Tu cuerpo es como una ciudad súper organizada donde millones... Mostrar más
Inscríbete para ver los apuntes¡Es gratis!
Acceso a todos los documentos
Mejora tus notas
Únete a millones de estudiantes
Knowunity AI
Asignaturas
Triangle Congruence and Similarity Theorems
Triangle Properties and Classification
Linear Equations and Graphs
Geometric Angle Relationships
Trigonometric Functions and Identities
Equation Solving Techniques
Circle Geometry Fundamentals
Division Operations and Methods
Basic Differentiation Rules
Exponent and Logarithm Properties
Mostrar todos los temas
Human Organ Systems
Reproductive Cell Cycles
Biological Sciences Subdisciplines
Cellular Energy Metabolism
Autotrophic Energy Processes
Inheritance Patterns and Principles
Biomolecular Structure and Organization
Cell Cycle and Division Mechanics
Cellular Organization and Development
Biological Structural Organization
Mostrar todos los temas
Chemical Sciences and Applications
Atomic Structure and Composition
Molecular Electron Structure Representation
Atomic Electron Behavior
Matter Properties and Water
Mole Concept and Calculations
Gas Laws and Behavior
Periodic Table Organization
Chemical Thermodynamics Fundamentals
Chemical Bond Types and Properties
Mostrar todos los temas
European Renaissance and Enlightenment
European Cultural Movements 800-1920
American Revolution Era 1763-1797
American Civil War 1861-1865
Global Imperial Systems
Mongol and Chinese Dynasties
U.S. Presidents and World Leaders
Historical Sources and Documentation
World Wars Era and Impact
World Religious Systems
Mostrar todos los temas
Classic and Contemporary Novels
Literary Character Analysis
Rhetorical Theory and Practice
Classic Literary Narratives
Reading Analysis and Interpretation
Narrative Structure and Techniques
English Language Components
Influential English-Language Authors
Basic Sentence Structure
Narrative Voice and Perspective
Mostrar todos los temas
728
•
Actualizado May 12, 2026
•
Laia
@laia_study
Tu cuerpo es como una ciudad súper organizada donde millones... Mostrar más





¿Sabías que tu cuerpo sigue una organización perfecta como una pirámide? Todo empieza con los átomos, que son las partículas más pequeñas que conservan las propiedades de la materia. Cuando estos átomos se unen, forman moléculas.
Las biomoléculas son las moléculas que forman parte de los seres vivos y se dividen en dos grupos principales. Las inorgánicas incluyen el agua y las sales minerales, mientras que las orgánicas son cuatro tipos súper importantes: glúcidos (tu energía rápida), lípidos (tus reservas y membranas), proteínas (tus estructuras y transporte) y ácidos nucleicos (tu información genética).
La secuencia completa es: Átomos → Moléculas → Células → Tejidos → Órganos → Sistemas/Aparatos → Organismos pluricelulares. Cada nivel es más complejo que el anterior, pero todos trabajan juntos para que funciones perfectamente.
💡 Dato curioso: Las células humanas son eucariotas de tipo animal, lo que significa que tienen núcleo y orgánulos especializados.

Imagínate que cada célula de tu cuerpo es como una mini-fábrica súper eficiente. La membrana plasmática es como la puerta de entrada: es una bicapa de lípidos que protege, detecta cambios del exterior y regula qué entra y qué sale de la célula.
El núcleo es el centro de control donde está tu ADN en forma de cromatina (cuando la célula trabaja normalmente) o cromosomas (cuando se está dividiendo). Los humanos tenemos 46 fibras de ADN, y también hay un nucleolo donde se fabrican los ribosomas.
El citoplasma es el espacio entre el núcleo y la membrana, lleno de citosol donde flotan los orgánulos. Los más importantes son: mitocondrias (las centrales energéticas), retículo endoplasmático (fábrica de lípidos y proteínas), aparato de Golgi (empaquetado y envío), lisosomas (digestión celular) y ribosomas (síntesis de proteínas).
💡 Recuerda: Todas tus células empezaron siendo iguales en el cigoto, pero se especializaron gracias a la diferenciación celular.

