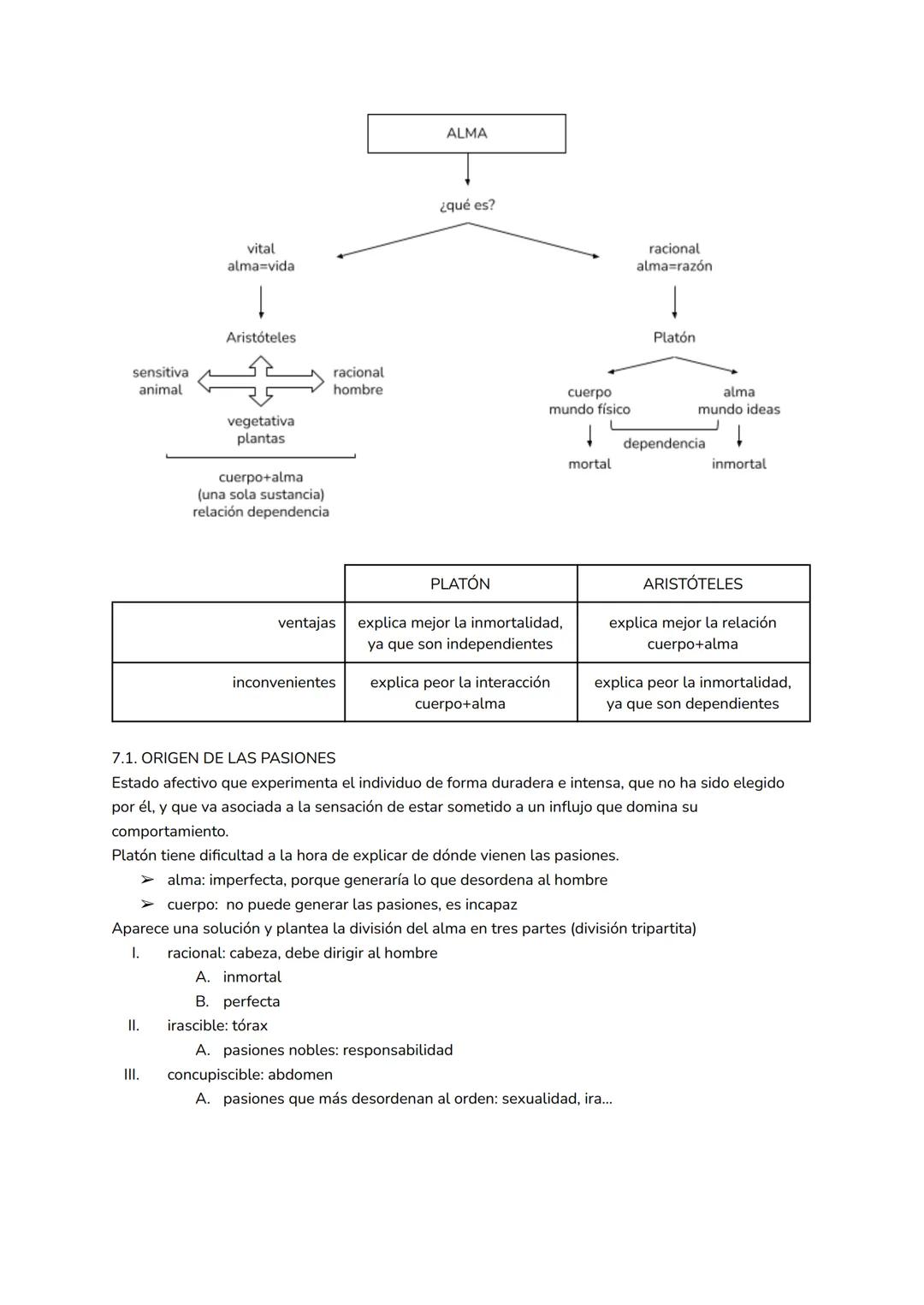
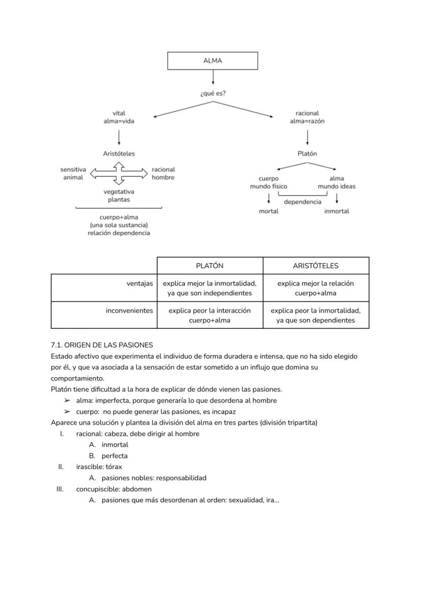
Platón mantiene una visión dualista del ser humano: somos alma y cuerpo, pero estas son sustancias completamente distintas. El alma pertenece al mundo de las Ideas (es inmaterial, racional e inmortal), mientras que el cuerpo pertenece al mundo sensible (material, pasional y mortal).
