¿Alguna vez te has preguntado por qué cuando frenas bruscamente... Mostrar más
Inscríbete para ver los apuntes¡Es gratis!
Acceso a todos los documentos
Mejora tus notas
Únete a millones de estudiantes
Knowunity AI
Asignaturas
Triangle Congruence and Similarity Theorems
Triangle Properties and Classification
Linear Equations and Graphs
Geometric Angle Relationships
Trigonometric Functions and Identities
Equation Solving Techniques
Circle Geometry Fundamentals
Division Operations and Methods
Basic Differentiation Rules
Exponent and Logarithm Properties
Mostrar todos los temas
Human Organ Systems
Reproductive Cell Cycles
Biological Sciences Subdisciplines
Cellular Energy Metabolism
Autotrophic Energy Processes
Inheritance Patterns and Principles
Biomolecular Structure and Organization
Cell Cycle and Division Mechanics
Cellular Organization and Development
Biological Structural Organization
Mostrar todos los temas
Chemical Sciences and Applications
Atomic Structure and Composition
Molecular Electron Structure Representation
Atomic Electron Behavior
Matter Properties and Water
Mole Concept and Calculations
Gas Laws and Behavior
Periodic Table Organization
Chemical Thermodynamics Fundamentals
Chemical Bond Types and Properties
Mostrar todos los temas
European Renaissance and Enlightenment
European Cultural Movements 800-1920
American Revolution Era 1763-1797
American Civil War 1861-1865
Global Imperial Systems
Mongol and Chinese Dynasties
U.S. Presidents and World Leaders
Historical Sources and Documentation
World Wars Era and Impact
World Religious Systems
Mostrar todos los temas
Classic and Contemporary Novels
Literary Character Analysis
Rhetorical Theory and Practice
Classic Literary Narratives
Reading Analysis and Interpretation
Narrative Structure and Techniques
English Language Components
Influential English-Language Authors
Basic Sentence Structure
Narrative Voice and Perspective
Mostrar todos los temas
307
•
Actualizado Apr 11, 2026
•
marina
@marina_5960u
¿Alguna vez te has preguntado por qué cuando frenas bruscamente... Mostrar más









¿Sabías que cuando empujas una puerta, la puerta también te empuja a ti? Las fuerzas son interacciones entre dos cuerpos que pueden deformar objetos o cambiar su movimiento. Se miden en newtons (N) y son magnitudes vectoriales, lo que significa que tienen dirección, sentido y módulo.
Lo genial es que las fuerzas pueden actuar de dos formas: por contacto (como cuando pateas un balón) o a distancia (como la gravedad que te mantiene pegado al suelo). Cuando varias fuerzas actúan sobre el mismo objeto, puedes sumarlas vectorialmente para obtener la fuerza resultante.
Para representar una fuerza necesitas conocer su punto de aplicación, dirección, sentido y módulo. Puedes descomponer cualquier fuerza en sus componentes cartesianas usando trigonometría: Fx = F·cos α y Fy = F·sen α.
Dato curioso: El newton se define como la fuerza necesaria para acelerar 1 kg de masa a 1 m/s². ¡Es menos de lo que pesa una manzana!

Toda la física del universo se basa en solo cuatro interacciones fundamentales. La interacción gravitatoria es la que conoces mejor: mantiene los planetas en órbita y hace que los objetos caigan. Newton fue el primero en darse cuenta de que la misma fuerza que hace caer una manzana mantiene la Luna girando alrededor de la Tierra.
La interacción electromagnética es la responsable de que los átomos se mantengan unidos y de que funcione tu móvil. Maxwell descubrió que la electricidad y el magnetismo son parte de la misma fuerza. Las otras dos son las interacciones nucleares fuerte y débil, que mantienen unido el núcleo atómico y explican la radiactividad.
En tu día a día te encuentras con fuerzas más familiares. El peso se calcula como P = m·g . Las fuerzas elásticas siguen la ley de Hooke: F = -k·x, donde k es la constante del muelle y x su deformación.
Para recordar: Todas las fuerzas complicadas del universo se reducen a estas cuatro interacciones fundamentales.