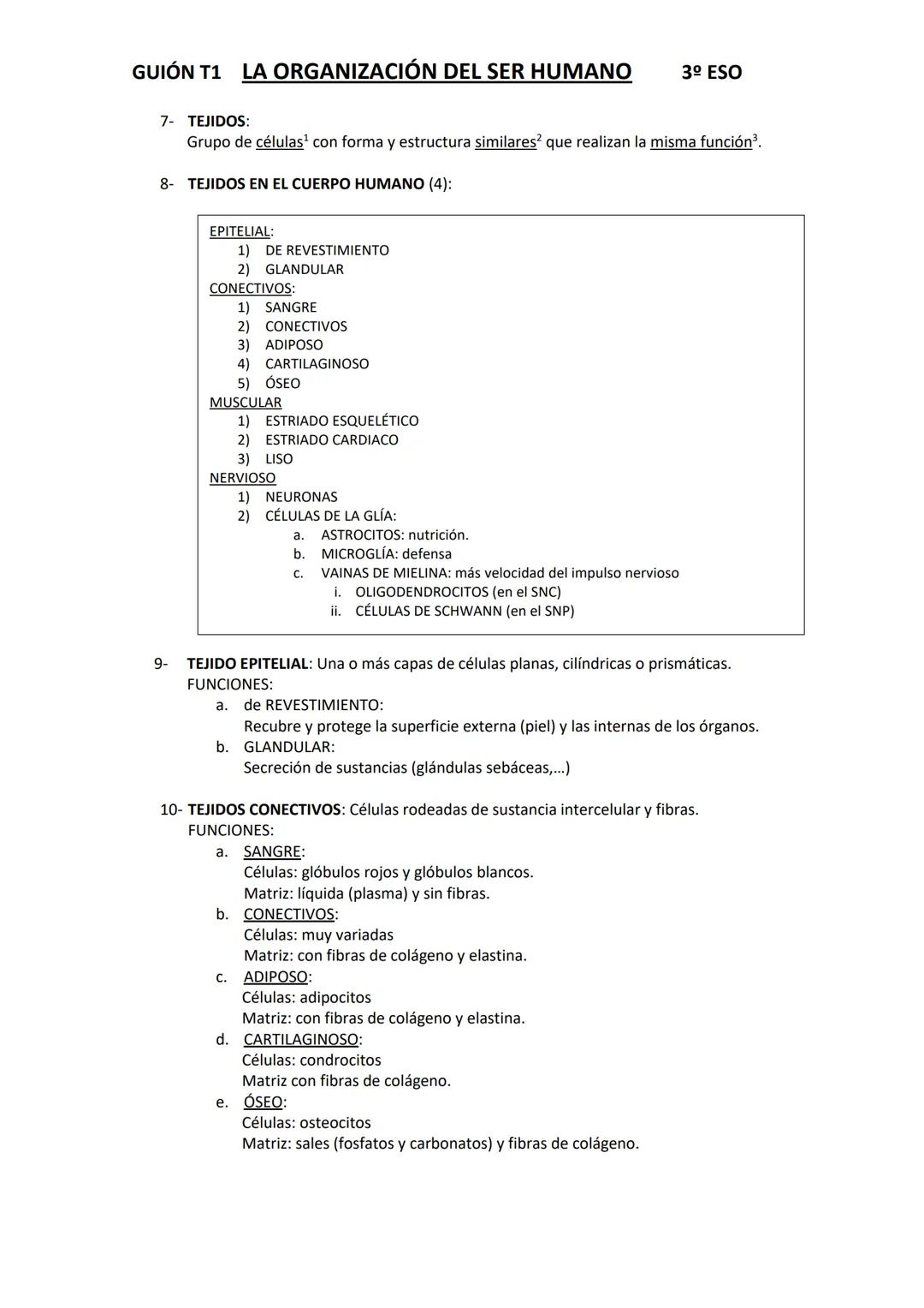
Tu cuerpo tiene cuatro tipos principales de tejidos, que son grupos de células similares que hacen el mismo trabajo. Es como tener cuatro equipos especializados en tu organismo.
El tejido epitelial tiene dos funciones clave: el de revestimiento (como tu piel, que te protege) y el glandular (que produce sustancias como el sudor). El tejido conectivo es el más variado e incluye la sangre (transporte), el adiposo (reservas de grasa), el cartilaginoso (flexibilidad) y el óseo (soporte y protección).
Los tejidos conectivos tienen células rodeadas de una matriz con fibras. Por ejemplo, la sangre tiene glóbulos rojos y blancos en plasma líquido, mientras que el tejido óseo tiene osteocitos en una matriz dura con sales y fibras de colágeno.