La unión alma-cuerpo es accidental y temporal, como un piloto en su nave. Esta visión explica bien la inmortalidad del alma, pero plantea problemas para entender cómo interactúan ambas sustancias.
Para resolver el origen de las pasiones, Platón divide el alma en tres partes: racional (cabeza, inmortal, debe dirigir), irascible (tórax, pasiones nobles como el valor) y concupiscible (abdomen, deseos básicos como sexualidad y apetitos).
El mito del carro alado ilustra esta división: el auriga (razón) debe controlar dos caballos, uno blanco (irascible) y otro negro (concupiscible). El equilibrio entre las tres partes produce la armonía personal.
Contraste clave: Mientras Aristóteles ve alma y cuerpo como una unidad, Platón los considera sustancias separadas temporalmente unidas.

La ética platónica se basa en el equilibrio de las tres partes del alma. Cada parte debe desarrollar su virtud específica: la racional desarrolla sabiduría, la irascible fortaleza, y la concupiscible templanza. Cuando las tres funcionan armoniosamente surge la justicia, la virtud suprema.
Platón mantiene el intelectualismo moral socrático: saber = virtud = felicidad. El mal surge de la ignorancia, por eso la educación es fundamental para la vida ética.
Su teoría política refleja exactamente la estructura del alma. El estado justo tiene tres clases sociales: filósofos-gobernantes (sabiduría, corresponden al alma racional), militares (fortaleza, alma irascible) y artesanos-agricultores (templanza, alma concupiscible).
Solo los filósofos, que han contemplado la Idea del Bien, pueden gobernar justamente. La justicia social consiste en que cada clase cumpla su función sin inmiscuirse en las otras. Este estado ideal busca el bien común por encima de los intereses particulares.
Idea revolucionaria: Platón propone que gobiernen los más sabios, no los más ricos o populares, anticipándose a debates actuales sobre la meritocracia.



Nuestro compañero de IA está específicamente adaptado a las necesidades de los estudiantes. Basándonos en los millones de contenidos que tenemos en la plataforma, podemos dar a los estudiantes respuestas realmente significativas y relevantes. Pero no se trata solo de respuestas, el compañero también guía a los estudiantes a través de sus retos de aprendizaje diarios, con planes de aprendizaje personalizados, cuestionarios o contenidos en el chat y una personalización del 100% basada en las habilidades y el desarrollo de los estudiantes.
Puedes descargar la app en Google Play Store y Apple App Store.
Sí, tienes acceso gratuito a los contenidos de la aplicación y a nuestro compañero de IA. Para desbloquear determinadas funciones de la aplicación, puedes adquirir Knowunity Pro.