La fuerza normal aparece siempre que apoyas algo sobre una superficie. Es perpendicular a la superficie de contacto y evita que los objetos se hundan unos en otros. Cuando utilizas una cuerda para arrastrar algo, aparece la tensión, que se transmite por toda la cuerda si esta es inextensible y sin masa.
El rozamiento es esa fuerza que siempre se opone al movimiento y que hace que tu bici se pare si dejas de pedalear. Su módulo es proporcional a la fuerza normal: Fr = μ·N. Existen dos tipos de coeficiente de rozamiento: el estático (μe) cuando el objeto no se mueve, y el dinámico (μd) cuando sí se mueve, siendo siempre μe > μd.
Estas fuerzas son fundamentales para resolver problemas de mecánica. La normal siempre es perpendicular a la superficie, el rozamiento siempre se opone al movimiento, y la tensión se transmite por cuerdas inextensibles.
Truco de examen: El coeficiente de rozamiento no tiene unidades porque es un cociente entre fuerzas.

La primera ley de Newton o ley de la inercia dice que un objeto en reposo permanece en reposo, y uno en movimiento rectilíneo uniforme sigue así, a menos que actúe una fuerza sobre él. Por eso cuando un coche frena bruscamente, tú sigues moviéndote hacia adelante.
La segunda ley de Newton es la más útil para resolver problemas: F = m·a. La fuerza resultante es directamente proporcional a la aceleración, siendo la masa la constante de proporcionalidad. Esta ley te permite calcular aceleraciones, fuerzas o masas en cualquier situación.
La segunda ley es vectorial, así que puedes trabajar por componentes: Fx = m·ax y Fy = m·ay. La masa mide la inercia de un cuerpo, es decir, su resistencia a cambiar su estado de movimiento.
Clave para aprobar: La fuerza en F = m·a siempre es la resultante de todas las fuerzas que actúan sobre el cuerpo.

La tercera ley de Newton o principio de acción-reacción establece que si un cuerpo ejerce una fuerza sobre otro, este ejerce una fuerza igual y opuesta sobre el primero: F₁₂ = -F₂₁. Es importante recordar que estas fuerzas actúan sobre cuerpos diferentes, por eso no se anulan entre sí.
Para resolver problemas de dinámica sigue estos pasos: identifica todas las fuerzas que actúan sobre cada cuerpo, elige un sistema de referencia adecuado, calcula las componentes de cada fuerza y aplica la segunda ley de Newton.
Los ejercicios típicos incluyen calcular aceleraciones, fuerzas y distancias recorridas. Por ejemplo, si una fuerza de 30 N actúa sobre un cuerpo de 10 kg, la aceleración será a = F/m = 3 m/s².
Ejemplo práctico: Cuando caminas, empujas el suelo hacia atrás y el suelo te empuja hacia adelante con la misma fuerza.

Para analizar situaciones cotidianas, siempre sigue el mismo procedimiento: identifica las fuerzas, elige un sistema de referencia y aplica las leyes de Newton. En un plano horizontal, las fuerzas típicas son el peso, la normal, la fuerza aplicada y el rozamiento.
En planos inclinados, descompón el peso en dos componentes: Px = m·g·sen α (paralela al plano) y Py = m·g·cos α (perpendicular al plano). La componente Px es la que hace que los objetos deslicen cuesta abajo.
La clave está en elegir bien el sistema de referencia. En planos inclinados, usa un eje paralelo al plano y otro perpendicular. Esto simplifica enormemente los cálculos y evita errores.
Consejo de oro: En planos inclinados, el ángulo del plano siempre aparece en las componentes del peso.

Los ejercicios de fuerzas combinan varios conceptos. Cuando un cuerpo está en un plano inclinado con muelle, la fuerza neta es F = ·î, donde x es la elongación del muelle. Si esta fuerza es cero, el cuerpo está en equilibrio.
Para cuerpos conectados por cuerdas, recuerda que la tensión es la misma en toda la cuerda si es inextensible. Los cuerpos unidos tienen la misma aceleración tangencial. En poleas, la tensión cambia la dirección de la fuerza pero no su módulo.
Los problemas típicos incluyen: cálculo de aceleraciones en planos inclinados, sistemas de poleas, y situaciones con rozamiento. La clave es identificar correctamente todas las fuerzas y aplicar sistemáticamente las leyes de Newton.
Para el examen: Dibuja siempre un diagrama de fuerzas antes de empezar a calcular. Te ayudará a no olvidar ninguna fuerza.