💡 Tip de estudio: Recuerda que cada tejido conectivo se define por sus células específicas y el tipo de matriz que las rodea.

Los tejidos musculares están formados por miocitos y hay tres tipos que debes conocer bien. El estriado esquelético (músculos) tiene muchos núcleos y movimientos voluntarios rápidos, el estriado cardíaco (corazón) tiene un núcleo y movimientos involuntarios rápidos, y el liso (tubo digestivo) tiene un núcleo y movimientos involuntarios lentos.
El sistema nervioso tiene neuronas con tres partes: dendritas (reciben información), soma (núcleo y citoplasma) y axón (transmite impulsos). Las células de la glía ayudan: astrocitos nutren, microglía defiende, y las vainas de mielina aceleran los impulsos nerviosos.
Los órganos son tejidos coordinados con función específica, que se agrupan en aparatos (órganos diferentes, misma función) o sistemas (órganos iguales, funciones diferentes). Todo esto mantiene tu medio interno estable gracias a la homeostasis.
💡 Conexión importante: El medio interno es el líquido que baña tus células, y la homeostasis son todos los procesos que lo mantienen equilibrado para que vivas.
Nuestro compañero de IA está específicamente adaptado a las necesidades de los estudiantes. Basándonos en los millones de contenidos que tenemos en la plataforma, podemos dar a los estudiantes respuestas realmente significativas y relevantes. Pero no se trata solo de respuestas, el compañero también guía a los estudiantes a través de sus retos de aprendizaje diarios, con planes de aprendizaje personalizados, cuestionarios o contenidos en el chat y una personalización del 100% basada en las habilidades y el desarrollo de los estudiantes.
Puedes descargar la app en Google Play Store y Apple App Store.
Sí, tienes acceso gratuito a los contenidos de la aplicación y a nuestro compañero de IA. Para desbloquear determinadas funciones de la aplicación, puedes adquirir Knowunity Pro.
App Store
Google Play
La app es muy fácil de usar y está muy bien diseñada. Hasta ahora he encontrado todo lo que estaba buscando y he podido aprender mucho de las presentaciones. Definitivamente utilizaré la aplicación para un examen de clase. Y, por supuesto, también me sirve mucho de inspiración.
Pablo
usuario de iOS
Esta app es realmente genial. Hay tantos apuntes de clase y ayuda [...]. Tengo problemas con matemáticas, por ejemplo, y la aplicación tiene muchas opciones de ayuda. Gracias a Knowunity, he mejorado en mates. Se la recomiendo a todo el mundo.
Elena
usuaria de Android
Vaya, estoy realmente sorprendida. Acabo de probar la app porque la he visto anunciada muchas veces y me he quedado absolutamente alucinada. Esta app es LA AYUDA que quieres para el insti y, sobre todo, ofrece muchísimas cosas, como ejercicios y hojas informativas, que a mí personalmente me han sido MUY útiles.
Ana
usuaria de iOS
Está app es muy buena, tiene apuntes que son de mucha ayuda y su IA es fantástica, te explica a la perfección y muy fácil de entender lo que necesites, te ayuda con los deberes, te hace esquemas... en definitiva es una muy buena opción!
Sophia
usuario de Android
Me encanta!!! Me resuelve todo con detalle y me da la explicación correcta. Tiene un montón de funciones, ami me ha ido genial!! Os la recomiendo!!!
Marta
usuaria de Android
La uso casi diariamente, sirve para todas las asignaturas. Yo, por ejemplo la utilizo más en inglés porque se me da bastante mal, ¡Todas las respuestas están correctas! Consta con personas reales que suben sus apuntes y IA para que puedas hacer los deberes muchísimo más fácil, la recomiendo.
Izan
usuario de iOS
¡La app es buenísima! Sólo tengo que introducir el tema en la barra de búsqueda y recibo la respuesta muy rápido. No tengo que ver 10 vídeos de YouTube para entender algo, así que me ahorro tiempo. ¡Muy recomendable!
Sara
usuaria de Android
En el instituto era muy malo en matemáticas, pero gracias a la app, ahora saco mejores notas. Os agradezco mucho que hayáis creado la aplicación.
Roberto
usuario de Android
Esto no es como Chatgpt, es MUCHISMO MEJOR, te hace unos resúmenes espectaculares y gracias a esta app pase de sacar 5-6 a sacar 8-9.