App Store
Google Play
La app es muy fácil de usar y está muy bien diseñada. Hasta ahora he encontrado todo lo que estaba buscando y he podido aprender mucho de las presentaciones. Definitivamente utilizaré la aplicación para un examen de clase. Y, por supuesto, también me sirve mucho de inspiración.
Pablo
usuario de iOS
Esta app es realmente genial. Hay tantos apuntes de clase y ayuda [...]. Tengo problemas con matemáticas, por ejemplo, y la aplicación tiene muchas opciones de ayuda. Gracias a Knowunity, he mejorado en mates. Se la recomiendo a todo el mundo.
Elena
usuaria de Android
Vaya, estoy realmente sorprendida. Acabo de probar la app porque la he visto anunciada muchas veces y me he quedado absolutamente alucinada. Esta app es LA AYUDA que quieres para el insti y, sobre todo, ofrece muchísimas cosas, como ejercicios y hojas informativas, que a mí personalmente me han sido MUY útiles.
Ana
usuaria de iOS
Está app es muy buena, tiene apuntes que son de mucha ayuda y su IA es fantástica, te explica a la perfección y muy fácil de entender lo que necesites, te ayuda con los deberes, te hace esquemas... en definitiva es una muy buena opción!
Sophia
usuario de Android
Me encanta!!! Me resuelve todo con detalle y me da la explicación correcta. Tiene un montón de funciones, ami me ha ido genial!! Os la recomiendo!!!
Marta
usuaria de Android
La uso casi diariamente, sirve para todas las asignaturas. Yo, por ejemplo la utilizo más en inglés porque se me da bastante mal, ¡Todas las respuestas están correctas! Consta con personas reales que suben sus apuntes y IA para que puedas hacer los deberes muchísimo más fácil, la recomiendo.
Izan
usuario de iOS
¡La app es buenísima! Sólo tengo que introducir el tema en la barra de búsqueda y recibo la respuesta muy rápido. No tengo que ver 10 vídeos de YouTube para entender algo, así que me ahorro tiempo. ¡Muy recomendable!
Sara
usuaria de Android
En el instituto era muy malo en matemáticas, pero gracias a la app, ahora saco mejores notas. Os agradezco mucho que hayáis creado la aplicación.
Roberto
usuario de Android
Esto no es como Chatgpt, es MUCHISMO MEJOR, te hace unos resúmenes espectaculares y gracias a esta app pase de sacar 5-6 a sacar 8-9.
Julyana
usuaria de Android
Es la mejor aplicación del mundo, la uso para revisar los deberes a mi hijo.
Javier
usuario de Android
LOS QUIZ Y FLASHCARDS SON SÚPER ÚTILES Y ME ENCANTA Knowunity IA. ADEMÁS ES LITERALMENTE COMO CHATGPT PERO MÁS LISTO!! ME AYUDÓ TAMBIÉN CON MIS PROBLEMAS DE MÁSCARA!! Y CON MIS ASIGNATURAS DE VERDAD! OBVIO 😍😁😲🤑💗✨🎀😮
Erick
usuario de Android
Me me encanta esta app, todo lo que tiene es de calidad ya que antes de ser publicado es revisado por un equipo de profesionales. Me ha ido genial esta aplicación ya que gracias a ella puedo estudiar mucho mejor, sin tener que agobiarme porque mi profesor no ha hecho teoría o porque no entiendo su teoría. Le doy un 10 de 10!
Mar
usuaria de iOS
La app es muy fácil de usar y está muy bien diseñada. Hasta ahora he encontrado todo lo que estaba buscando y he podido aprender mucho de las presentaciones. Definitivamente utilizaré la aplicación para un examen de clase. Y, por supuesto, también me sirve mucho de inspiración.
Pablo
usuario de iOS
Esta app es realmente genial. Hay tantos apuntes de clase y ayuda [...]. Tengo problemas con matemáticas, por ejemplo, y la aplicación tiene muchas opciones de ayuda. Gracias a Knowunity, he mejorado en mates. Se la recomiendo a todo el mundo.