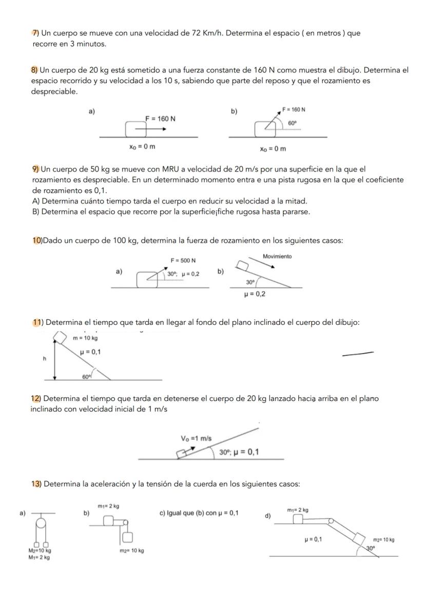
Los ejercicios de mecánica se resuelven aplicando sistemáticamente las leyes de Newton. Para movimientos en superficies rugosas, calcula primero la fuerza de rozamiento y luego aplica la segunda ley considerando todas las fuerzas.
En sistemas de poleas, todos los cuerpos conectados por la misma cuerda tienen aceleraciones relacionadas. La tensión de la cuerda es una incógnita que debes calcular aplicando la segunda ley a cada cuerpo por separado.
Los problemas de planos inclinados con rozamiento requieren descomponer el peso, calcular la normal y determinar si el rozamiento es estático o dinámico. Recuerda que Fr,máx = μe·N para rozamiento estático y Fr = μd·N para dinámico.
Estrategia ganadora: En sistemas complejos, aplica la segunda ley a cada cuerpo por separado y luego resuelve el sistema de ecuaciones resultante.
Nuestro compañero de IA está específicamente adaptado a las necesidades de los estudiantes. Basándonos en los millones de contenidos que tenemos en la plataforma, podemos dar a los estudiantes respuestas realmente significativas y relevantes. Pero no se trata solo de respuestas, el compañero también guía a los estudiantes a través de sus retos de aprendizaje diarios, con planes de aprendizaje personalizados, cuestionarios o contenidos en el chat y una personalización del 100% basada en las habilidades y el desarrollo de los estudiantes.
Puedes descargar la app en Google Play Store y Apple App Store.
Sí, tienes acceso gratuito a los contenidos de la aplicación y a nuestro compañero de IA. Para desbloquear determinadas funciones de la aplicación, puedes adquirir Knowunity Pro.
App Store
Google Play
La app es muy fácil de usar y está muy bien diseñada. Hasta ahora he encontrado todo lo que estaba buscando y he podido aprender mucho de las presentaciones. Definitivamente utilizaré la aplicación para un examen de clase. Y, por supuesto, también me sirve mucho de inspiración.
Pablo
usuario de iOS
Esta app es realmente genial. Hay tantos apuntes de clase y ayuda [...]. Tengo problemas con matemáticas, por ejemplo, y la aplicación tiene muchas opciones de ayuda. Gracias a Knowunity, he mejorado en mates. Se la recomiendo a todo el mundo.
Elena
usuaria de Android
Vaya, estoy realmente sorprendida. Acabo de probar la app porque la he visto anunciada muchas veces y me he quedado absolutamente alucinada. Esta app es LA AYUDA que quieres para el insti y, sobre todo, ofrece muchísimas cosas, como ejercicios y hojas informativas, que a mí personalmente me han sido MUY útiles.
Ana
usuaria de iOS
Está app es muy buena, tiene apuntes que son de mucha ayuda y su IA es fantástica, te explica a la perfección y muy fácil de entender lo que necesites, te ayuda con los deberes, te hace esquemas... en definitiva es una muy buena opción!
Sophia
usuario de Android
Me encanta!!! Me resuelve todo con detalle y me da la explicación correcta. Tiene un montón de funciones, ami me ha ido genial!! Os la recomiendo!!!
Marta
usuaria de Android
La uso casi diariamente, sirve para todas las asignaturas. Yo, por ejemplo la utilizo más en inglés porque se me da bastante mal, ¡Todas las respuestas están correctas! Consta con personas reales que suben sus apuntes y IA para que puedas hacer los deberes muchísimo más fácil, la recomiendo.
Izan
usuario de iOS
¡La app es buenísima! Sólo tengo que introducir el tema en la barra de búsqueda y recibo la respuesta muy rápido. No tengo que ver 10 vídeos de YouTube para entender algo, así que me ahorro tiempo. ¡Muy recomendable!
Sara
usuaria de Android
En el instituto era muy malo en matemáticas, pero gracias a la app, ahora saco mejores notas. Os agradezco mucho que hayáis creado la aplicación.
Roberto
usuario de Android
Esto no es como Chatgpt, es MUCHISMO MEJOR, te hace unos resúmenes espectaculares y gracias a esta app pase de sacar 5-6 a sacar 8-9.
Julyana