Julyana
usuaria de Android
Es la mejor aplicación del mundo, la uso para revisar los deberes a mi hijo.
Javier
usuario de Android
LOS QUIZ Y FLASHCARDS SON SÚPER ÚTILES Y ME ENCANTA Knowunity IA. ADEMÁS ES LITERALMENTE COMO CHATGPT PERO MÁS LISTO!! ME AYUDÓ TAMBIÉN CON MIS PROBLEMAS DE MÁSCARA!! Y CON MIS ASIGNATURAS DE VERDAD! OBVIO 😍😁😲🤑💗✨🎀😮
Erick
usuario de Android
Me me encanta esta app, todo lo que tiene es de calidad ya que antes de ser publicado es revisado por un equipo de profesionales. Me ha ido genial esta aplicación ya que gracias a ella puedo estudiar mucho mejor, sin tener que agobiarme porque mi profesor no ha hecho teoría o porque no entiendo su teoría. Le doy un 10 de 10!
Mar
usuaria de iOS
La app es muy fácil de usar y está muy bien diseñada. Hasta ahora he encontrado todo lo que estaba buscando y he podido aprender mucho de las presentaciones. Definitivamente utilizaré la aplicación para un examen de clase. Y, por supuesto, también me sirve mucho de inspiración.
Pablo
usuario de iOS
Esta app es realmente genial. Hay tantos apuntes de clase y ayuda [...]. Tengo problemas con matemáticas, por ejemplo, y la aplicación tiene muchas opciones de ayuda. Gracias a Knowunity, he mejorado en mates. Se la recomiendo a todo el mundo.
Elena
usuaria de Android
Vaya, estoy realmente sorprendida. Acabo de probar la app porque la he visto anunciada muchas veces y me he quedado absolutamente alucinada. Esta app es LA AYUDA que quieres para el insti y, sobre todo, ofrece muchísimas cosas, como ejercicios y hojas informativas, que a mí personalmente me han sido MUY útiles.
Ana
usuaria de iOS
Está app es muy buena, tiene apuntes que son de mucha ayuda y su IA es fantástica, te explica a la perfección y muy fácil de entender lo que necesites, te ayuda con los deberes, te hace esquemas... en definitiva es una muy buena opción!
Sophia
usuario de Android
Me encanta!!! Me resuelve todo con detalle y me da la explicación correcta. Tiene un montón de funciones, ami me ha ido genial!! Os la recomiendo!!!
Marta
usuaria de Android
La uso casi diariamente, sirve para todas las asignaturas. Yo, por ejemplo la utilizo más en inglés porque se me da bastante mal, ¡Todas las respuestas están correctas! Consta con personas reales que suben sus apuntes y IA para que puedas hacer los deberes muchísimo más fácil, la recomiendo.
Izan
usuario de iOS
¡La app es buenísima! Sólo tengo que introducir el tema en la barra de búsqueda y recibo la respuesta muy rápido. No tengo que ver 10 vídeos de YouTube para entender algo, así que me ahorro tiempo. ¡Muy recomendable!
Sara
usuaria de Android
En el instituto era muy malo en matemáticas, pero gracias a la app, ahora saco mejores notas. Os agradezco mucho que hayáis creado la aplicación.
Roberto
usuario de Android
Esto no es como Chatgpt, es MUCHISMO MEJOR, te hace unos resúmenes espectaculares y gracias a esta app pase de sacar 5-6 a sacar 8-9.
Julyana
usuaria de Android
Es la mejor aplicación del mundo, la uso para revisar los deberes a mi hijo.
Javier
usuario de Android
LOS QUIZ Y FLASHCARDS SON SÚPER ÚTILES Y ME ENCANTA Knowunity IA. ADEMÁS ES LITERALMENTE COMO CHATGPT PERO MÁS LISTO!! ME AYUDÓ TAMBIÉN CON MIS PROBLEMAS DE MÁSCARA!! Y CON MIS ASIGNATURAS DE VERDAD! OBVIO 😍😁😲🤑💗✨🎀😮
Erick
usuario de Android
Me me encanta esta app, todo lo que tiene es de calidad ya que antes de ser publicado es revisado por un equipo de profesionales. Me ha ido genial esta aplicación ya que gracias a ella puedo estudiar mucho mejor, sin tener que agobiarme porque mi profesor no ha hecho teoría o porque no entiendo su teoría. Le doy un 10 de 10!