Elena
usuaria de Android
Vaya, estoy realmente sorprendida. Acabo de probar la app porque la he visto anunciada muchas veces y me he quedado absolutamente alucinada. Esta app es LA AYUDA que quieres para el insti y, sobre todo, ofrece muchísimas cosas, como ejercicios y hojas informativas, que a mí personalmente me han sido MUY útiles.
Ana
usuaria de iOS
Está app es muy buena, tiene apuntes que son de mucha ayuda y su IA es fantástica, te explica a la perfección y muy fácil de entender lo que necesites, te ayuda con los deberes, te hace esquemas... en definitiva es una muy buena opción!
Sophia
usuario de Android
Me encanta!!! Me resuelve todo con detalle y me da la explicación correcta. Tiene un montón de funciones, ami me ha ido genial!! Os la recomiendo!!!
Marta
usuaria de Android
La uso casi diariamente, sirve para todas las asignaturas. Yo, por ejemplo la utilizo más en inglés porque se me da bastante mal, ¡Todas las respuestas están correctas! Consta con personas reales que suben sus apuntes y IA para que puedas hacer los deberes muchísimo más fácil, la recomiendo.
Izan
usuario de iOS
¡La app es buenísima! Sólo tengo que introducir el tema en la barra de búsqueda y recibo la respuesta muy rápido. No tengo que ver 10 vídeos de YouTube para entender algo, así que me ahorro tiempo. ¡Muy recomendable!
Sara
usuaria de Android
En el instituto era muy malo en matemáticas, pero gracias a la app, ahora saco mejores notas. Os agradezco mucho que hayáis creado la aplicación.
Roberto
usuario de Android
Esto no es como Chatgpt, es MUCHISMO MEJOR, te hace unos resúmenes espectaculares y gracias a esta app pase de sacar 5-6 a sacar 8-9.
Julyana
usuaria de Android
Es la mejor aplicación del mundo, la uso para revisar los deberes a mi hijo.
Javier
usuario de Android
LOS QUIZ Y FLASHCARDS SON SÚPER ÚTILES Y ME ENCANTA Knowunity IA. ADEMÁS ES LITERALMENTE COMO CHATGPT PERO MÁS LISTO!! ME AYUDÓ TAMBIÉN CON MIS PROBLEMAS DE MÁSCARA!! Y CON MIS ASIGNATURAS DE VERDAD! OBVIO 😍😁😲🤑💗✨🎀😮
Erick
usuario de Android
Me me encanta esta app, todo lo que tiene es de calidad ya que antes de ser publicado es revisado por un equipo de profesionales. Me ha ido genial esta aplicación ya que gracias a ella puedo estudiar mucho mejor, sin tener que agobiarme porque mi profesor no ha hecho teoría o porque no entiendo su teoría. Le doy un 10 de 10!
Mar
usuaria de iOS
Julia Escribano
@juliaescribano_iagz
La filosofía de Platón es una de las más influyentes de la historia occidental. Este filósofo griego del siglo IV a.C. desarrolló un sistema filosófico completo que abarca desde el conocimiento hasta la organización del estado ideal.

Acceso a todos los documentos
Mejora tus notas
Únete a millones de estudiantes
Platón vivió en una época crucial para Atenas. Las guerras médicas convirtieron a Atenas en una potencia, seguidas por el Siglo de Pericles, donde la democracia alcanzó su apogeo. Sin embargo, las guerras del Peloponeso entre Atenas y Esparta acabaron destruyendo el mundo que Platón conocía.
Nacido en una familia aristocrática ateniense, Platón se decepcionó tanto de la democracia como de la oligarquía tras ver cómo ejecutaban a su maestro Sócrates. Esta experiencia marcó profundamente su filosofía política. A los 28 años renunció a la carrera política para dedicarse completamente a la filosofía.
Fundó la Academia, considerada la primera universidad europea, donde formaba a futuros filósofos-gobernantes. Su obra se divide en cuatro etapas: socrática, transición, madurez (donde escribe La República) y vejez.