usuaria de Android
Es la mejor aplicación del mundo, la uso para revisar los deberes a mi hijo.
Javier
usuario de Android
LOS QUIZ Y FLASHCARDS SON SÚPER ÚTILES Y ME ENCANTA Knowunity IA. ADEMÁS ES LITERALMENTE COMO CHATGPT PERO MÁS LISTO!! ME AYUDÓ TAMBIÉN CON MIS PROBLEMAS DE MÁSCARA!! Y CON MIS ASIGNATURAS DE VERDAD! OBVIO 😍😁😲🤑💗✨🎀😮
Erick
usuario de Android
Me me encanta esta app, todo lo que tiene es de calidad ya que antes de ser publicado es revisado por un equipo de profesionales. Me ha ido genial esta aplicación ya que gracias a ella puedo estudiar mucho mejor, sin tener que agobiarme porque mi profesor no ha hecho teoría o porque no entiendo su teoría. Le doy un 10 de 10!
Mar
usuaria de iOS
La app es muy fácil de usar y está muy bien diseñada. Hasta ahora he encontrado todo lo que estaba buscando y he podido aprender mucho de las presentaciones. Definitivamente utilizaré la aplicación para un examen de clase. Y, por supuesto, también me sirve mucho de inspiración.
Pablo
usuario de iOS
Esta app es realmente genial. Hay tantos apuntes de clase y ayuda [...]. Tengo problemas con matemáticas, por ejemplo, y la aplicación tiene muchas opciones de ayuda. Gracias a Knowunity, he mejorado en mates. Se la recomiendo a todo el mundo.
Elena
usuaria de Android
Vaya, estoy realmente sorprendida. Acabo de probar la app porque la he visto anunciada muchas veces y me he quedado absolutamente alucinada. Esta app es LA AYUDA que quieres para el insti y, sobre todo, ofrece muchísimas cosas, como ejercicios y hojas informativas, que a mí personalmente me han sido MUY útiles.
Ana
usuaria de iOS
Está app es muy buena, tiene apuntes que son de mucha ayuda y su IA es fantástica, te explica a la perfección y muy fácil de entender lo que necesites, te ayuda con los deberes, te hace esquemas... en definitiva es una muy buena opción!
Sophia
usuario de Android
Me encanta!!! Me resuelve todo con detalle y me da la explicación correcta. Tiene un montón de funciones, ami me ha ido genial!! Os la recomiendo!!!
Marta
usuaria de Android
La uso casi diariamente, sirve para todas las asignaturas. Yo, por ejemplo la utilizo más en inglés porque se me da bastante mal, ¡Todas las respuestas están correctas! Consta con personas reales que suben sus apuntes y IA para que puedas hacer los deberes muchísimo más fácil, la recomiendo.
Izan
usuario de iOS
¡La app es buenísima! Sólo tengo que introducir el tema en la barra de búsqueda y recibo la respuesta muy rápido. No tengo que ver 10 vídeos de YouTube para entender algo, así que me ahorro tiempo. ¡Muy recomendable!
Sara
usuaria de Android
En el instituto era muy malo en matemáticas, pero gracias a la app, ahora saco mejores notas. Os agradezco mucho que hayáis creado la aplicación.
Roberto
usuario de Android
Esto no es como Chatgpt, es MUCHISMO MEJOR, te hace unos resúmenes espectaculares y gracias a esta app pase de sacar 5-6 a sacar 8-9.
Julyana
usuaria de Android
Es la mejor aplicación del mundo, la uso para revisar los deberes a mi hijo.
Javier
usuario de Android
LOS QUIZ Y FLASHCARDS SON SÚPER ÚTILES Y ME ENCANTA Knowunity IA. ADEMÁS ES LITERALMENTE COMO CHATGPT PERO MÁS LISTO!! ME AYUDÓ TAMBIÉN CON MIS PROBLEMAS DE MÁSCARA!! Y CON MIS ASIGNATURAS DE VERDAD! OBVIO 😍😁😲🤑💗✨🎀😮
Erick
usuario de Android
Me me encanta esta app, todo lo que tiene es de calidad ya que antes de ser publicado es revisado por un equipo de profesionales. Me ha ido genial esta aplicación ya que gracias a ella puedo estudiar mucho mejor, sin tener que agobiarme porque mi profesor no ha hecho teoría o porque no entiendo su teoría. Le doy un 10 de 10!
Mar
usuaria de iOS
marina
@marina_5960u
¿Alguna vez te has preguntado por qué cuando frenas bruscamente en un coche sales disparado hacia delante, o cómo funcionan realmente las fuerzas que nos rodean? La mecánica es la rama de la física que explica todo esto de manera... Mostrar más