Mar
usuaria de iOS
Laia
@laia_study
Tu cuerpo es como una ciudad súper organizada donde millones de células trabajan juntas para mantenerte vivo. Desde los átomos más pequeños hasta los sistemas más complejos, todo sigue un orden perfecto que vas a entender fácilmente.

Acceso a todos los documentos
Mejora tus notas
Únete a millones de estudiantes
¿Sabías que tu cuerpo sigue una organización perfecta como una pirámide? Todo empieza con los átomos, que son las partículas más pequeñas que conservan las propiedades de la materia. Cuando estos átomos se unen, forman moléculas.
Las biomoléculas son las moléculas que forman parte de los seres vivos y se dividen en dos grupos principales. Las inorgánicas incluyen el agua y las sales minerales, mientras que las orgánicas son cuatro tipos súper importantes: glúcidos (tu energía rápida), lípidos (tus reservas y membranas), proteínas (tus estructuras y transporte) y ácidos nucleicos (tu información genética).
La secuencia completa es: Átomos → Moléculas → Células → Tejidos → Órganos → Sistemas/Aparatos → Organismos pluricelulares. Cada nivel es más complejo que el anterior, pero todos trabajan juntos para que funciones perfectamente.
💡 Dato curioso: Las células humanas son eucariotas de tipo animal, lo que significa que tienen núcleo y orgánulos especializados.

Acceso a todos los documentos
Mejora tus notas
Únete a millones de estudiantes
Imagínate que cada célula de tu cuerpo es como una mini-fábrica súper eficiente. La membrana plasmática es como la puerta de entrada: es una bicapa de lípidos que protege, detecta cambios del exterior y regula qué entra y qué sale de la célula.
El núcleo es el centro de control donde está tu ADN en forma de cromatina (cuando la célula trabaja normalmente) o cromosomas (cuando se está dividiendo). Los humanos tenemos 46 fibras de ADN, y también hay un nucleolo donde se fabrican los ribosomas.
El citoplasma es el espacio entre el núcleo y la membrana, lleno de citosol donde flotan los orgánulos. Los más importantes son: mitocondrias (las centrales energéticas), retículo endoplasmático (fábrica de lípidos y proteínas), aparato de Golgi (empaquetado y envío), lisosomas (digestión celular) y ribosomas (síntesis de proteínas).
💡 Recuerda: Todas tus células empezaron siendo iguales en el cigoto, pero se especializaron gracias a la diferenciación celular.

Acceso a todos los documentos
Mejora tus notas
Únete a millones de estudiantes
Tu cuerpo tiene cuatro tipos principales de tejidos, que son grupos de células similares que hacen el mismo trabajo. Es como tener cuatro equipos especializados en tu organismo.
El tejido epitelial tiene dos funciones clave: el de revestimiento (como tu piel, que te protege) y el glandular (que produce sustancias como el sudor). El tejido conectivo es el más variado e incluye la sangre (transporte), el adiposo (reservas de grasa), el cartilaginoso (flexibilidad) y el óseo (soporte y protección).
Los tejidos conectivos tienen células rodeadas de una matriz con fibras. Por ejemplo, la sangre tiene glóbulos rojos y blancos en plasma líquido, mientras que el tejido óseo tiene osteocitos en una matriz dura con sales y fibras de colágeno.
💡 Tip de estudio: Recuerda que cada tejido conectivo se define por sus células específicas y el tipo de matriz que las rodea.

Acceso a todos los documentos
Mejora tus notas
Únete a millones de estudiantes
Los tejidos musculares están formados por miocitos y hay tres tipos que debes conocer bien. El estriado esquelético (músculos) tiene muchos núcleos y movimientos voluntarios rápidos, el estriado cardíaco (corazón) tiene un núcleo y movimientos involuntarios rápidos, y el liso (tubo digestivo) tiene un núcleo y movimientos involuntarios lentos.
El sistema nervioso tiene neuronas con tres partes: dendritas (reciben información), soma (núcleo y citoplasma) y axón (transmite impulsos). Las células de la glía ayudan: astrocitos nutren, microglía defiende, y las vainas de mielina aceleran los impulsos nerviosos.
Los órganos son tejidos coordinados con función específica, que se agrupan en aparatos (órganos diferentes, misma función) o sistemas (órganos iguales, funciones diferentes). Todo esto mantiene tu medio interno estable gracias a la homeostasis.