¿Sabías que...? El nombre real de Platón era Aristocles. "Platón" era su apodo, que significa "el de anchas espaldas".

Acceso a todos los documentos
Mejora tus notas
Únete a millones de estudiantes
Platón no creó su filosofía desde cero, sino que tomó ideas de pensadores anteriores y las transformó genialmente. De Heráclito adoptó el concepto de dialéctica y el dinamismo del mundo físico. De Pitágoras tomó las matemáticas como base del conocimiento y la inmortalidad del alma.
Parménides le proporcionó las características del ser verdadero: inmutable, eterno e indivisible, que Platón aplicó a su mundo de las ideas. Por el contrario, rechazó el relativismo de los sofistas y el materialismo de Demócrito.
La influencia más decisiva fue la de Sócrates, de quien heredó el método de búsqueda de definiciones universales y la idea de que "saber es virtud". Esta síntesis de influencias dio lugar al platonismo auténtico: una filosofía idealista, finalista y dedicada a buscar el conocimiento universal.
Clave para entender: Platón hace una síntesis entre las ideas aparentemente opuestas de Parménides (ser inmutable) y Heráclito (todo cambia), creando su teoría de dos mundos.

Acceso a todos los documentos
Mejora tus notas
Únete a millones de estudiantes
La teoría de las Ideas es el núcleo de toda la filosofía platónica. Platón se enfrentaba al mismo problema que Parménides: ¿cómo pueden existir cosas que cambian si el ser verdadero debe ser inmutable?
Su genial solución: existen dos mundos separados. El mundo sensible (físico, imperfecto, cambiante) y el mundo de las Ideas (espiritual, perfecto, eterno). Las Ideas no son pensamientos, sino realidades absolutas que poseen todo el ser verdadero.
Las cosas físicas "son y no son" porque solo participan imperfectamente de las Ideas. Por ejemplo, una mesa concreta es mesa porque participa de la Idea de Mesa, pero es imperfecta y perecedera. Las Ideas, en cambio, son inmutables, universales y eternas.
La Idea del Bien es la más importante: ilumina todas las demás Ideas y permite tanto el conocimiento como la moral. Sin ella, nada tendría sentido ni orden.
Recuerda: Las Ideas platónicas son realidades, no conceptos mentales. Son más reales que las cosas que tocamos cada día.

Acceso a todos los documentos
Mejora tus notas
Únete a millones de estudiantes
Para Platón existen dos tipos de conocimiento que corresponden a los dos mundos. El conocimiento sensible (a través de los sentidos) solo nos da opiniones y apariencias del mundo físico. El conocimiento racional (a través de la razón) nos permite acceder a las Ideas y alcanzar la verdad.
Los sentidos nos engañan porque solo captan lo cambiante y particular. La razón, en cambio, puede captar lo universal e inmutable. El verdadero conocimiento debe ser infalible y tener por objeto el ser verdadero, no las apariencias.
El camino hacia el conocimiento requiere dialéctica: la capacidad de elevarse desde lo particular hasta las Ideas universales. Solo el filósofo, que ha recorrido este camino, puede contemplar la verdad y debe luego educar a otros para liberarlos de la ignorancia.
Este dualismo plantea el problema de cómo conectar ambos mundos, pero Platón mantiene que existe correspondencia entre ellos, subordinando siempre lo material a lo espiritual.
Dato importante: Para Platón, la percepción sensible nunca puede ser conocimiento verdadero porque su objeto (el mundo físico) está en constante cambio.

Acceso a todos los documentos
Mejora tus notas
Únete a millones de estudiantes
El famoso mito de la caverna ilustra perfectamente la teoría del conocimiento platónica. Los prisioneros encadenados solo ven sombras en la pared y las toman por la realidad. Cuando uno se libera y sale al exterior, descubre el mundo real iluminado por el sol.