Acceso a todos los documentos
Mejora tus notas
Únete a millones de estudiantes
¿Sabías que cuando empujas una puerta, la puerta también te empuja a ti? Las fuerzas son interacciones entre dos cuerpos que pueden deformar objetos o cambiar su movimiento. Se miden en newtons (N) y son magnitudes vectoriales, lo que significa que tienen dirección, sentido y módulo.
Lo genial es que las fuerzas pueden actuar de dos formas: por contacto (como cuando pateas un balón) o a distancia (como la gravedad que te mantiene pegado al suelo). Cuando varias fuerzas actúan sobre el mismo objeto, puedes sumarlas vectorialmente para obtener la fuerza resultante.
Para representar una fuerza necesitas conocer su punto de aplicación, dirección, sentido y módulo. Puedes descomponer cualquier fuerza en sus componentes cartesianas usando trigonometría: Fx = F·cos α y Fy = F·sen α.
Dato curioso: El newton se define como la fuerza necesaria para acelerar 1 kg de masa a 1 m/s². ¡Es menos de lo que pesa una manzana!

Acceso a todos los documentos
Mejora tus notas
Únete a millones de estudiantes
Toda la física del universo se basa en solo cuatro interacciones fundamentales. La interacción gravitatoria es la que conoces mejor: mantiene los planetas en órbita y hace que los objetos caigan. Newton fue el primero en darse cuenta de que la misma fuerza que hace caer una manzana mantiene la Luna girando alrededor de la Tierra.
La interacción electromagnética es la responsable de que los átomos se mantengan unidos y de que funcione tu móvil. Maxwell descubrió que la electricidad y el magnetismo son parte de la misma fuerza. Las otras dos son las interacciones nucleares fuerte y débil, que mantienen unido el núcleo atómico y explican la radiactividad.
En tu día a día te encuentras con fuerzas más familiares. El peso se calcula como P = m·g . Las fuerzas elásticas siguen la ley de Hooke: F = -k·x, donde k es la constante del muelle y x su deformación.
Para recordar: Todas las fuerzas complicadas del universo se reducen a estas cuatro interacciones fundamentales.

Acceso a todos los documentos
Mejora tus notas
Únete a millones de estudiantes
La fuerza normal aparece siempre que apoyas algo sobre una superficie. Es perpendicular a la superficie de contacto y evita que los objetos se hundan unos en otros. Cuando utilizas una cuerda para arrastrar algo, aparece la tensión, que se transmite por toda la cuerda si esta es inextensible y sin masa.
El rozamiento es esa fuerza que siempre se opone al movimiento y que hace que tu bici se pare si dejas de pedalear. Su módulo es proporcional a la fuerza normal: Fr = μ·N. Existen dos tipos de coeficiente de rozamiento: el estático (μe) cuando el objeto no se mueve, y el dinámico (μd) cuando sí se mueve, siendo siempre μe > μd.
Estas fuerzas son fundamentales para resolver problemas de mecánica. La normal siempre es perpendicular a la superficie, el rozamiento siempre se opone al movimiento, y la tensión se transmite por cuerdas inextensibles.
Truco de examen: El coeficiente de rozamiento no tiene unidades porque es un cociente entre fuerzas.