💡 Conexión importante: El medio interno es el líquido que baña tus células, y la homeostasis son todos los procesos que lo mantienen equilibrado para que vivas.
Nuestro compañero de IA está específicamente adaptado a las necesidades de los estudiantes. Basándonos en los millones de contenidos que tenemos en la plataforma, podemos dar a los estudiantes respuestas realmente significativas y relevantes. Pero no se trata solo de respuestas, el compañero también guía a los estudiantes a través de sus retos de aprendizaje diarios, con planes de aprendizaje personalizados, cuestionarios o contenidos en el chat y una personalización del 100% basada en las habilidades y el desarrollo de los estudiantes.
Puedes descargar la app en Google Play Store y Apple App Store.
Sí, tienes acceso gratuito a los contenidos de la aplicación y a nuestro compañero de IA. Para desbloquear determinadas funciones de la aplicación, puedes adquirir Knowunity Pro.
11
Herramientas Inteligentes NUEVO
Transforma estos apuntes en: ✓ 50+ Preguntas de Práctica ✓ Flashcards Interactivas ✓ Examen Completo de Práctica ✓ Esquemas de Ensayo
Aparato Circulatorio: • Vasos Sanguíneos • Componentes de la sangre • Corazón y ciclo cardíaco • Circulación menor/pulmonar • Circulación mayor/general Aparato excretor: • Anatomía • Formación de la orina
Diferentes partes del tórax y el diafragma y artrología del tórax.
❤️
Explicación de cada uno de las partes del sistema circulatorio y linfático
Dibujo del corazón y sus partes, recorrido de la sangre, vasos sanguíneos, componentes de la sangre, enfermedades del circulatorio y linfático, sistema linfático.
Aparato circulatorio: partes del sistema circulatorio, de que esta formada la sangre, la circulación doble. Aparato excretor: órganos excretores partes del sistema excretor.
App Store
Google Play
La app es muy fácil de usar y está muy bien diseñada. Hasta ahora he encontrado todo lo que estaba buscando y he podido aprender mucho de las presentaciones. Definitivamente utilizaré la aplicación para un examen de clase. Y, por supuesto, también me sirve mucho de inspiración.
Pablo
usuario de iOS
Esta app es realmente genial. Hay tantos apuntes de clase y ayuda [...]. Tengo problemas con matemáticas, por ejemplo, y la aplicación tiene muchas opciones de ayuda. Gracias a Knowunity, he mejorado en mates. Se la recomiendo a todo el mundo.
Elena
usuaria de Android
Vaya, estoy realmente sorprendida. Acabo de probar la app porque la he visto anunciada muchas veces y me he quedado absolutamente alucinada. Esta app es LA AYUDA que quieres para el insti y, sobre todo, ofrece muchísimas cosas, como ejercicios y hojas informativas, que a mí personalmente me han sido MUY útiles.
Ana
usuaria de iOS
Está app es muy buena, tiene apuntes que son de mucha ayuda y su IA es fantástica, te explica a la perfección y muy fácil de entender lo que necesites, te ayuda con los deberes, te hace esquemas... en definitiva es una muy buena opción!
Sophia
usuario de Android
Me encanta!!! Me resuelve todo con detalle y me da la explicación correcta. Tiene un montón de funciones, ami me ha ido genial!! Os la recomiendo!!!
Marta
usuaria de Android
La uso casi diariamente, sirve para todas las asignaturas. Yo, por ejemplo la utilizo más en inglés porque se me da bastante mal, ¡Todas las respuestas están correctas! Consta con personas reales que suben sus apuntes y IA para que puedas hacer los deberes muchísimo más fácil, la recomiendo.
Izan
usuario de iOS
¡La app es buenísima! Sólo tengo que introducir el tema en la barra de búsqueda y recibo la respuesta muy rápido. No tengo que ver 10 vídeos de YouTube para entender algo, así que me ahorro tiempo. ¡Muy recomendable!
Sara
usuaria de Android
En el instituto era muy malo en matemáticas, pero gracias a la app, ahora saco mejores notas. Os agradezco mucho que hayáis creado la aplicación.
Roberto
usuario de Android
Esto no es como Chatgpt, es MUCHISMO MEJOR, te hace unos resúmenes espectaculares y gracias a esta app pase de sacar 5-6 a sacar 8-9.