Esta alegoría representa los niveles de conocimiento: doxa (opinión, mundo sensible) y episteme (ciencia, mundo inteligible). El mundo visible incluye imágenes y objetos sensibles. El mundo inteligible comprende objetos matemáticos e Ideas.
El proceso educativo consiste en ascender desde la imaginación (sombras) hasta la inteligencia (Ideas), pasando por la creencia (objetos físicos) y el pensamiento (matemáticas). El filósofo que alcanza las Ideas tiene la obligación moral de volver para educar a quienes permanecen en la ignorancia.
La Idea del Bien, como el sol en el mito, ilumina todas las demás Ideas y hace posible tanto el ser como el conocer.
Reflexiona: ¿En qué aspectos de tu vida podrías estar viendo solo "sombras" en lugar de la realidad completa?

Acceso a todos los documentos
Mejora tus notas
Únete a millones de estudiantes
Platón mantiene una visión dualista del ser humano: somos alma y cuerpo, pero estas son sustancias completamente distintas. El alma pertenece al mundo de las Ideas (es inmaterial, racional e inmortal), mientras que el cuerpo pertenece al mundo sensible (material, pasional y mortal).
La unión alma-cuerpo es accidental y temporal, como un piloto en su nave. Esta visión explica bien la inmortalidad del alma, pero plantea problemas para entender cómo interactúan ambas sustancias.
Para resolver el origen de las pasiones, Platón divide el alma en tres partes: racional (cabeza, inmortal, debe dirigir), irascible (tórax, pasiones nobles como el valor) y concupiscible (abdomen, deseos básicos como sexualidad y apetitos).
El mito del carro alado ilustra esta división: el auriga (razón) debe controlar dos caballos, uno blanco (irascible) y otro negro (concupiscible). El equilibrio entre las tres partes produce la armonía personal.
Contraste clave: Mientras Aristóteles ve alma y cuerpo como una unidad, Platón los considera sustancias separadas temporalmente unidas.

Acceso a todos los documentos
Mejora tus notas
Únete a millones de estudiantes
La ética platónica se basa en el equilibrio de las tres partes del alma. Cada parte debe desarrollar su virtud específica: la racional desarrolla sabiduría, la irascible fortaleza, y la concupiscible templanza. Cuando las tres funcionan armoniosamente surge la justicia, la virtud suprema.
Platón mantiene el intelectualismo moral socrático: saber = virtud = felicidad. El mal surge de la ignorancia, por eso la educación es fundamental para la vida ética.
Su teoría política refleja exactamente la estructura del alma. El estado justo tiene tres clases sociales: filósofos-gobernantes (sabiduría, corresponden al alma racional), militares (fortaleza, alma irascible) y artesanos-agricultores (templanza, alma concupiscible).
Solo los filósofos, que han contemplado la Idea del Bien, pueden gobernar justamente. La justicia social consiste en que cada clase cumpla su función sin inmiscuirse en las otras. Este estado ideal busca el bien común por encima de los intereses particulares.
Idea revolucionaria: Platón propone que gobiernen los más sabios, no los más ricos o populares, anticipándose a debates actuales sobre la meritocracia.

Acceso a todos los documentos
Mejora tus notas
Únete a millones de estudiantes

Acceso a todos los documentos
Mejora tus notas
Únete a millones de estudiantes

Acceso a todos los documentos
Mejora tus notas
Únete a millones de estudiantes
Nuestro compañero de IA está específicamente adaptado a las necesidades de los estudiantes. Basándonos en los millones de contenidos que tenemos en la plataforma, podemos dar a los estudiantes respuestas realmente significativas y relevantes. Pero no se trata solo de respuestas, el compañero también guía a los estudiantes a través de sus retos de aprendizaje diarios, con planes de aprendizaje personalizados, cuestionarios o contenidos en el chat y una personalización del 100% basada en las habilidades y el desarrollo de los estudiantes.
Puedes descargar la app en Google Play Store y Apple App Store.