Acceso a todos los documentos
Mejora tus notas
Únete a millones de estudiantes
La primera ley de Newton o ley de la inercia dice que un objeto en reposo permanece en reposo, y uno en movimiento rectilíneo uniforme sigue así, a menos que actúe una fuerza sobre él. Por eso cuando un coche frena bruscamente, tú sigues moviéndote hacia adelante.
La segunda ley de Newton es la más útil para resolver problemas: F = m·a. La fuerza resultante es directamente proporcional a la aceleración, siendo la masa la constante de proporcionalidad. Esta ley te permite calcular aceleraciones, fuerzas o masas en cualquier situación.
La segunda ley es vectorial, así que puedes trabajar por componentes: Fx = m·ax y Fy = m·ay. La masa mide la inercia de un cuerpo, es decir, su resistencia a cambiar su estado de movimiento.
Clave para aprobar: La fuerza en F = m·a siempre es la resultante de todas las fuerzas que actúan sobre el cuerpo.

Acceso a todos los documentos
Mejora tus notas
Únete a millones de estudiantes
La tercera ley de Newton o principio de acción-reacción establece que si un cuerpo ejerce una fuerza sobre otro, este ejerce una fuerza igual y opuesta sobre el primero: F₁₂ = -F₂₁. Es importante recordar que estas fuerzas actúan sobre cuerpos diferentes, por eso no se anulan entre sí.
Para resolver problemas de dinámica sigue estos pasos: identifica todas las fuerzas que actúan sobre cada cuerpo, elige un sistema de referencia adecuado, calcula las componentes de cada fuerza y aplica la segunda ley de Newton.
Los ejercicios típicos incluyen calcular aceleraciones, fuerzas y distancias recorridas. Por ejemplo, si una fuerza de 30 N actúa sobre un cuerpo de 10 kg, la aceleración será a = F/m = 3 m/s².
Ejemplo práctico: Cuando caminas, empujas el suelo hacia atrás y el suelo te empuja hacia adelante con la misma fuerza.

Acceso a todos los documentos
Mejora tus notas
Únete a millones de estudiantes
Para analizar situaciones cotidianas, siempre sigue el mismo procedimiento: identifica las fuerzas, elige un sistema de referencia y aplica las leyes de Newton. En un plano horizontal, las fuerzas típicas son el peso, la normal, la fuerza aplicada y el rozamiento.
En planos inclinados, descompón el peso en dos componentes: Px = m·g·sen α (paralela al plano) y Py = m·g·cos α (perpendicular al plano). La componente Px es la que hace que los objetos deslicen cuesta abajo.
La clave está en elegir bien el sistema de referencia. En planos inclinados, usa un eje paralelo al plano y otro perpendicular. Esto simplifica enormemente los cálculos y evita errores.
Consejo de oro: En planos inclinados, el ángulo del plano siempre aparece en las componentes del peso.

Acceso a todos los documentos
Mejora tus notas
Únete a millones de estudiantes
Los ejercicios de fuerzas combinan varios conceptos. Cuando un cuerpo está en un plano inclinado con muelle, la fuerza neta es F = ·î, donde x es la elongación del muelle. Si esta fuerza es cero, el cuerpo está en equilibrio.
Para cuerpos conectados por cuerdas, recuerda que la tensión es la misma en toda la cuerda si es inextensible. Los cuerpos unidos tienen la misma aceleración tangencial. En poleas, la tensión cambia la dirección de la fuerza pero no su módulo.
Los problemas típicos incluyen: cálculo de aceleraciones en planos inclinados, sistemas de poleas, y situaciones con rozamiento. La clave es identificar correctamente todas las fuerzas y aplicar sistemáticamente las leyes de Newton.
Para el examen: Dibuja siempre un diagrama de fuerzas antes de empezar a calcular. Te ayudará a no olvidar ninguna fuerza.