Julyana
usuaria de Android
Es la mejor aplicación del mundo, la uso para revisar los deberes a mi hijo.
Javier
usuario de Android
LOS QUIZ Y FLASHCARDS SON SÚPER ÚTILES Y ME ENCANTA Knowunity IA. ADEMÁS ES LITERALMENTE COMO CHATGPT PERO MÁS LISTO!! ME AYUDÓ TAMBIÉN CON MIS PROBLEMAS DE MÁSCARA!! Y CON MIS ASIGNATURAS DE VERDAD! OBVIO 😍😁😲🤑💗✨🎀😮
Erick
usuario de Android
Me me encanta esta app, todo lo que tiene es de calidad ya que antes de ser publicado es revisado por un equipo de profesionales. Me ha ido genial esta aplicación ya que gracias a ella puedo estudiar mucho mejor, sin tener que agobiarme porque mi profesor no ha hecho teoría o porque no entiendo su teoría. Le doy un 10 de 10!
Mar
usuaria de iOS
La app es muy fácil de usar y está muy bien diseñada. Hasta ahora he encontrado todo lo que estaba buscando y he podido aprender mucho de las presentaciones. Definitivamente utilizaré la aplicación para un examen de clase. Y, por supuesto, también me sirve mucho de inspiración.
Pablo
usuario de iOS
Esta app es realmente genial. Hay tantos apuntes de clase y ayuda [...]. Tengo problemas con matemáticas, por ejemplo, y la aplicación tiene muchas opciones de ayuda. Gracias a Knowunity, he mejorado en mates. Se la recomiendo a todo el mundo.
Elena
usuaria de Android
Vaya, estoy realmente sorprendida. Acabo de probar la app porque la he visto anunciada muchas veces y me he quedado absolutamente alucinada. Esta app es LA AYUDA que quieres para el insti y, sobre todo, ofrece muchísimas cosas, como ejercicios y hojas informativas, que a mí personalmente me han sido MUY útiles.
Ana
usuaria de iOS
Está app es muy buena, tiene apuntes que son de mucha ayuda y su IA es fantástica, te explica a la perfección y muy fácil de entender lo que necesites, te ayuda con los deberes, te hace esquemas... en definitiva es una muy buena opción!
Sophia
usuario de Android
Me encanta!!! Me resuelve todo con detalle y me da la explicación correcta. Tiene un montón de funciones, ami me ha ido genial!! Os la recomiendo!!!
Marta
usuaria de Android
La uso casi diariamente, sirve para todas las asignaturas. Yo, por ejemplo la utilizo más en inglés porque se me da bastante mal, ¡Todas las respuestas están correctas! Consta con personas reales que suben sus apuntes y IA para que puedas hacer los deberes muchísimo más fácil, la recomiendo.
Izan
usuario de iOS
¡La app es buenísima! Sólo tengo que introducir el tema en la barra de búsqueda y recibo la respuesta muy rápido. No tengo que ver 10 vídeos de YouTube para entender algo, así que me ahorro tiempo. ¡Muy recomendable!
Sara
usuaria de Android
En el instituto era muy malo en matemáticas, pero gracias a la app, ahora saco mejores notas. Os agradezco mucho que hayáis creado la aplicación.
Roberto
usuario de Android
Esto no es como Chatgpt, es MUCHISMO MEJOR, te hace unos resúmenes espectaculares y gracias a esta app pase de sacar 5-6 a sacar 8-9.
Julyana
usuaria de Android
Es la mejor aplicación del mundo, la uso para revisar los deberes a mi hijo.
Javier
usuario de Android
LOS QUIZ Y FLASHCARDS SON SÚPER ÚTILES Y ME ENCANTA Knowunity IA. ADEMÁS ES LITERALMENTE COMO CHATGPT PERO MÁS LISTO!! ME AYUDÓ TAMBIÉN CON MIS PROBLEMAS DE MÁSCARA!! Y CON MIS ASIGNATURAS DE VERDAD! OBVIO 😍😁😲🤑💗✨🎀😮
Erick
usuario de Android
Me me encanta esta app, todo lo que tiene es de calidad ya que antes de ser publicado es revisado por un equipo de profesionales. Me ha ido genial esta aplicación ya que gracias a ella puedo estudiar mucho mejor, sin tener que agobiarme porque mi profesor no ha hecho teoría o porque no entiendo su teoría. Le doy un 10 de 10!
Mar
usuaria de iOS