Sí, tienes acceso gratuito a los contenidos de la aplicación y a nuestro compañero de IA. Para desbloquear determinadas funciones de la aplicación, puedes adquirir Knowunity Pro.
18
Herramientas Inteligentes NUEVO
Transforma estos apuntes en: ✓ 50+ Preguntas de Práctica ✓ Flashcards Interactivas ✓ Examen Completo de Práctica ✓ Esquemas de Ensayo
Descubre los conceptos clave y las teorías filosóficas más importantes de manera sencilla y accesible. Prepárate para el examen de filosofía con estas tarjetas de estudio fáciles de entender.
Platoni buruzko informazioa
TEMA 0: LA FILOSOFÍA ANTES DE PLATÓN 1. Aparición de la filosofía en Grecia 2. Los primeros filósofos 2.1 Monistas 2.2 Pluralistas 2.3 Sofistas 2.4 Sócrates
2. LOS SOFISTAS Y SÓCRATES
Presocráticos, Sócrates, Mitos vs Logos
Apuntes de Socrates, los sofistas y Platón resumidos
App Store
Google Play
La app es muy fácil de usar y está muy bien diseñada. Hasta ahora he encontrado todo lo que estaba buscando y he podido aprender mucho de las presentaciones. Definitivamente utilizaré la aplicación para un examen de clase. Y, por supuesto, también me sirve mucho de inspiración.
Pablo
usuario de iOS
Esta app es realmente genial. Hay tantos apuntes de clase y ayuda [...]. Tengo problemas con matemáticas, por ejemplo, y la aplicación tiene muchas opciones de ayuda. Gracias a Knowunity, he mejorado en mates. Se la recomiendo a todo el mundo.
Elena
usuaria de Android
Vaya, estoy realmente sorprendida. Acabo de probar la app porque la he visto anunciada muchas veces y me he quedado absolutamente alucinada. Esta app es LA AYUDA que quieres para el insti y, sobre todo, ofrece muchísimas cosas, como ejercicios y hojas informativas, que a mí personalmente me han sido MUY útiles.
Ana
usuaria de iOS
Está app es muy buena, tiene apuntes que son de mucha ayuda y su IA es fantástica, te explica a la perfección y muy fácil de entender lo que necesites, te ayuda con los deberes, te hace esquemas... en definitiva es una muy buena opción!
Sophia
usuario de Android
Me encanta!!! Me resuelve todo con detalle y me da la explicación correcta. Tiene un montón de funciones, ami me ha ido genial!! Os la recomiendo!!!
Marta
usuaria de Android
La uso casi diariamente, sirve para todas las asignaturas. Yo, por ejemplo la utilizo más en inglés porque se me da bastante mal, ¡Todas las respuestas están correctas! Consta con personas reales que suben sus apuntes y IA para que puedas hacer los deberes muchísimo más fácil, la recomiendo.
Izan
usuario de iOS
¡La app es buenísima! Sólo tengo que introducir el tema en la barra de búsqueda y recibo la respuesta muy rápido. No tengo que ver 10 vídeos de YouTube para entender algo, así que me ahorro tiempo. ¡Muy recomendable!
Sara
usuaria de Android
En el instituto era muy malo en matemáticas, pero gracias a la app, ahora saco mejores notas. Os agradezco mucho que hayáis creado la aplicación.
Roberto
usuario de Android
Esto no es como Chatgpt, es MUCHISMO MEJOR, te hace unos resúmenes espectaculares y gracias a esta app pase de sacar 5-6 a sacar 8-9.
Julyana
usuaria de Android
Es la mejor aplicación del mundo, la uso para revisar los deberes a mi hijo.