Acceso a todos los documentos
Mejora tus notas
Únete a millones de estudiantes
Los ejercicios de mecánica se resuelven aplicando sistemáticamente las leyes de Newton. Para movimientos en superficies rugosas, calcula primero la fuerza de rozamiento y luego aplica la segunda ley considerando todas las fuerzas.
En sistemas de poleas, todos los cuerpos conectados por la misma cuerda tienen aceleraciones relacionadas. La tensión de la cuerda es una incógnita que debes calcular aplicando la segunda ley a cada cuerpo por separado.
Los problemas de planos inclinados con rozamiento requieren descomponer el peso, calcular la normal y determinar si el rozamiento es estático o dinámico. Recuerda que Fr,máx = μe·N para rozamiento estático y Fr = μd·N para dinámico.
Estrategia ganadora: En sistemas complejos, aplica la segunda ley a cada cuerpo por separado y luego resuelve el sistema de ecuaciones resultante.
Nuestro compañero de IA está específicamente adaptado a las necesidades de los estudiantes. Basándonos en los millones de contenidos que tenemos en la plataforma, podemos dar a los estudiantes respuestas realmente significativas y relevantes. Pero no se trata solo de respuestas, el compañero también guía a los estudiantes a través de sus retos de aprendizaje diarios, con planes de aprendizaje personalizados, cuestionarios o contenidos en el chat y una personalización del 100% basada en las habilidades y el desarrollo de los estudiantes.
Puedes descargar la app en Google Play Store y Apple App Store.
Sí, tienes acceso gratuito a los contenidos de la aplicación y a nuestro compañero de IA. Para desbloquear determinadas funciones de la aplicación, puedes adquirir Knowunity Pro.
5
Herramientas Inteligentes NUEVO
Transforma estos apuntes en: ✓ 50+ Preguntas de Práctica ✓ Flashcards Interactivas ✓ Examen Completo de Práctica ✓ Esquemas de Ensayo
App Store
Google Play
La app es muy fácil de usar y está muy bien diseñada. Hasta ahora he encontrado todo lo que estaba buscando y he podido aprender mucho de las presentaciones. Definitivamente utilizaré la aplicación para un examen de clase. Y, por supuesto, también me sirve mucho de inspiración.
Pablo
usuario de iOS
Esta app es realmente genial. Hay tantos apuntes de clase y ayuda [...]. Tengo problemas con matemáticas, por ejemplo, y la aplicación tiene muchas opciones de ayuda. Gracias a Knowunity, he mejorado en mates. Se la recomiendo a todo el mundo.
Elena
usuaria de Android
Vaya, estoy realmente sorprendida. Acabo de probar la app porque la he visto anunciada muchas veces y me he quedado absolutamente alucinada. Esta app es LA AYUDA que quieres para el insti y, sobre todo, ofrece muchísimas cosas, como ejercicios y hojas informativas, que a mí personalmente me han sido MUY útiles.
Ana
usuaria de iOS
Está app es muy buena, tiene apuntes que son de mucha ayuda y su IA es fantástica, te explica a la perfección y muy fácil de entender lo que necesites, te ayuda con los deberes, te hace esquemas... en definitiva es una muy buena opción!
Sophia
usuario de Android
Me encanta!!! Me resuelve todo con detalle y me da la explicación correcta. Tiene un montón de funciones, ami me ha ido genial!! Os la recomiendo!!!
Marta
usuaria de Android
La uso casi diariamente, sirve para todas las asignaturas. Yo, por ejemplo la utilizo más en inglés porque se me da bastante mal, ¡Todas las respuestas están correctas! Consta con personas reales que suben sus apuntes y IA para que puedas hacer los deberes muchísimo más fácil, la recomiendo.
Izan
usuario de iOS
¡La app es buenísima! Sólo tengo que introducir el tema en la barra de búsqueda y recibo la respuesta muy rápido. No tengo que ver 10 vídeos de YouTube para entender algo, así que me ahorro tiempo. ¡Muy recomendable!
Sara
usuaria de Android
En el instituto era muy malo en matemáticas, pero gracias a la app, ahora saco mejores notas. Os agradezco mucho que hayáis creado la aplicación.
Roberto
usuario de Android
Esto no es como Chatgpt, es MUCHISMO MEJOR, te hace unos resúmenes espectaculares y gracias a esta app pase de sacar 5-6 a sacar 8-9.
Julyana
usuaria de Android
Es la mejor aplicación del mundo, la uso para revisar los deberes a mi hijo.
Javier
usuario de Android
LOS QUIZ Y FLASHCARDS SON SÚPER ÚTILES Y ME ENCANTA Knowunity IA. ADEMÁS ES LITERALMENTE COMO CHATGPT PERO MÁS LISTO!! ME AYUDÓ TAMBIÉN CON MIS PROBLEMAS DE MÁSCARA!! Y CON MIS ASIGNATURAS DE VERDAD! OBVIO 😍😁😲🤑💗✨🎀😮
Erick
usuario de Android
Me me encanta esta app, todo lo que tiene es de calidad ya que antes de ser publicado es revisado por un equipo de profesionales. Me ha ido genial esta aplicación ya que gracias a ella puedo estudiar mucho mejor, sin tener que agobiarme porque mi profesor no ha hecho teoría o porque no entiendo su teoría. Le doy un 10 de 10!
Mar
usuaria de iOS
La app es muy fácil de usar y está muy bien diseñada. Hasta ahora he encontrado todo lo que estaba buscando y he podido aprender mucho de las presentaciones. Definitivamente utilizaré la aplicación para un examen de clase. Y, por supuesto, también me sirve mucho de inspiración.
Pablo
usuario de iOS
Esta app es realmente genial. Hay tantos apuntes de clase y ayuda [...]. Tengo problemas con matemáticas, por ejemplo, y la aplicación tiene muchas opciones de ayuda. Gracias a Knowunity, he mejorado en mates. Se la recomiendo a todo el mundo.
Elena
usuaria de Android
Vaya, estoy realmente sorprendida. Acabo de probar la app porque la he visto anunciada muchas veces y me he quedado absolutamente alucinada. Esta app es LA AYUDA que quieres para el insti y, sobre todo, ofrece muchísimas cosas, como ejercicios y hojas informativas, que a mí personalmente me han sido MUY útiles.
Ana
usuaria de iOS
Está app es muy buena, tiene apuntes que son de mucha ayuda y su IA es fantástica, te explica a la perfección y muy fácil de entender lo que necesites, te ayuda con los deberes, te hace esquemas... en definitiva es una muy buena opción!
Sophia
usuario de Android
Me encanta!!! Me resuelve todo con detalle y me da la explicación correcta. Tiene un montón de funciones, ami me ha ido genial!! Os la recomiendo!!!
Marta
usuaria de Android
La uso casi diariamente, sirve para todas las asignaturas. Yo, por ejemplo la utilizo más en inglés porque se me da bastante mal, ¡Todas las respuestas están correctas! Consta con personas reales que suben sus apuntes y IA para que puedas hacer los deberes muchísimo más fácil, la recomiendo.
Izan
usuario de iOS
¡La app es buenísima! Sólo tengo que introducir el tema en la barra de búsqueda y recibo la respuesta muy rápido. No tengo que ver 10 vídeos de YouTube para entender algo, así que me ahorro tiempo. ¡Muy recomendable!
Sara
usuaria de Android
En el instituto era muy malo en matemáticas, pero gracias a la app, ahora saco mejores notas. Os agradezco mucho que hayáis creado la aplicación.
Roberto
usuario de Android
Esto no es como Chatgpt, es MUCHISMO MEJOR, te hace unos resúmenes espectaculares y gracias a esta app pase de sacar 5-6 a sacar 8-9.
Julyana
usuaria de Android
Es la mejor aplicación del mundo, la uso para revisar los deberes a mi hijo.
Javier
usuario de Android
LOS QUIZ Y FLASHCARDS SON SÚPER ÚTILES Y ME ENCANTA Knowunity IA. ADEMÁS ES LITERALMENTE COMO CHATGPT PERO MÁS LISTO!! ME AYUDÓ TAMBIÉN CON MIS PROBLEMAS DE MÁSCARA!! Y CON MIS ASIGNATURAS DE VERDAD! OBVIO 😍😁😲🤑💗✨🎀😮
Erick
usuario de Android
Me me encanta esta app, todo lo que tiene es de calidad ya que antes de ser publicado es revisado por un equipo de profesionales. Me ha ido genial esta aplicación ya que gracias a ella puedo estudiar mucho mejor, sin tener que agobiarme porque mi profesor no ha hecho teoría o porque no entiendo su teoría. Le doy un 10 de 10!
Mar
usuaria de iOS