Javier
usuario de Android
LOS QUIZ Y FLASHCARDS SON SÚPER ÚTILES Y ME ENCANTA Knowunity IA. ADEMÁS ES LITERALMENTE COMO CHATGPT PERO MÁS LISTO!! ME AYUDÓ TAMBIÉN CON MIS PROBLEMAS DE MÁSCARA!! Y CON MIS ASIGNATURAS DE VERDAD! OBVIO 😍😁😲🤑💗✨🎀😮
Erick
usuario de Android
Me me encanta esta app, todo lo que tiene es de calidad ya que antes de ser publicado es revisado por un equipo de profesionales. Me ha ido genial esta aplicación ya que gracias a ella puedo estudiar mucho mejor, sin tener que agobiarme porque mi profesor no ha hecho teoría o porque no entiendo su teoría. Le doy un 10 de 10!
Mar
usuaria de iOS
La app es muy fácil de usar y está muy bien diseñada. Hasta ahora he encontrado todo lo que estaba buscando y he podido aprender mucho de las presentaciones. Definitivamente utilizaré la aplicación para un examen de clase. Y, por supuesto, también me sirve mucho de inspiración.
Pablo
usuario de iOS
Esta app es realmente genial. Hay tantos apuntes de clase y ayuda [...]. Tengo problemas con matemáticas, por ejemplo, y la aplicación tiene muchas opciones de ayuda. Gracias a Knowunity, he mejorado en mates. Se la recomiendo a todo el mundo.
Elena
usuaria de Android
Vaya, estoy realmente sorprendida. Acabo de probar la app porque la he visto anunciada muchas veces y me he quedado absolutamente alucinada. Esta app es LA AYUDA que quieres para el insti y, sobre todo, ofrece muchísimas cosas, como ejercicios y hojas informativas, que a mí personalmente me han sido MUY útiles.
Ana
usuaria de iOS
Está app es muy buena, tiene apuntes que son de mucha ayuda y su IA es fantástica, te explica a la perfección y muy fácil de entender lo que necesites, te ayuda con los deberes, te hace esquemas... en definitiva es una muy buena opción!
Sophia
usuario de Android
Me encanta!!! Me resuelve todo con detalle y me da la explicación correcta. Tiene un montón de funciones, ami me ha ido genial!! Os la recomiendo!!!
Marta
usuaria de Android
La uso casi diariamente, sirve para todas las asignaturas. Yo, por ejemplo la utilizo más en inglés porque se me da bastante mal, ¡Todas las respuestas están correctas! Consta con personas reales que suben sus apuntes y IA para que puedas hacer los deberes muchísimo más fácil, la recomiendo.
Izan
usuario de iOS
¡La app es buenísima! Sólo tengo que introducir el tema en la barra de búsqueda y recibo la respuesta muy rápido. No tengo que ver 10 vídeos de YouTube para entender algo, así que me ahorro tiempo. ¡Muy recomendable!
Sara
usuaria de Android
En el instituto era muy malo en matemáticas, pero gracias a la app, ahora saco mejores notas. Os agradezco mucho que hayáis creado la aplicación.
Roberto
usuario de Android
Esto no es como Chatgpt, es MUCHISMO MEJOR, te hace unos resúmenes espectaculares y gracias a esta app pase de sacar 5-6 a sacar 8-9.
Julyana
usuaria de Android
Es la mejor aplicación del mundo, la uso para revisar los deberes a mi hijo.
Javier
usuario de Android
LOS QUIZ Y FLASHCARDS SON SÚPER ÚTILES Y ME ENCANTA Knowunity IA. ADEMÁS ES LITERALMENTE COMO CHATGPT PERO MÁS LISTO!! ME AYUDÓ TAMBIÉN CON MIS PROBLEMAS DE MÁSCARA!! Y CON MIS ASIGNATURAS DE VERDAD! OBVIO 😍😁😲🤑💗✨🎀😮
Erick
usuario de Android
Me me encanta esta app, todo lo que tiene es de calidad ya que antes de ser publicado es revisado por un equipo de profesionales. Me ha ido genial esta aplicación ya que gracias a ella puedo estudiar mucho mejor, sin tener que agobiarme porque mi profesor no ha hecho teoría o porque no entiendo su teoría. Le doy un 10 de 10!
Mar
usuaria de iOS